ОбществоОбщество



Array ( [ID] => 172899 [TIMESTAMP_X] => Bitrix\Main\Type\DateTime Object ( [value:protected] => DateTime Object ( [date] => 2023-05-16 08:19:07.000000 [timezone_type] => 3 [timezone] => UTC ) ) [MODULE_ID] => iblock [HEIGHT] => 2000 [WIDTH] => 2571 [FILE_SIZE] => 992404 [CONTENT_TYPE] => image/jpeg [SUBDIR] => iblock/730 [FILE_NAME] => imgonline-com-ua-Frame-blurred-UOoTZEgFs8kYK8tp.jpg [ORIGINAL_NAME] => imgonline-com-ua-Frame-blurred-UOoTZEgFs8kYK8tp.jpg [DESCRIPTION] => [HANDLER_ID] => [EXTERNAL_ID] => 8f95e3a8f28f2f186395fb154242b9a8 [~src] => [SRC] => /upload/resize_cache/iblock/730/285_285_0/imgonline-com-ua-Frame-blurred-UOoTZEgFs8kYK8tp.jpg [UNSAFE_SRC] => /upload/iblock/730/imgonline-com-ua-Frame-blurred-UOoTZEgFs8kYK8tp.jpg [SAFE_SRC] => /upload/iblock/730/imgonline-com-ua-Frame-blurred-UOoTZEgFs8kYK8tp.jpg [ALT] => Тарифы должны быть справедливыми и экономически обоснованными [TITLE] => Новости ) Array ( [DETAIL_PICTURE] => [~DETAIL_PICTURE] => [SHOW_COUNTER] => 1220 [~SHOW_COUNTER] => 1220 [ID] => 249508 [~ID] => 249508 [IBLOCK_ID] => 52 [~IBLOCK_ID] => 52 [IBLOCK_SECTION_ID] => 269 [~IBLOCK_SECTION_ID] => 269 [NAME] => Тарифы должны быть… [~NAME] => Тарифы должны быть справедливыми и экономически обоснованными [ACTIVE_FROM] => 14.05.2023 12:31:48 [~ACTIVE_FROM] => 14.05.2023 12:31:48 [TIMESTAMP_X] => 16.05.2023 14:19:07 [~TIMESTAMP_X] => 16.05.2023 14:19:07 [DETAIL_PAGE_URL] => /obshchestvo/tarify-dolzhny-byt-spravedlivymi-i-ekonomicheski-obosnovannymi-/ [~DETAIL_PAGE_URL] => /obshchestvo/tarify-dolzhny-byt-spravedlivymi-i-ekonomicheski-obosnovannymi-/ [LIST_PAGE_URL] => /novosti/ [~LIST_PAGE_URL] => /novosti/ [DETAIL_TEXT] =>

О целях работы департамента


– У нас широкий круг обязанностей: ведомство регулирует тарифы в сфере ЖКХ, транспорта, пригородных железнодорожных перевозок, цены на лекарства в аптеках, стоимость услуг организаций, занимающихся техническим осмотром. И главная задача департамента – с одной стороны, обеспечить справедливые и экономически обоснованные изменения в тарифах, а с другой – не ущемить интересы организаций, находящихся в поле нашего регулирования. Мы не должны допустить ситуации, когда тарифы могут быть заморожены на уровне, на котором они не обеспечивают должной компенсации расходов.

Приведу конкретный пример того, как мы регулируем деятельность недобросовестных поставщиков ресурсов. Так, небольшая энергосетевая компания на протяжении нескольких лет недостаточно качественно обеспечивала передачу электроэнергии в садовом массиве в Шилово, Ближних и Дальних садах и ряде дачных товариществ Рамонского района. Мы отмечали повышенную аварийность в сетях этой организации, применяли к ней штрафные санкции, но никакой реакции не дождались. Тогда было принято решение лишить эту компанию статуса сетевой организации. Это логичный шаг, чтобы на её место пришёл добросовестный исполнитель. Не обошлось без судебного разбирательства, но мы твёрдо отстояли свою позицию в суде.

О пересмотре тарифа на проезд в общественном транспорте


– Тариф на проезд в общественном транспорте в ближайшее время пересматриваться не будет. Этот вопрос поднимается только в том случае, когда в департамент поступает обращение от органов власти, ответственных за организацию перевозок, либо от самих перевозчиков. Но даже наличие таких заявлений и обосновывающие документы не всегда означают однозначное повышение тарифа. Нам нужно тщательно проанализировать факторы, которые могут повлиять на ситуацию, оценить экономическую обоснованность такого шага.

В Воронежской области тарифы на проезд пересматриваются не ежегодно, как в других регионах, а раз в три-пять лет. Но когда тариф меняется регулярно и незначительно, это не так сильно отражается на кошельках жителей. У нас же, напротив, стоимость повышается редко, но сразу существенно, что неизменно вызывает общественный резонанс.

В последний раз вопрос о повышении поднимался в прошлом году. В своей заявке организации-перевозчики заявляли приемлемый для них тариф на уровне 35 рублей. Городская администрация предложила увеличить стоимость проезда до 30 рублей при оплате картой и до 32 рублей – за расчёт наличными. В результате сотрудники департамента рассчитали экономически обоснованный тариф в размере 26 и 28 рублей соответственно.

О единой стоимости проезда и ценах на билеты в электричках


– Поступают вопросы, насколько сейчас справедлива единая стоимость проезда для автобусов большой, средней и малой вместимости. В этом случае мы руководствуемся двумя принципами. Во-первых, в Воронежской области пока не введены транспортные карты, поэтому сложно дифференцировать стоимость поездки на всех видах автобусов. Во-вторых, мы суммируем все затраты по транспорту различной вместимости и делим на одну перевозку вне зависимости от протяжённости маршрута.

В любом случае мы следим за обоснованностью стоимости проезда. Например, в прошлом году не дали железнодорожному перевозчику резко повысить цены на билеты в пригородных электричках. Компания заявила рекордно высокие средства для включения в тариф – 252 млн рублей. Мы с таким предложением не согласились и сказали, что цифра ничем не обоснована. Начались судебные разбирательства, и мы снова с честью отстояли свою позицию. Если бы не наше вмешательство, то стоимость проезда в пригородной электричке выросла бы в пересчёте на один километр с 2,5 рубля до 4,12 рубля. То есть поездка в электричке от Воронежа до Дубовки подорожала бы с 37 до 62 рублей.

О непростом положении ресурсоснабжающих организаций


– Плата за жилищно-коммунальные услуги была повышена досрочно – 1 декабря 2022 года вместо 1 июля 2023 года. Это, бесспорно, улучшит финансовое положение ресурсоснабжающих организаций, но вряд ли полностью решит их проблемы.

Ежегодно тарифы индексируются на индекс инфляции, уменьшенный на 1%. Это нужно для оптимизации так называемых постоянных расходов – в их состав входят и ремонт, и заработная плата сотрудников. То есть происходит постоянное отставание роста тарифов от уровня инфляции. А в ситуации, когда существенно растут цены на материалы для ремонта и необходимо повышать зарплату людям, ресурсоснабжающим организациям, может быть недостаточно данной компенсации.

В то же время на федеральном уровне принимаются меры, которые позволяют финансировать мероприятия по ремонту и реконструкции инженерных сетей и за счёт других источников. Одним из них стала плата за негативное воздействие на окружающую среду. Так организациям, оказывающим услуги в сфере водоотведения, дано право предъявлять абонентам (кроме населения) повышающие коэффициенты в случае выявления несоответствия стоков определённым параметрам. Департаментом уже на протяжении нескольких лет проводится анализ целевого использования таких средств. И только при регулировании на 2023 год организациями на ремонт и модернизацию систем водоотведения будет направлено 175 млн рублей.


[~DETAIL_TEXT] =>

О целях работы департамента


– У нас широкий круг обязанностей: ведомство регулирует тарифы в сфере ЖКХ, транспорта, пригородных железнодорожных перевозок, цены на лекарства в аптеках, стоимость услуг организаций, занимающихся техническим осмотром. И главная задача департамента – с одной стороны, обеспечить справедливые и экономически обоснованные изменения в тарифах, а с другой – не ущемить интересы организаций, находящихся в поле нашего регулирования. Мы не должны допустить ситуации, когда тарифы могут быть заморожены на уровне, на котором они не обеспечивают должной компенсации расходов.

Приведу конкретный пример того, как мы регулируем деятельность недобросовестных поставщиков ресурсов. Так, небольшая энергосетевая компания на протяжении нескольких лет недостаточно качественно обеспечивала передачу электроэнергии в садовом массиве в Шилово, Ближних и Дальних садах и ряде дачных товариществ Рамонского района. Мы отмечали повышенную аварийность в сетях этой организации, применяли к ней штрафные санкции, но никакой реакции не дождались. Тогда было принято решение лишить эту компанию статуса сетевой организации. Это логичный шаг, чтобы на её место пришёл добросовестный исполнитель. Не обошлось без судебного разбирательства, но мы твёрдо отстояли свою позицию в суде.

О пересмотре тарифа на проезд в общественном транспорте


– Тариф на проезд в общественном транспорте в ближайшее время пересматриваться не будет. Этот вопрос поднимается только в том случае, когда в департамент поступает обращение от органов власти, ответственных за организацию перевозок, либо от самих перевозчиков. Но даже наличие таких заявлений и обосновывающие документы не всегда означают однозначное повышение тарифа. Нам нужно тщательно проанализировать факторы, которые могут повлиять на ситуацию, оценить экономическую обоснованность такого шага.

В Воронежской области тарифы на проезд пересматриваются не ежегодно, как в других регионах, а раз в три-пять лет. Но когда тариф меняется регулярно и незначительно, это не так сильно отражается на кошельках жителей. У нас же, напротив, стоимость повышается редко, но сразу существенно, что неизменно вызывает общественный резонанс.

В последний раз вопрос о повышении поднимался в прошлом году. В своей заявке организации-перевозчики заявляли приемлемый для них тариф на уровне 35 рублей. Городская администрация предложила увеличить стоимость проезда до 30 рублей при оплате картой и до 32 рублей – за расчёт наличными. В результате сотрудники департамента рассчитали экономически обоснованный тариф в размере 26 и 28 рублей соответственно.

О единой стоимости проезда и ценах на билеты в электричках


– Поступают вопросы, насколько сейчас справедлива единая стоимость проезда для автобусов большой, средней и малой вместимости. В этом случае мы руководствуемся двумя принципами. Во-первых, в Воронежской области пока не введены транспортные карты, поэтому сложно дифференцировать стоимость поездки на всех видах автобусов. Во-вторых, мы суммируем все затраты по транспорту различной вместимости и делим на одну перевозку вне зависимости от протяжённости маршрута.

В любом случае мы следим за обоснованностью стоимости проезда. Например, в прошлом году не дали железнодорожному перевозчику резко повысить цены на билеты в пригородных электричках. Компания заявила рекордно высокие средства для включения в тариф – 252 млн рублей. Мы с таким предложением не согласились и сказали, что цифра ничем не обоснована. Начались судебные разбирательства, и мы снова с честью отстояли свою позицию. Если бы не наше вмешательство, то стоимость проезда в пригородной электричке выросла бы в пересчёте на один километр с 2,5 рубля до 4,12 рубля. То есть поездка в электричке от Воронежа до Дубовки подорожала бы с 37 до 62 рублей.

О непростом положении ресурсоснабжающих организаций


– Плата за жилищно-коммунальные услуги была повышена досрочно – 1 декабря 2022 года вместо 1 июля 2023 года. Это, бесспорно, улучшит финансовое положение ресурсоснабжающих организаций, но вряд ли полностью решит их проблемы.

Ежегодно тарифы индексируются на индекс инфляции, уменьшенный на 1%. Это нужно для оптимизации так называемых постоянных расходов – в их состав входят и ремонт, и заработная плата сотрудников. То есть происходит постоянное отставание роста тарифов от уровня инфляции. А в ситуации, когда существенно растут цены на материалы для ремонта и необходимо повышать зарплату людям, ресурсоснабжающим организациям, может быть недостаточно данной компенсации.

В то же время на федеральном уровне принимаются меры, которые позволяют финансировать мероприятия по ремонту и реконструкции инженерных сетей и за счёт других источников. Одним из них стала плата за негативное воздействие на окружающую среду. Так организациям, оказывающим услуги в сфере водоотведения, дано право предъявлять абонентам (кроме населения) повышающие коэффициенты в случае выявления несоответствия стоков определённым параметрам. Департаментом уже на протяжении нескольких лет проводится анализ целевого использования таких средств. И только при регулировании на 2023 год организациями на ремонт и модернизацию систем водоотведения будет направлено 175 млн рублей.


[DETAIL_TEXT_TYPE] => html [~DETAIL_TEXT_TYPE] => html [PREVIEW_TEXT] => [~PREVIEW_TEXT] => Руководитель департамента государственного регулирования тарифов Евгений Бажанов на брифинге в облправительстве рассказал, как в их ведомстве отстаивают интересы воронежцев [PREVIEW_TEXT_TYPE] => text [~PREVIEW_TEXT_TYPE] => text [PREVIEW_PICTURE] => Array ( [ID] => 172899 [TIMESTAMP_X] => Bitrix\Main\Type\DateTime Object ( [value:protected] => DateTime Object ( [date] => 2023-05-16 08:19:07.000000 [timezone_type] => 3 [timezone] => UTC ) ) [MODULE_ID] => iblock [HEIGHT] => 2000 [WIDTH] => 2571 [FILE_SIZE] => 992404 [CONTENT_TYPE] => image/jpeg [SUBDIR] => iblock/730 [FILE_NAME] => imgonline-com-ua-Frame-blurred-UOoTZEgFs8kYK8tp.jpg [ORIGINAL_NAME] => imgonline-com-ua-Frame-blurred-UOoTZEgFs8kYK8tp.jpg [DESCRIPTION] => [HANDLER_ID] => [EXTERNAL_ID] => 8f95e3a8f28f2f186395fb154242b9a8 [~src] => [SRC] => /upload/iblock/730/imgonline-com-ua-Frame-blurred-UOoTZEgFs8kYK8tp.jpg [UNSAFE_SRC] => /upload/iblock/730/imgonline-com-ua-Frame-blurred-UOoTZEgFs8kYK8tp.jpg [SAFE_SRC] => /upload/iblock/730/imgonline-com-ua-Frame-blurred-UOoTZEgFs8kYK8tp.jpg [ALT] => Тарифы должны быть справедливыми и экономически обоснованными [TITLE] => Новости ) [~PREVIEW_PICTURE] => 172899 [LANG_DIR] => / [~LANG_DIR] => / [SORT] => 500 [~SORT] => 500 [CODE] => tarify-dolzhny-byt-spravedlivymi-i-ekonomicheski-obosnovannymi- [~CODE] => tarify-dolzhny-byt-spravedlivymi-i-ekonomicheski-obosnovannymi- [EXTERNAL_ID] => 249508 [~EXTERNAL_ID] => 249508 [IBLOCK_TYPE_ID] => news [~IBLOCK_TYPE_ID] => news [IBLOCK_CODE] => novosti [~IBLOCK_CODE] => novosti [IBLOCK_EXTERNAL_ID] => 29 [~IBLOCK_EXTERNAL_ID] => 29 [LID] => ru [~LID] => ru [EDIT_LINK] => [DELETE_LINK] => [DISPLAY_ACTIVE_FROM] => 14.05.2023 12:31 [FIELDS] => Array ( [DETAIL_PICTURE] => [SHOW_COUNTER] => 1220 ) [PROPERTIES] => Array ( [REGION_ID] => Array ( [ID] => 279 [TIMESTAMP_X] => 2018-12-06 06:37:30 [IBLOCK_ID] => 52 [NAME] => Регион [ACTIVE] => Y [SORT] => 40 [CODE] => REGION_ID [DEFAULT_VALUE] => [PROPERTY_TYPE] => E [ROW_COUNT] => 1 [COL_COUNT] => 30 [LIST_TYPE] => L [MULTIPLE] => Y [XML_ID] => [FILE_TYPE] => [MULTIPLE_CNT] => 5 [TMP_ID] => [LINK_IBLOCK_ID] => 37 [WITH_DESCRIPTION] => N [SEARCHABLE] => N [FILTRABLE] => N [VERSION] => 1 [USER_TYPE] => [IS_REQUIRED] => N [USER_TYPE_SETTINGS] => [HINT] => [PROPERTY_VALUE_ID] => [VALUE] => [DESCRIPTION] => [VALUE_ENUM] => [VALUE_XML_ID] => [VALUE_SORT] => [~VALUE] => [~DESCRIPTION] => [~NAME] => Регион [~DEFAULT_VALUE] => ) [AUTHOR_ID] => Array ( [ID] => 280 [TIMESTAMP_X] => 2018-12-06 06:37:30 [IBLOCK_ID] => 52 [NAME] => Автор [ACTIVE] => Y [SORT] => 50 [CODE] => AUTHOR_ID [DEFAULT_VALUE] => [PROPERTY_TYPE] => E [ROW_COUNT] => 1 [COL_COUNT] => 30 [LIST_TYPE] => L [MULTIPLE] => Y [XML_ID] => [FILE_TYPE] => [MULTIPLE_CNT] => 5 [TMP_ID] => [LINK_IBLOCK_ID] => 36 [WITH_DESCRIPTION] => N [SEARCHABLE] => N [FILTRABLE] => N [VERSION] => 1 [USER_TYPE] => [IS_REQUIRED] => N [USER_TYPE_SETTINGS] => [HINT] => [PROPERTY_VALUE_ID] => [VALUE] => [DESCRIPTION] => [VALUE_ENUM] => [VALUE_XML_ID] => [VALUE_SORT] => [~VALUE] => [~DESCRIPTION] => [~NAME] => Автор [~DEFAULT_VALUE] => ) [SIGN] => Array ( [ID] => 281 [TIMESTAMP_X] => 2018-12-06 06:37:30 [IBLOCK_ID] => 52 [NAME] => Подпись [ACTIVE] => Y [SORT] => 55 [CODE] => SIGN [DEFAULT_VALUE] => [PROPERTY_TYPE] => S [ROW_COUNT] => 1 [COL_COUNT] => 30 [LIST_TYPE] => L [MULTIPLE] => N [XML_ID] => [FILE_TYPE] => [MULTIPLE_CNT] => 5 [TMP_ID] => [LINK_IBLOCK_ID] => 0 [WITH_DESCRIPTION] => N [SEARCHABLE] => N [FILTRABLE] => N [VERSION] => 1 [USER_TYPE] => [IS_REQUIRED] => N [USER_TYPE_SETTINGS] => [HINT] => [PROPERTY_VALUE_ID] => [VALUE] => [DESCRIPTION] => [VALUE_ENUM] => [VALUE_XML_ID] => [VALUE_SORT] => [~VALUE] => [~DESCRIPTION] => [~NAME] => Подпись [~DEFAULT_VALUE] => ) [FORYANDEX] => Array ( [ID] => 278 [TIMESTAMP_X] => 2018-12-06 06:37:30 [IBLOCK_ID] => 52 [NAME] => Экспорт для Яндекса [ACTIVE] => Y [SORT] => 90 [CODE] => FORYANDEX [DEFAULT_VALUE] => Нет [PROPERTY_TYPE] => L [ROW_COUNT] => 1 [COL_COUNT] => 30 [LIST_TYPE] => C [MULTIPLE] => N [XML_ID] => 220 [FILE_TYPE] => jpg, gif, bmp, png, jpeg [MULTIPLE_CNT] => 5 [TMP_ID] => [LINK_IBLOCK_ID] => 0 [WITH_DESCRIPTION] => N [SEARCHABLE] => N [FILTRABLE] => N [VERSION] => 1 [USER_TYPE] => [IS_REQUIRED] => N [USER_TYPE_SETTINGS] => [HINT] => [PROPERTY_VALUE_ID] => 167289 [VALUE] => Да [DESCRIPTION] => [VALUE_ENUM] => Да [VALUE_XML_ID] => Y [VALUE_SORT] => 500 [VALUE_ENUM_ID] => 85 [~VALUE] => Да [~DESCRIPTION] => [~NAME] => Экспорт для Яндекса [~DEFAULT_VALUE] => Нет ) [IS_MAIN] => Array ( [ID] => 282 [TIMESTAMP_X] => 2018-12-14 14:39:11 [IBLOCK_ID] => 52 [NAME] => Самая главная [ACTIVE] => Y [SORT] => 100 [CODE] => IS_MAIN [DEFAULT_VALUE] => [PROPERTY_TYPE] => L [ROW_COUNT] => 1 [COL_COUNT] => 30 [LIST_TYPE] => C [MULTIPLE] => N [XML_ID] => [FILE_TYPE] => [MULTIPLE_CNT] => 5 [TMP_ID] => [LINK_IBLOCK_ID] => 0 [WITH_DESCRIPTION] => N [SEARCHABLE] => N [FILTRABLE] => N [VERSION] => 1 [USER_TYPE] => [IS_REQUIRED] => N [USER_TYPE_SETTINGS] => [HINT] => [PROPERTY_VALUE_ID] => [VALUE] => [DESCRIPTION] => [VALUE_ENUM] => [VALUE_XML_ID] => [VALUE_SORT] => [VALUE_ENUM_ID] => [~VALUE] => [~DESCRIPTION] => [~NAME] => Самая главная [~DEFAULT_VALUE] => ) [IS_IMPORTANT] => Array ( [ID] => 283 [TIMESTAMP_X] => 2018-12-14 14:39:11 [IBLOCK_ID] => 52 [NAME] => Важная [ACTIVE] => Y [SORT] => 150 [CODE] => IS_IMPORTANT [DEFAULT_VALUE] => [PROPERTY_TYPE] => L [ROW_COUNT] => 1 [COL_COUNT] => 30 [LIST_TYPE] => C [MULTIPLE] => N [XML_ID] => [FILE_TYPE] => [MULTIPLE_CNT] => 5 [TMP_ID] => [LINK_IBLOCK_ID] => 0 [WITH_DESCRIPTION] => N [SEARCHABLE] => N [FILTRABLE] => N [VERSION] => 1 [USER_TYPE] => [IS_REQUIRED] => N [USER_TYPE_SETTINGS] => [HINT] => [PROPERTY_VALUE_ID] => 167290 [VALUE] => Y [DESCRIPTION] => [VALUE_ENUM] => Y [VALUE_XML_ID] => Y [VALUE_SORT] => 500 [VALUE_ENUM_ID] => 87 [~VALUE] => Y [~DESCRIPTION] => [~NAME] => Важная [~DEFAULT_VALUE] => ) [WITH_WATERMARK] => Array ( [ID] => 290 [TIMESTAMP_X] => 2018-12-18 09:33:44 [IBLOCK_ID] => 52 [NAME] => Все фото с водяным знаком [ACTIVE] => Y [SORT] => 200 [CODE] => WITH_WATERMARK [DEFAULT_VALUE] => [PROPERTY_TYPE] => L [ROW_COUNT] => 1 [COL_COUNT] => 30 [LIST_TYPE] => C [MULTIPLE] => N [XML_ID] => [FILE_TYPE] => [MULTIPLE_CNT] => 5 [TMP_ID] => [LINK_IBLOCK_ID] => 0 [WITH_DESCRIPTION] => N [SEARCHABLE] => N [FILTRABLE] => N [VERSION] => 1 [USER_TYPE] => [IS_REQUIRED] => N [USER_TYPE_SETTINGS] => [HINT] => [PROPERTY_VALUE_ID] => [VALUE] => [DESCRIPTION] => [VALUE_ENUM] => [VALUE_XML_ID] => [VALUE_SORT] => [VALUE_ENUM_ID] => [~VALUE] => [~DESCRIPTION] => [~NAME] => Все фото с водяным знаком [~DEFAULT_VALUE] => ) [MORE_PHOTO] => Array ( [ID] => 284 [TIMESTAMP_X] => 2018-12-06 06:38:44 [IBLOCK_ID] => 52 [NAME] => Фото [ACTIVE] => Y [SORT] => 250 [CODE] => MORE_PHOTO [DEFAULT_VALUE] => [PROPERTY_TYPE] => F [ROW_COUNT] => 1 [COL_COUNT] => 30 [LIST_TYPE] => L [MULTIPLE] => Y [XML_ID] => [FILE_TYPE] => jpg, gif, bmp, png, jpeg [MULTIPLE_CNT] => 5 [TMP_ID] => [LINK_IBLOCK_ID] => 0 [WITH_DESCRIPTION] => N [SEARCHABLE] => N [FILTRABLE] => N [VERSION] => 1 [USER_TYPE] => [IS_REQUIRED] => N [USER_TYPE_SETTINGS] => [HINT] => [PROPERTY_VALUE_ID] => [VALUE] => [DESCRIPTION] => [VALUE_ENUM] => [VALUE_XML_ID] => [VALUE_SORT] => [~VALUE] => [~DESCRIPTION] => [~NAME] => Фото [~DEFAULT_VALUE] => ) [TEXT] => Array ( [ID] => 285 [TIMESTAMP_X] => 2018-12-06 06:38:44 [IBLOCK_ID] => 52 [NAME] => Абзацы [ACTIVE] => Y [SORT] => 300 [CODE] => TEXT [DEFAULT_VALUE] => Array ( [TEXT] => [TYPE] => HTML ) [PROPERTY_TYPE] => S [ROW_COUNT] => 1 [COL_COUNT] => 30 [LIST_TYPE] => L [MULTIPLE] => Y [XML_ID] => [FILE_TYPE] => [MULTIPLE_CNT] => 5 [TMP_ID] => [LINK_IBLOCK_ID] => 0 [WITH_DESCRIPTION] => N [SEARCHABLE] => N [FILTRABLE] => N [VERSION] => 1 [USER_TYPE] => ISWIN_HTML [IS_REQUIRED] => N [USER_TYPE_SETTINGS] => Array ( [height] => 200 ) [HINT] => [PROPERTY_VALUE_ID] => [VALUE] => [DESCRIPTION] => [VALUE_ENUM] => [VALUE_XML_ID] => [VALUE_SORT] => [~VALUE] => [~DESCRIPTION] => [~NAME] => Абзацы [~DEFAULT_VALUE] => Array ( [TEXT] => [TYPE] => HTML ) ) [CNT_LIKES] => Array ( [ID] => 286 [TIMESTAMP_X] => 2018-12-06 06:38:44 [IBLOCK_ID] => 52 [NAME] => Кол-во "Нравится" [ACTIVE] => Y [SORT] => 1000 [CODE] => CNT_LIKES [DEFAULT_VALUE] => [PROPERTY_TYPE] => N [ROW_COUNT] => 1 [COL_COUNT] => 30 [LIST_TYPE] => L [MULTIPLE] => N [XML_ID] => [FILE_TYPE] => [MULTIPLE_CNT] => 5 [TMP_ID] => [LINK_IBLOCK_ID] => 0 [WITH_DESCRIPTION] => N [SEARCHABLE] => N [FILTRABLE] => N [VERSION] => 1 [USER_TYPE] => [IS_REQUIRED] => N [USER_TYPE_SETTINGS] => [HINT] => [PROPERTY_VALUE_ID] => 167376 [VALUE] => 1 [DESCRIPTION] => [VALUE_ENUM] => [VALUE_XML_ID] => [VALUE_SORT] => [~VALUE] => 1 [~DESCRIPTION] => [~NAME] => Кол-во "Нравится" [~DEFAULT_VALUE] => ) [CNT_DISLIKES] => Array ( [ID] => 287 [TIMESTAMP_X] => 2018-12-06 06:38:44 [IBLOCK_ID] => 52 [NAME] => Кол-во "Не нравится" [ACTIVE] => Y [SORT] => 1001 [CODE] => CNT_DISLIKES [DEFAULT_VALUE] => [PROPERTY_TYPE] => N [ROW_COUNT] => 1 [COL_COUNT] => 30 [LIST_TYPE] => L [MULTIPLE] => N [XML_ID] => [FILE_TYPE] => [MULTIPLE_CNT] => 5 [TMP_ID] => [LINK_IBLOCK_ID] => 0 [WITH_DESCRIPTION] => N [SEARCHABLE] => N [FILTRABLE] => N [VERSION] => 1 [USER_TYPE] => [IS_REQUIRED] => N [USER_TYPE_SETTINGS] => [HINT] => [PROPERTY_VALUE_ID] => 167377 [VALUE] => 0 [DESCRIPTION] => [VALUE_ENUM] => [VALUE_XML_ID] => [VALUE_SORT] => [~VALUE] => 0 [~DESCRIPTION] => [~NAME] => Кол-во "Не нравится" [~DEFAULT_VALUE] => ) ) [DISPLAY_PROPERTIES] => Array ( [CNT_LIKES] => Array ( [ID] => 286 [TIMESTAMP_X] => 2018-12-06 06:38:44 [IBLOCK_ID] => 52 [NAME] => Кол-во "Нравится" [ACTIVE] => Y [SORT] => 1000 [CODE] => CNT_LIKES [DEFAULT_VALUE] => [PROPERTY_TYPE] => N [ROW_COUNT] => 1 [COL_COUNT] => 30 [LIST_TYPE] => L [MULTIPLE] => N [XML_ID] => [FILE_TYPE] => [MULTIPLE_CNT] => 5 [TMP_ID] => [LINK_IBLOCK_ID] => 0 [WITH_DESCRIPTION] => N [SEARCHABLE] => N [FILTRABLE] => N [VERSION] => 1 [USER_TYPE] => [IS_REQUIRED] => N [USER_TYPE_SETTINGS] => [HINT] => [PROPERTY_VALUE_ID] => 167376 [VALUE] => 1 [DESCRIPTION] => [VALUE_ENUM] => [VALUE_XML_ID] => [VALUE_SORT] => [~VALUE] => 1 [~DESCRIPTION] => [~NAME] => Кол-во "Нравится" [~DEFAULT_VALUE] => [DISPLAY_VALUE] => 1 ) ) [IPROPERTY_VALUES] => Array ( [ELEMENT_META_TITLE] => Тарифы должны быть справедливыми и экономически обоснованными [ELEMENT_META_DESCRIPTION] => Руководитель департамента государственного регулирования тарифов Евгений Бажанов на брифинге в облправительстве рассказал, как в их ведомстве отстаивают интересы воронежцев [ELEMENT_PREVIEW_PICTURE_FILE_ALT] => [ELEMENT_PREVIEW_PICTURE_FILE_TITLE] => Новости [SECTION_META_TITLE] => Тарифы должны быть справедливыми и экономически обоснованными [SECTION_META_DESCRIPTION] => Тарифы должны быть справедливыми и экономически обоснованными - Главные новости Воронежа и области ) [RES_MOD] => Array ( [TITLE] => Тарифы должны быть справедливыми и экономически обоснованными [SECTIONS] => Array ( [269] => Array ( [ID] => 269 [~ID] => 269 [IBLOCK_ELEMENT_ID] => 249508 [~IBLOCK_ELEMENT_ID] => 249508 [NAME] => Общество [~NAME] => Общество [IBLOCK_ID] => 52 [~IBLOCK_ID] => 52 [SECTION_PAGE_URL] => /obshchestvo/ [~SECTION_PAGE_URL] => /obshchestvo/ [CODE] => obshchestvo [~CODE] => obshchestvo [EXTERNAL_ID] => 142 [~EXTERNAL_ID] => 142 [IBLOCK_TYPE_ID] => news [~IBLOCK_TYPE_ID] => news [IBLOCK_CODE] => novosti [~IBLOCK_CODE] => novosti [IBLOCK_EXTERNAL_ID] => 29 [~IBLOCK_EXTERNAL_ID] => 29 [GLOBAL_ACTIVE] => Y [~GLOBAL_ACTIVE] => Y ) ) [IS_ADV] => [CONTROL_ID] => bx_4182259225_249508 [CNT_LIKES] => 1 [ACTIVE_FROM_TITLE] => 14.05.2023 12:31:48 ) )
Тарифы должны быть…
Тарифы должны быть справедливыми и экономически обоснованными
Array ( [ID] => 172968 [TIMESTAMP_X] => Bitrix\Main\Type\DateTime Object ( [value:protected] => DateTime Object ( [date] => 2023-05-12 13:00:23.000000 [timezone_type] => 3 [timezone] => UTC ) ) [MODULE_ID] => iblock [HEIGHT] => 3000 [WIDTH] => 4000 [FILE_SIZE] => 7003881 [CONTENT_TYPE] => image/jpeg [SUBDIR] => iblock/c75 [FILE_NAME] => 20230512_094151.jpg [ORIGINAL_NAME] => 20230512_094151.jpg [DESCRIPTION] => [HANDLER_ID] => [EXTERNAL_ID] => 911792fff6592e7002ffe2a96bac8018 [~src] => [SRC] => /upload/resize_cache/iblock/c75/285_285_0/20230512_094151.jpg [UNSAFE_SRC] => /upload/iblock/c75/20230512_094151.jpg [SAFE_SRC] => /upload/iblock/c75/20230512_094151.jpg [ALT] => Разведчики ЗВО поблагодарили Сергея Чижова за помощь [TITLE] => Новости ) Array ( [DETAIL_PICTURE] => [~DETAIL_PICTURE] => [SHOW_COUNTER] => 1247 [~SHOW_COUNTER] => 1247 [ID] => 249512 [~ID] => 249512 [IBLOCK_ID] => 52 [~IBLOCK_ID] => 52 [IBLOCK_SECTION_ID] => 269 [~IBLOCK_SECTION_ID] => 269 [NAME] => Разведчики ЗВО… [~NAME] => Разведчики ЗВО поблагодарили Сергея Чижова за помощь [ACTIVE_FROM] => 12.05.2023 18:20:30 [~ACTIVE_FROM] => 12.05.2023 18:20:30 [TIMESTAMP_X] => 12.05.2023 19:00:23 [~TIMESTAMP_X] => 12.05.2023 19:00:23 [DETAIL_PAGE_URL] => /obshchestvo/razvedchiki-zvo-poblagodarili-sergeya-chizhova-za-pomoshch/ [~DETAIL_PAGE_URL] => /obshchestvo/razvedchiki-zvo-poblagodarili-sergeya-chizhova-za-pomoshch/ [LIST_PAGE_URL] => /novosti/ [~LIST_PAGE_URL] => /novosti/ [DETAIL_TEXT] => Накануне Дня Победы депутат Госдумы от Воронежской области передал в зону СВО очередную партию экипировки и техники. Об этом он рассказал своим подписчикам в социальных сетях.

Трекинговые ботинки, облегченная летняя форма, бронежилеты, баллистические шлемы и портативные рации для обеспечения непрерывной связи на группу разведчиков были закуплены Сергеем Чижовым совместно с друзьями и единомышленниками по итогам акции «Благотворительность вместо подарка». Ее воронежский депутат Госдумы проводит ежегодно, предлагая близким ему по духу людям и знакомым в качестве подарка на День рождения объединить усилия во имя благого дела. В прошлые годы средства, собранные таким образом направлялись на восстановление старинных православных храмов, лечение тяжелобольных детей, оказание помощи семьям с детьми, вынужденным перебраться на территорию Воронежской области в поисках спасения от боевиков «киевского режима».

Как прокомментировал Сергей Чижов, в этом году в рамках акции удалось решить задачу по усилению экипировки группы бойцов, которые, по долгу службы, часто находятся практически на линии боевого соприкосновения, нередко вынуждены работать под огнем противника. Они разведывают военные цели противника и их координаты и решают многие другие задачи, от которых зависит успешное продвижение наших войск, а также безопасность освобожденных территорий и приграничных регионов. Сергей Чижов подчеркнул, что сам факт возникновения подобных потребностей не говорит о том, что у военнослужащих нет формы и средств индивидуальной бронезащиты.

 – В одних случаях обмундирования нужно заменить из-за банального износа, в других – подобрать обмундирование, которое бы больше соответствовало специфике задач, – подчеркнул он. – Например, прежние бронежилеты значительно тяжелее, которые закуплены, что затрудняет и без того сложную и опасную службу разведчиков.

Участники СВО поблагодарили Сергея Чижова за внимание к насущным для военнослужащих вопросам, помощь с усилением материально-технического обеспечения и заботу о семьях бойцов». 

[~DETAIL_TEXT] => Накануне Дня Победы депутат Госдумы от Воронежской области передал в зону СВО очередную партию экипировки и техники. Об этом он рассказал своим подписчикам в социальных сетях.

Трекинговые ботинки, облегченная летняя форма, бронежилеты, баллистические шлемы и портативные рации для обеспечения непрерывной связи на группу разведчиков были закуплены Сергеем Чижовым совместно с друзьями и единомышленниками по итогам акции «Благотворительность вместо подарка». Ее воронежский депутат Госдумы проводит ежегодно, предлагая близким ему по духу людям и знакомым в качестве подарка на День рождения объединить усилия во имя благого дела. В прошлые годы средства, собранные таким образом направлялись на восстановление старинных православных храмов, лечение тяжелобольных детей, оказание помощи семьям с детьми, вынужденным перебраться на территорию Воронежской области в поисках спасения от боевиков «киевского режима».

Как прокомментировал Сергей Чижов, в этом году в рамках акции удалось решить задачу по усилению экипировки группы бойцов, которые, по долгу службы, часто находятся практически на линии боевого соприкосновения, нередко вынуждены работать под огнем противника. Они разведывают военные цели противника и их координаты и решают многие другие задачи, от которых зависит успешное продвижение наших войск, а также безопасность освобожденных территорий и приграничных регионов. Сергей Чижов подчеркнул, что сам факт возникновения подобных потребностей не говорит о том, что у военнослужащих нет формы и средств индивидуальной бронезащиты.

 – В одних случаях обмундирования нужно заменить из-за банального износа, в других – подобрать обмундирование, которое бы больше соответствовало специфике задач, – подчеркнул он. – Например, прежние бронежилеты значительно тяжелее, которые закуплены, что затрудняет и без того сложную и опасную службу разведчиков.

Участники СВО поблагодарили Сергея Чижова за внимание к насущным для военнослужащих вопросам, помощь с усилением материально-технического обеспечения и заботу о семьях бойцов». 

[DETAIL_TEXT_TYPE] => html [~DETAIL_TEXT_TYPE] => html [PREVIEW_TEXT] => [~PREVIEW_TEXT] => [PREVIEW_TEXT_TYPE] => text [~PREVIEW_TEXT_TYPE] => text [PREVIEW_PICTURE] => Array ( [ID] => 172968 [TIMESTAMP_X] => Bitrix\Main\Type\DateTime Object ( [value:protected] => DateTime Object ( [date] => 2023-05-12 13:00:23.000000 [timezone_type] => 3 [timezone] => UTC ) ) [MODULE_ID] => iblock [HEIGHT] => 3000 [WIDTH] => 4000 [FILE_SIZE] => 7003881 [CONTENT_TYPE] => image/jpeg [SUBDIR] => iblock/c75 [FILE_NAME] => 20230512_094151.jpg [ORIGINAL_NAME] => 20230512_094151.jpg [DESCRIPTION] => [HANDLER_ID] => [EXTERNAL_ID] => 911792fff6592e7002ffe2a96bac8018 [~src] => [SRC] => /upload/iblock/c75/20230512_094151.jpg [UNSAFE_SRC] => /upload/iblock/c75/20230512_094151.jpg [SAFE_SRC] => /upload/iblock/c75/20230512_094151.jpg [ALT] => Разведчики ЗВО поблагодарили Сергея Чижова за помощь [TITLE] => Новости ) [~PREVIEW_PICTURE] => 172968 [LANG_DIR] => / [~LANG_DIR] => / [SORT] => 500 [~SORT] => 500 [CODE] => razvedchiki-zvo-poblagodarili-sergeya-chizhova-za-pomoshch [~CODE] => razvedchiki-zvo-poblagodarili-sergeya-chizhova-za-pomoshch [EXTERNAL_ID] => 249512 [~EXTERNAL_ID] => 249512 [IBLOCK_TYPE_ID] => news [~IBLOCK_TYPE_ID] => news [IBLOCK_CODE] => novosti [~IBLOCK_CODE] => novosti [IBLOCK_EXTERNAL_ID] => 29 [~IBLOCK_EXTERNAL_ID] => 29 [LID] => ru [~LID] => ru [EDIT_LINK] => [DELETE_LINK] => [DISPLAY_ACTIVE_FROM] => 12.05.2023 18:20 [FIELDS] => Array ( [DETAIL_PICTURE] => [SHOW_COUNTER] => 1247 ) [PROPERTIES] => Array ( [REGION_ID] => Array ( [ID] => 279 [TIMESTAMP_X] => 2018-12-06 06:37:30 [IBLOCK_ID] => 52 [NAME] => Регион [ACTIVE] => Y [SORT] => 40 [CODE] => REGION_ID [DEFAULT_VALUE] => [PROPERTY_TYPE] => E [ROW_COUNT] => 1 [COL_COUNT] => 30 [LIST_TYPE] => L [MULTIPLE] => Y [XML_ID] => [FILE_TYPE] => [MULTIPLE_CNT] => 5 [TMP_ID] => [LINK_IBLOCK_ID] => 37 [WITH_DESCRIPTION] => N [SEARCHABLE] => N [FILTRABLE] => N [VERSION] => 1 [USER_TYPE] => [IS_REQUIRED] => N [USER_TYPE_SETTINGS] => [HINT] => [PROPERTY_VALUE_ID] => [VALUE] => [DESCRIPTION] => [VALUE_ENUM] => [VALUE_XML_ID] => [VALUE_SORT] => [~VALUE] => [~DESCRIPTION] => [~NAME] => Регион [~DEFAULT_VALUE] => ) [AUTHOR_ID] => Array ( [ID] => 280 [TIMESTAMP_X] => 2018-12-06 06:37:30 [IBLOCK_ID] => 52 [NAME] => Автор [ACTIVE] => Y [SORT] => 50 [CODE] => AUTHOR_ID [DEFAULT_VALUE] => [PROPERTY_TYPE] => E [ROW_COUNT] => 1 [COL_COUNT] => 30 [LIST_TYPE] => L [MULTIPLE] => Y [XML_ID] => [FILE_TYPE] => [MULTIPLE_CNT] => 5 [TMP_ID] => [LINK_IBLOCK_ID] => 36 [WITH_DESCRIPTION] => N [SEARCHABLE] => N [FILTRABLE] => N [VERSION] => 1 [USER_TYPE] => [IS_REQUIRED] => N [USER_TYPE_SETTINGS] => [HINT] => [PROPERTY_VALUE_ID] => [VALUE] => [DESCRIPTION] => [VALUE_ENUM] => [VALUE_XML_ID] => [VALUE_SORT] => [~VALUE] => [~DESCRIPTION] => [~NAME] => Автор [~DEFAULT_VALUE] => ) [SIGN] => Array ( [ID] => 281 [TIMESTAMP_X] => 2018-12-06 06:37:30 [IBLOCK_ID] => 52 [NAME] => Подпись [ACTIVE] => Y [SORT] => 55 [CODE] => SIGN [DEFAULT_VALUE] => [PROPERTY_TYPE] => S [ROW_COUNT] => 1 [COL_COUNT] => 30 [LIST_TYPE] => L [MULTIPLE] => N [XML_ID] => [FILE_TYPE] => [MULTIPLE_CNT] => 5 [TMP_ID] => [LINK_IBLOCK_ID] => 0 [WITH_DESCRIPTION] => N [SEARCHABLE] => N [FILTRABLE] => N [VERSION] => 1 [USER_TYPE] => [IS_REQUIRED] => N [USER_TYPE_SETTINGS] => [HINT] => [PROPERTY_VALUE_ID] => [VALUE] => [DESCRIPTION] => [VALUE_ENUM] => [VALUE_XML_ID] => [VALUE_SORT] => [~VALUE] => [~DESCRIPTION] => [~NAME] => Подпись [~DEFAULT_VALUE] => ) [FORYANDEX] => Array ( [ID] => 278 [TIMESTAMP_X] => 2018-12-06 06:37:30 [IBLOCK_ID] => 52 [NAME] => Экспорт для Яндекса [ACTIVE] => Y [SORT] => 90 [CODE] => FORYANDEX [DEFAULT_VALUE] => Нет [PROPERTY_TYPE] => L [ROW_COUNT] => 1 [COL_COUNT] => 30 [LIST_TYPE] => C [MULTIPLE] => N [XML_ID] => 220 [FILE_TYPE] => jpg, gif, bmp, png, jpeg [MULTIPLE_CNT] => 5 [TMP_ID] => [LINK_IBLOCK_ID] => 0 [WITH_DESCRIPTION] => N [SEARCHABLE] => N [FILTRABLE] => N [VERSION] => 1 [USER_TYPE] => [IS_REQUIRED] => N [USER_TYPE_SETTINGS] => [HINT] => [PROPERTY_VALUE_ID] => 167264 [VALUE] => Да [DESCRIPTION] => [VALUE_ENUM] => Да [VALUE_XML_ID] => Y [VALUE_SORT] => 500 [VALUE_ENUM_ID] => 85 [~VALUE] => Да [~DESCRIPTION] => [~NAME] => Экспорт для Яндекса [~DEFAULT_VALUE] => Нет ) [IS_MAIN] => Array ( [ID] => 282 [TIMESTAMP_X] => 2018-12-14 14:39:11 [IBLOCK_ID] => 52 [NAME] => Самая главная [ACTIVE] => Y [SORT] => 100 [CODE] => IS_MAIN [DEFAULT_VALUE] => [PROPERTY_TYPE] => L [ROW_COUNT] => 1 [COL_COUNT] => 30 [LIST_TYPE] => C [MULTIPLE] => N [XML_ID] => [FILE_TYPE] => [MULTIPLE_CNT] => 5 [TMP_ID] => [LINK_IBLOCK_ID] => 0 [WITH_DESCRIPTION] => N [SEARCHABLE] => N [FILTRABLE] => N [VERSION] => 1 [USER_TYPE] => [IS_REQUIRED] => N [USER_TYPE_SETTINGS] => [HINT] => [PROPERTY_VALUE_ID] => [VALUE] => [DESCRIPTION] => [VALUE_ENUM] => [VALUE_XML_ID] => [VALUE_SORT] => [VALUE_ENUM_ID] => [~VALUE] => [~DESCRIPTION] => [~NAME] => Самая главная [~DEFAULT_VALUE] => ) [IS_IMPORTANT] => Array ( [ID] => 283 [TIMESTAMP_X] => 2018-12-14 14:39:11 [IBLOCK_ID] => 52 [NAME] => Важная [ACTIVE] => Y [SORT] => 150 [CODE] => IS_IMPORTANT [DEFAULT_VALUE] => [PROPERTY_TYPE] => L [ROW_COUNT] => 1 [COL_COUNT] => 30 [LIST_TYPE] => C [MULTIPLE] => N [XML_ID] => [FILE_TYPE] => [MULTIPLE_CNT] => 5 [TMP_ID] => [LINK_IBLOCK_ID] => 0 [WITH_DESCRIPTION] => N [SEARCHABLE] => N [FILTRABLE] => N [VERSION] => 1 [USER_TYPE] => [IS_REQUIRED] => N [USER_TYPE_SETTINGS] => [HINT] => [PROPERTY_VALUE_ID] => 167265 [VALUE] => Y [DESCRIPTION] => [VALUE_ENUM] => Y [VALUE_XML_ID] => Y [VALUE_SORT] => 500 [VALUE_ENUM_ID] => 87 [~VALUE] => Y [~DESCRIPTION] => [~NAME] => Важная [~DEFAULT_VALUE] => ) [WITH_WATERMARK] => Array ( [ID] => 290 [TIMESTAMP_X] => 2018-12-18 09:33:44 [IBLOCK_ID] => 52 [NAME] => Все фото с водяным знаком [ACTIVE] => Y [SORT] => 200 [CODE] => WITH_WATERMARK [DEFAULT_VALUE] => [PROPERTY_TYPE] => L [ROW_COUNT] => 1 [COL_COUNT] => 30 [LIST_TYPE] => C [MULTIPLE] => N [XML_ID] => [FILE_TYPE] => [MULTIPLE_CNT] => 5 [TMP_ID] => [LINK_IBLOCK_ID] => 0 [WITH_DESCRIPTION] => N [SEARCHABLE] => N [FILTRABLE] => N [VERSION] => 1 [USER_TYPE] => [IS_REQUIRED] => N [USER_TYPE_SETTINGS] => [HINT] => [PROPERTY_VALUE_ID] => [VALUE] => [DESCRIPTION] => [VALUE_ENUM] => [VALUE_XML_ID] => [VALUE_SORT] => [VALUE_ENUM_ID] => [~VALUE] => [~DESCRIPTION] => [~NAME] => Все фото с водяным знаком [~DEFAULT_VALUE] => ) [MORE_PHOTO] => Array ( [ID] => 284 [TIMESTAMP_X] => 2018-12-06 06:38:44 [IBLOCK_ID] => 52 [NAME] => Фото [ACTIVE] => Y [SORT] => 250 [CODE] => MORE_PHOTO [DEFAULT_VALUE] => [PROPERTY_TYPE] => F [ROW_COUNT] => 1 [COL_COUNT] => 30 [LIST_TYPE] => L [MULTIPLE] => Y [XML_ID] => [FILE_TYPE] => jpg, gif, bmp, png, jpeg [MULTIPLE_CNT] => 5 [TMP_ID] => [LINK_IBLOCK_ID] => 0 [WITH_DESCRIPTION] => N [SEARCHABLE] => N [FILTRABLE] => N [VERSION] => 1 [USER_TYPE] => [IS_REQUIRED] => N [USER_TYPE_SETTINGS] => [HINT] => [PROPERTY_VALUE_ID] => [VALUE] => [DESCRIPTION] => [VALUE_ENUM] => [VALUE_XML_ID] => [VALUE_SORT] => [~VALUE] => [~DESCRIPTION] => [~NAME] => Фото [~DEFAULT_VALUE] => ) [TEXT] => Array ( [ID] => 285 [TIMESTAMP_X] => 2018-12-06 06:38:44 [IBLOCK_ID] => 52 [NAME] => Абзацы [ACTIVE] => Y [SORT] => 300 [CODE] => TEXT [DEFAULT_VALUE] => Array ( [TEXT] => [TYPE] => HTML ) [PROPERTY_TYPE] => S [ROW_COUNT] => 1 [COL_COUNT] => 30 [LIST_TYPE] => L [MULTIPLE] => Y [XML_ID] => [FILE_TYPE] => [MULTIPLE_CNT] => 5 [TMP_ID] => [LINK_IBLOCK_ID] => 0 [WITH_DESCRIPTION] => N [SEARCHABLE] => N [FILTRABLE] => N [VERSION] => 1 [USER_TYPE] => ISWIN_HTML [IS_REQUIRED] => N [USER_TYPE_SETTINGS] => Array ( [height] => 200 ) [HINT] => [PROPERTY_VALUE_ID] => [VALUE] => [DESCRIPTION] => [VALUE_ENUM] => [VALUE_XML_ID] => [VALUE_SORT] => [~VALUE] => [~DESCRIPTION] => [~NAME] => Абзацы [~DEFAULT_VALUE] => Array ( [TEXT] => [TYPE] => HTML ) ) [CNT_LIKES] => Array ( [ID] => 286 [TIMESTAMP_X] => 2018-12-06 06:38:44 [IBLOCK_ID] => 52 [NAME] => Кол-во "Нравится" [ACTIVE] => Y [SORT] => 1000 [CODE] => CNT_LIKES [DEFAULT_VALUE] => [PROPERTY_TYPE] => N [ROW_COUNT] => 1 [COL_COUNT] => 30 [LIST_TYPE] => L [MULTIPLE] => N [XML_ID] => [FILE_TYPE] => [MULTIPLE_CNT] => 5 [TMP_ID] => [LINK_IBLOCK_ID] => 0 [WITH_DESCRIPTION] => N [SEARCHABLE] => N [FILTRABLE] => N [VERSION] => 1 [USER_TYPE] => [IS_REQUIRED] => N [USER_TYPE_SETTINGS] => [HINT] => [PROPERTY_VALUE_ID] => 168509 [VALUE] => 1 [DESCRIPTION] => [VALUE_ENUM] => [VALUE_XML_ID] => [VALUE_SORT] => [~VALUE] => 1 [~DESCRIPTION] => [~NAME] => Кол-во "Нравится" [~DEFAULT_VALUE] => ) [CNT_DISLIKES] => Array ( [ID] => 287 [TIMESTAMP_X] => 2018-12-06 06:38:44 [IBLOCK_ID] => 52 [NAME] => Кол-во "Не нравится" [ACTIVE] => Y [SORT] => 1001 [CODE] => CNT_DISLIKES [DEFAULT_VALUE] => [PROPERTY_TYPE] => N [ROW_COUNT] => 1 [COL_COUNT] => 30 [LIST_TYPE] => L [MULTIPLE] => N [XML_ID] => [FILE_TYPE] => [MULTIPLE_CNT] => 5 [TMP_ID] => [LINK_IBLOCK_ID] => 0 [WITH_DESCRIPTION] => N [SEARCHABLE] => N [FILTRABLE] => N [VERSION] => 1 [USER_TYPE] => [IS_REQUIRED] => N [USER_TYPE_SETTINGS] => [HINT] => [PROPERTY_VALUE_ID] => [VALUE] => [DESCRIPTION] => [VALUE_ENUM] => [VALUE_XML_ID] => [VALUE_SORT] => [~VALUE] => [~DESCRIPTION] => [~NAME] => Кол-во "Не нравится" [~DEFAULT_VALUE] => ) ) [DISPLAY_PROPERTIES] => Array ( [CNT_LIKES] => Array ( [ID] => 286 [TIMESTAMP_X] => 2018-12-06 06:38:44 [IBLOCK_ID] => 52 [NAME] => Кол-во "Нравится" [ACTIVE] => Y [SORT] => 1000 [CODE] => CNT_LIKES [DEFAULT_VALUE] => [PROPERTY_TYPE] => N [ROW_COUNT] => 1 [COL_COUNT] => 30 [LIST_TYPE] => L [MULTIPLE] => N [XML_ID] => [FILE_TYPE] => [MULTIPLE_CNT] => 5 [TMP_ID] => [LINK_IBLOCK_ID] => 0 [WITH_DESCRIPTION] => N [SEARCHABLE] => N [FILTRABLE] => N [VERSION] => 1 [USER_TYPE] => [IS_REQUIRED] => N [USER_TYPE_SETTINGS] => [HINT] => [PROPERTY_VALUE_ID] => 168509 [VALUE] => 1 [DESCRIPTION] => [VALUE_ENUM] => [VALUE_XML_ID] => [VALUE_SORT] => [~VALUE] => 1 [~DESCRIPTION] => [~NAME] => Кол-во "Нравится" [~DEFAULT_VALUE] => [DISPLAY_VALUE] => 1 ) ) [IPROPERTY_VALUES] => Array ( [ELEMENT_META_TITLE] => Разведчики ЗВО поблагодарили Сергея Чижова за помощь [ELEMENT_META_DESCRIPTION] => [ELEMENT_PREVIEW_PICTURE_FILE_ALT] => [ELEMENT_PREVIEW_PICTURE_FILE_TITLE] => Новости [SECTION_META_TITLE] => Разведчики ЗВО поблагодарили Сергея Чижова за помощь [SECTION_META_DESCRIPTION] => Разведчики ЗВО поблагодарили Сергея Чижова за помощь - Главные новости Воронежа и области ) [RES_MOD] => Array ( [TITLE] => Разведчики ЗВО поблагодарили Сергея Чижова за помощь [SECTIONS] => Array ( [269] => Array ( [ID] => 269 [~ID] => 269 [IBLOCK_ELEMENT_ID] => 249512 [~IBLOCK_ELEMENT_ID] => 249512 [NAME] => Общество [~NAME] => Общество [IBLOCK_ID] => 52 [~IBLOCK_ID] => 52 [SECTION_PAGE_URL] => /obshchestvo/ [~SECTION_PAGE_URL] => /obshchestvo/ [CODE] => obshchestvo [~CODE] => obshchestvo [EXTERNAL_ID] => 142 [~EXTERNAL_ID] => 142 [IBLOCK_TYPE_ID] => news [~IBLOCK_TYPE_ID] => news [IBLOCK_CODE] => novosti [~IBLOCK_CODE] => novosti [IBLOCK_EXTERNAL_ID] => 29 [~IBLOCK_EXTERNAL_ID] => 29 [GLOBAL_ACTIVE] => Y [~GLOBAL_ACTIVE] => Y ) ) [IS_ADV] => [CONTROL_ID] => bx_4182259225_249512 [CNT_LIKES] => 1 [ACTIVE_FROM_TITLE] => 12.05.2023 18:20:30 ) )
Разведчики ЗВО…
Разведчики ЗВО поблагодарили Сергея Чижова за помощь
Array ( [ID] => 172897 [TIMESTAMP_X] => Bitrix\Main\Type\DateTime Object ( [value:protected] => DateTime Object ( [date] => 2023-05-16 08:20:03.000000 [timezone_type] => 3 [timezone] => UTC ) ) [MODULE_ID] => iblock [HEIGHT] => 1160 [WIDTH] => 1880 [FILE_SIZE] => 1226095 [CONTENT_TYPE] => image/jpeg [SUBDIR] => iblock/066 [FILE_NAME] => 8UiG2ejKabNd6qCFgRAlLZYl4tXnFlCu.jpg [ORIGINAL_NAME] => 8UiG2ejKabNd6qCFgRAlLZYl4tXnFlCu.jpg [DESCRIPTION] => [HANDLER_ID] => [EXTERNAL_ID] => e1ffd6a2dfa49e8da4e99a93518f0ddd [~src] => [SRC] => /upload/resize_cache/iblock/066/285_285_0/8UiG2ejKabNd6qCFgRAlLZYl4tXnFlCu.jpg [UNSAFE_SRC] => /upload/iblock/066/8UiG2ejKabNd6qCFgRAlLZYl4tXnFlCu.jpg [SAFE_SRC] => /upload/iblock/066/8UiG2ejKabNd6qCFgRAlLZYl4tXnFlCu.jpg [ALT] => Воронежская область справится со всеми вызовами [TITLE] => Новости ) Array ( [DETAIL_PICTURE] => [~DETAIL_PICTURE] => [SHOW_COUNTER] => 971 [~SHOW_COUNTER] => 971 [ID] => 249506 [~ID] => 249506 [IBLOCK_ID] => 52 [~IBLOCK_ID] => 52 [IBLOCK_SECTION_ID] => 269 [~IBLOCK_SECTION_ID] => 269 [NAME] => Воронежская область… [~NAME] => Воронежская область справится со всеми вызовами [ACTIVE_FROM] => 12.05.2023 12:14:35 [~ACTIVE_FROM] => 12.05.2023 12:14:35 [TIMESTAMP_X] => 16.05.2023 14:20:03 [~TIMESTAMP_X] => 16.05.2023 14:20:03 [DETAIL_PAGE_URL] => /obshchestvo/voronezhskaya-oblast-spravitsya-so-vsemi-vyzovami/ [~DETAIL_PAGE_URL] => /obshchestvo/voronezhskaya-oblast-spravitsya-so-vsemi-vyzovami/ [LIST_PAGE_URL] => /novosti/ [~LIST_PAGE_URL] => /novosti/ [DETAIL_TEXT] => Рабочая встреча Президента РФ Владимира Путина с губернатором Воронежской области Александром Гусевым состоялась 2 мая в режиме видеоконференции. Александр Гусев выступил с докладом, в котором назвал обстановку в нашем регионе стабильной и управляемой.

– У вас, я посмотрел, действительно всё стабильно, и показатели хорошие, сельское хозяйство растёт большими темпами, чем в России. Инвестиционная привлекательность региона сохраняется, – отметил Владимир Путин.

Губернатор обратил внимание главы государства на то, что экономика нашего региона адаптировалась к ограничениям, которые ввели недружественные страны. Все социальные обязательства перед жителями выполняются, а общество консолидировано и поддерживает меры, связанные с проведением спецоперации.

О поддержке участников СВО и вынужденных переселенцев


Александр Гусев привёл данные социологических исследований – более 560 тысяч человек активно включились в поддержку участников СВО и вынужденных переселенцев из Донбасса и Украины. Активное участие в этой работе принимают волонтёрские и некоммерческие организации.

– Мы одними из первых приняли вынужденных переселенцев, постарались создать для них комфортные условия проживания, – рассказал губернатор. – Было много пожилых людей, конечно, важно было обеспечить медицинское сопровождение. Много внимания уделяли детям, создали специальные студенческие педагогические отряды, которые помогали ребятам адаптироваться к нашей образовательной программе.

В зоне особого внимания, по словам Александра Гусева, – помощь участникам спецоперации и их семьям. В нашем регионе действует более 20 федеральных и региональных мер поддержки. Так, в феврале начала действовать программа комплексной реабилитации и социальной адаптации тех, кто вернулся из зоны СВО. В регионе был создан Единый центр, который координирует работу ряда учреждений различного профиля.

– Ведём работу по шести направлениям реабилитации, создали межведомственные маршруты сопровождения, оформляем социальные паспорта для членов семей участников СВО и понимаем насущные потребности этих людей. Уверен, с этой работой мы будем справляться, – отметил глава региона.

Александр Гусев также рассказал о том, что в Воронежской области выполняется поручение Президента РФ по открытию филиала Государственного фонда поддержки участников СВО. Сейчас проходит дооснащение помещения и заканчивается обучение социальных координаторов. К 25 мая Фонд заработает в полном объёме.

О содействии подшефным районам ЛНР


В прошлом году Воронежская область взяла шефство над тремя районами Луганской народной республики: Марковским, Меловским и Новопсковским. Процесс активного взаимодействия продолжается, воронежские специалисты восстанавливают и помогают ремонтировать социальные объекты (в прошлом году их было 40, а в этом количество объектов увеличится в полтора раза).

– Одна из целей – оживить экономику этих районов: мы помогли им реализовать продукцию, которая хранилась на складах, обеспечили нашими минеральными удобрениями, семенами, средствами защиты растений, – добавил Александр Гусев. – Кроме того, работаем над привлечением инвестиций. Договорились с крупным воронежским предприятием об инвестировании около 8 млрд рублей в создание молочных ферм на территории подшефных районов.

Об экономике региона


Губернатор доложил об экономической обстановке в регионе. Так, по его словам, валовой региональный продукт растёт (сейчас он составляет порядка 1,3 трлн рублей), а уровень безработицы незначительный. Инвестиции в прошлом году выросли на 5% и составили почти 345 млрд рублей.

Промышленность тоже динамично развивается. Правда, в прошлом году был отмечен незначительный спад на 2% в связи с тем, что крупные предприятия химической и нефтехимической отрасли несколько снизили экспортные поставки, в том числе минеральных удобрений, аммиака. Но сейчас за счёт развития других подотраслей регион навёрстывает это отставание, и по итогам первого квартала 2023 года уже есть рост на 2,5%.

– Активно используем промышленные площадки с уже организованной инфраструктурой, – продолжил Александр Гусев. – У нас действуют Особая экономическая зона, созданная при Вашей поддержке, территория опережающего развития, шесть Индустриальных парков, где расположено почти 150 резидентов. Владимир Владимирович, в этой связи есть просьба. Для того чтобы продолжать активно привлекать на эти площадки инвесторов, нам необходимо обеспечить увеличение поставок газа. Газораспределительная станция есть, её реконструкция запланирована на 2025 году Но чтобы не терять темпов, мы просили бы сместить реконструкцию «влево» и закончить её в 2024 году.

О рекордах в сельском хозяйстве


Александр Гусев рассказал и о рекордах: Воронежская область заняла третье место по объёму сельхозпроизводства в стране. В прошлом году собрано почти 7 млн тонн зерновых, производится более 1 млн тонн молока в год, регион занимает второе место по производству мяса – почти 700 тыс. тонн. В региональный АПК удалось инвестировать около 60 млрд рублей – и это лучший результат в стране.

О создании парка «Петровский остров»


В позитивном направлении, по словам губернатора, развиваются строительная и дорожная сферы, образование, медицина. В ходе встречи Александр Гусев обратился к Владимиру Путину с просьбой передать дорогу Воронеж – Луганск на баланс федеральным структурам для проведения её реконструкции.

Также губернатор затронул тему внутреннего туризма и попросил главу государства помочь Воронежской области с созданием историко-культурного тематического парка «Петровский остров».

– Мы бы просили дать поручение Министерству экономического развития и Минстрою включить нас в программы, которые ими реализуются. У нас концепция есть, мы готовы начать проектирование, но нам важно понимать, что есть источники финансирования, – отметил Александр Гусев. – В целом задачи, которые перед нами стоят, понимаем, возможности для решения этих задач видим, и уверен, будем справляться со всеми вызовами.

Что Владимир Путин ответил Александру Гусеву


В ходе встречи Президент РФ Владимир Путин обратил внимание губернатора Воронежской области Александра Гусева на высокую аварийность из-за состояния дорог, которое «оставляет желать лучшего», а также на высокий уровень отравлений алкоголем в регионе.

– Это должны быть комплексные мероприятия, связанные с соответствующей пропагандой здорового образа жизни, развитием здравоохранения, социальной инфраструктуры, спортивных сооружений. Я просил бы Вас обратить на это внимание, – сказал Владимир Путин.

РЕАКЦИЯ


Эксперты прокомментировали итоги встречи Президента РФ Владимира ПУТИНА с губернатором Воронежской области Александром ГУСЕВЫМ


«Управленческие решения дали результат»

Роман САВЕНКОВ, политолог, доктор политических наук, доцент кафедры социологии и политологии ВГУ:

Пятилетка, во время которой губернатор исполнял свои полномочия, – это один из самых трудных периодов для региона и всей страны. Нужно было нивелировать последствия экономического кризиса и пандемии коронавируса. Но те управленческие решения, которые принимал губернатор, те традиции, которые были продолжены в контактах высшего должностного лица региона с представителями гражданского общества, дали свои положительные результаты. Динамика экономики в целом позитивная, и это отметил глава государства. А за несостоявшиеся успехи Президент никогда не хвалит. Это говорит о том, что Владимир Путин, изучив обстановку в регионе, публично оценив её как стабильную, одобряет выдвижение Александра Викторовича на второй срок. В целом управленческая стратегия губернатора дала положительные результаты. Ситуацию в регионе удалось не просто сохранить стабильной – есть макроэкономические показатели, демонстрирующие рост.

«Наш регион привлекает инвесторов»

Сергей ПЕТРОВСКИЙ, президент Союза «Торгово-промышленная палата Воронежской области»:

– Благодаря инициативам Александра Викторовича в регионе появилось множество новых предприятий, что, безусловно, поспособствовало укреплению экономической стабильности региона. Начатый им в 2020 году проект «Новая Индустриализация региона» – это новый импульс для развития промышленной отрасли, направленный на возвращение Воронежской области статуса одного из главных индустриальных центров страны.
В рамках улучшения инвестиционного клима та области региональные власти постоянно вводят преференции, налоговые льготы для инвесторов, в первую очередь– в Индустриальных парках и Особых экономических зонах. Благодаря этому в настоящее время в Воронежской области реализуется порядка 70 особо значимых инвестиционных проектов.

В то же время Александр Гусев поддерживает малый и средний бизнес. Под руководством губернатора в регионе развивается социальное предпринимательство.

Таким образом, Воронежская область продолжает оставаться привлекательным местом для инвесторов и бизнесменов, что положительным образом сказывается на жизни воронежцев.


Фото: Kremlin.ru


[~DETAIL_TEXT] => Рабочая встреча Президента РФ Владимира Путина с губернатором Воронежской области Александром Гусевым состоялась 2 мая в режиме видеоконференции. Александр Гусев выступил с докладом, в котором назвал обстановку в нашем регионе стабильной и управляемой.

– У вас, я посмотрел, действительно всё стабильно, и показатели хорошие, сельское хозяйство растёт большими темпами, чем в России. Инвестиционная привлекательность региона сохраняется, – отметил Владимир Путин.

Губернатор обратил внимание главы государства на то, что экономика нашего региона адаптировалась к ограничениям, которые ввели недружественные страны. Все социальные обязательства перед жителями выполняются, а общество консолидировано и поддерживает меры, связанные с проведением спецоперации.

О поддержке участников СВО и вынужденных переселенцев


Александр Гусев привёл данные социологических исследований – более 560 тысяч человек активно включились в поддержку участников СВО и вынужденных переселенцев из Донбасса и Украины. Активное участие в этой работе принимают волонтёрские и некоммерческие организации.

– Мы одними из первых приняли вынужденных переселенцев, постарались создать для них комфортные условия проживания, – рассказал губернатор. – Было много пожилых людей, конечно, важно было обеспечить медицинское сопровождение. Много внимания уделяли детям, создали специальные студенческие педагогические отряды, которые помогали ребятам адаптироваться к нашей образовательной программе.

В зоне особого внимания, по словам Александра Гусева, – помощь участникам спецоперации и их семьям. В нашем регионе действует более 20 федеральных и региональных мер поддержки. Так, в феврале начала действовать программа комплексной реабилитации и социальной адаптации тех, кто вернулся из зоны СВО. В регионе был создан Единый центр, который координирует работу ряда учреждений различного профиля.

– Ведём работу по шести направлениям реабилитации, создали межведомственные маршруты сопровождения, оформляем социальные паспорта для членов семей участников СВО и понимаем насущные потребности этих людей. Уверен, с этой работой мы будем справляться, – отметил глава региона.

Александр Гусев также рассказал о том, что в Воронежской области выполняется поручение Президента РФ по открытию филиала Государственного фонда поддержки участников СВО. Сейчас проходит дооснащение помещения и заканчивается обучение социальных координаторов. К 25 мая Фонд заработает в полном объёме.

О содействии подшефным районам ЛНР


В прошлом году Воронежская область взяла шефство над тремя районами Луганской народной республики: Марковским, Меловским и Новопсковским. Процесс активного взаимодействия продолжается, воронежские специалисты восстанавливают и помогают ремонтировать социальные объекты (в прошлом году их было 40, а в этом количество объектов увеличится в полтора раза).

– Одна из целей – оживить экономику этих районов: мы помогли им реализовать продукцию, которая хранилась на складах, обеспечили нашими минеральными удобрениями, семенами, средствами защиты растений, – добавил Александр Гусев. – Кроме того, работаем над привлечением инвестиций. Договорились с крупным воронежским предприятием об инвестировании около 8 млрд рублей в создание молочных ферм на территории подшефных районов.

Об экономике региона


Губернатор доложил об экономической обстановке в регионе. Так, по его словам, валовой региональный продукт растёт (сейчас он составляет порядка 1,3 трлн рублей), а уровень безработицы незначительный. Инвестиции в прошлом году выросли на 5% и составили почти 345 млрд рублей.

Промышленность тоже динамично развивается. Правда, в прошлом году был отмечен незначительный спад на 2% в связи с тем, что крупные предприятия химической и нефтехимической отрасли несколько снизили экспортные поставки, в том числе минеральных удобрений, аммиака. Но сейчас за счёт развития других подотраслей регион навёрстывает это отставание, и по итогам первого квартала 2023 года уже есть рост на 2,5%.

– Активно используем промышленные площадки с уже организованной инфраструктурой, – продолжил Александр Гусев. – У нас действуют Особая экономическая зона, созданная при Вашей поддержке, территория опережающего развития, шесть Индустриальных парков, где расположено почти 150 резидентов. Владимир Владимирович, в этой связи есть просьба. Для того чтобы продолжать активно привлекать на эти площадки инвесторов, нам необходимо обеспечить увеличение поставок газа. Газораспределительная станция есть, её реконструкция запланирована на 2025 году Но чтобы не терять темпов, мы просили бы сместить реконструкцию «влево» и закончить её в 2024 году.

О рекордах в сельском хозяйстве


Александр Гусев рассказал и о рекордах: Воронежская область заняла третье место по объёму сельхозпроизводства в стране. В прошлом году собрано почти 7 млн тонн зерновых, производится более 1 млн тонн молока в год, регион занимает второе место по производству мяса – почти 700 тыс. тонн. В региональный АПК удалось инвестировать около 60 млрд рублей – и это лучший результат в стране.

О создании парка «Петровский остров»


В позитивном направлении, по словам губернатора, развиваются строительная и дорожная сферы, образование, медицина. В ходе встречи Александр Гусев обратился к Владимиру Путину с просьбой передать дорогу Воронеж – Луганск на баланс федеральным структурам для проведения её реконструкции.

Также губернатор затронул тему внутреннего туризма и попросил главу государства помочь Воронежской области с созданием историко-культурного тематического парка «Петровский остров».

– Мы бы просили дать поручение Министерству экономического развития и Минстрою включить нас в программы, которые ими реализуются. У нас концепция есть, мы готовы начать проектирование, но нам важно понимать, что есть источники финансирования, – отметил Александр Гусев. – В целом задачи, которые перед нами стоят, понимаем, возможности для решения этих задач видим, и уверен, будем справляться со всеми вызовами.

Что Владимир Путин ответил Александру Гусеву


В ходе встречи Президент РФ Владимир Путин обратил внимание губернатора Воронежской области Александра Гусева на высокую аварийность из-за состояния дорог, которое «оставляет желать лучшего», а также на высокий уровень отравлений алкоголем в регионе.

– Это должны быть комплексные мероприятия, связанные с соответствующей пропагандой здорового образа жизни, развитием здравоохранения, социальной инфраструктуры, спортивных сооружений. Я просил бы Вас обратить на это внимание, – сказал Владимир Путин.

РЕАКЦИЯ


Эксперты прокомментировали итоги встречи Президента РФ Владимира ПУТИНА с губернатором Воронежской области Александром ГУСЕВЫМ


«Управленческие решения дали результат»

Роман САВЕНКОВ, политолог, доктор политических наук, доцент кафедры социологии и политологии ВГУ:

Пятилетка, во время которой губернатор исполнял свои полномочия, – это один из самых трудных периодов для региона и всей страны. Нужно было нивелировать последствия экономического кризиса и пандемии коронавируса. Но те управленческие решения, которые принимал губернатор, те традиции, которые были продолжены в контактах высшего должностного лица региона с представителями гражданского общества, дали свои положительные результаты. Динамика экономики в целом позитивная, и это отметил глава государства. А за несостоявшиеся успехи Президент никогда не хвалит. Это говорит о том, что Владимир Путин, изучив обстановку в регионе, публично оценив её как стабильную, одобряет выдвижение Александра Викторовича на второй срок. В целом управленческая стратегия губернатора дала положительные результаты. Ситуацию в регионе удалось не просто сохранить стабильной – есть макроэкономические показатели, демонстрирующие рост.

«Наш регион привлекает инвесторов»

Сергей ПЕТРОВСКИЙ, президент Союза «Торгово-промышленная палата Воронежской области»:

– Благодаря инициативам Александра Викторовича в регионе появилось множество новых предприятий, что, безусловно, поспособствовало укреплению экономической стабильности региона. Начатый им в 2020 году проект «Новая Индустриализация региона» – это новый импульс для развития промышленной отрасли, направленный на возвращение Воронежской области статуса одного из главных индустриальных центров страны.
В рамках улучшения инвестиционного клима та области региональные власти постоянно вводят преференции, налоговые льготы для инвесторов, в первую очередь– в Индустриальных парках и Особых экономических зонах. Благодаря этому в настоящее время в Воронежской области реализуется порядка 70 особо значимых инвестиционных проектов.

В то же время Александр Гусев поддерживает малый и средний бизнес. Под руководством губернатора в регионе развивается социальное предпринимательство.

Таким образом, Воронежская область продолжает оставаться привлекательным местом для инвесторов и бизнесменов, что положительным образом сказывается на жизни воронежцев.


Фото: Kremlin.ru


[DETAIL_TEXT_TYPE] => html [~DETAIL_TEXT_TYPE] => html [PREVIEW_TEXT] => [~PREVIEW_TEXT] => Президент РФ Владимир Путин провёл встречу с губернатором Воронежской области Александром Гусевым [PREVIEW_TEXT_TYPE] => text [~PREVIEW_TEXT_TYPE] => text [PREVIEW_PICTURE] => Array ( [ID] => 172897 [TIMESTAMP_X] => Bitrix\Main\Type\DateTime Object ( [value:protected] => DateTime Object ( [date] => 2023-05-16 08:20:03.000000 [timezone_type] => 3 [timezone] => UTC ) ) [MODULE_ID] => iblock [HEIGHT] => 1160 [WIDTH] => 1880 [FILE_SIZE] => 1226095 [CONTENT_TYPE] => image/jpeg [SUBDIR] => iblock/066 [FILE_NAME] => 8UiG2ejKabNd6qCFgRAlLZYl4tXnFlCu.jpg [ORIGINAL_NAME] => 8UiG2ejKabNd6qCFgRAlLZYl4tXnFlCu.jpg [DESCRIPTION] => [HANDLER_ID] => [EXTERNAL_ID] => e1ffd6a2dfa49e8da4e99a93518f0ddd [~src] => [SRC] => /upload/iblock/066/8UiG2ejKabNd6qCFgRAlLZYl4tXnFlCu.jpg [UNSAFE_SRC] => /upload/iblock/066/8UiG2ejKabNd6qCFgRAlLZYl4tXnFlCu.jpg [SAFE_SRC] => /upload/iblock/066/8UiG2ejKabNd6qCFgRAlLZYl4tXnFlCu.jpg [ALT] => Воронежская область справится со всеми вызовами [TITLE] => Новости ) [~PREVIEW_PICTURE] => 172897 [LANG_DIR] => / [~LANG_DIR] => / [SORT] => 500 [~SORT] => 500 [CODE] => voronezhskaya-oblast-spravitsya-so-vsemi-vyzovami [~CODE] => voronezhskaya-oblast-spravitsya-so-vsemi-vyzovami [EXTERNAL_ID] => 249506 [~EXTERNAL_ID] => 249506 [IBLOCK_TYPE_ID] => news [~IBLOCK_TYPE_ID] => news [IBLOCK_CODE] => novosti [~IBLOCK_CODE] => novosti [IBLOCK_EXTERNAL_ID] => 29 [~IBLOCK_EXTERNAL_ID] => 29 [LID] => ru [~LID] => ru [EDIT_LINK] => [DELETE_LINK] => [DISPLAY_ACTIVE_FROM] => 12.05.2023 12:14 [FIELDS] => Array ( [DETAIL_PICTURE] => [SHOW_COUNTER] => 971 ) [PROPERTIES] => Array ( [REGION_ID] => Array ( [ID] => 279 [TIMESTAMP_X] => 2018-12-06 06:37:30 [IBLOCK_ID] => 52 [NAME] => Регион [ACTIVE] => Y [SORT] => 40 [CODE] => REGION_ID [DEFAULT_VALUE] => [PROPERTY_TYPE] => E [ROW_COUNT] => 1 [COL_COUNT] => 30 [LIST_TYPE] => L [MULTIPLE] => Y [XML_ID] => [FILE_TYPE] => [MULTIPLE_CNT] => 5 [TMP_ID] => [LINK_IBLOCK_ID] => 37 [WITH_DESCRIPTION] => N [SEARCHABLE] => N [FILTRABLE] => N [VERSION] => 1 [USER_TYPE] => [IS_REQUIRED] => N [USER_TYPE_SETTINGS] => [HINT] => [PROPERTY_VALUE_ID] => [VALUE] => [DESCRIPTION] => [VALUE_ENUM] => [VALUE_XML_ID] => [VALUE_SORT] => [~VALUE] => [~DESCRIPTION] => [~NAME] => Регион [~DEFAULT_VALUE] => ) [AUTHOR_ID] => Array ( [ID] => 280 [TIMESTAMP_X] => 2018-12-06 06:37:30 [IBLOCK_ID] => 52 [NAME] => Автор [ACTIVE] => Y [SORT] => 50 [CODE] => AUTHOR_ID [DEFAULT_VALUE] => [PROPERTY_TYPE] => E [ROW_COUNT] => 1 [COL_COUNT] => 30 [LIST_TYPE] => L [MULTIPLE] => Y [XML_ID] => [FILE_TYPE] => [MULTIPLE_CNT] => 5 [TMP_ID] => [LINK_IBLOCK_ID] => 36 [WITH_DESCRIPTION] => N [SEARCHABLE] => N [FILTRABLE] => N [VERSION] => 1 [USER_TYPE] => [IS_REQUIRED] => N [USER_TYPE_SETTINGS] => [HINT] => [PROPERTY_VALUE_ID] => [VALUE] => [DESCRIPTION] => [VALUE_ENUM] => [VALUE_XML_ID] => [VALUE_SORT] => [~VALUE] => [~DESCRIPTION] => [~NAME] => Автор [~DEFAULT_VALUE] => ) [SIGN] => Array ( [ID] => 281 [TIMESTAMP_X] => 2018-12-06 06:37:30 [IBLOCK_ID] => 52 [NAME] => Подпись [ACTIVE] => Y [SORT] => 55 [CODE] => SIGN [DEFAULT_VALUE] => [PROPERTY_TYPE] => S [ROW_COUNT] => 1 [COL_COUNT] => 30 [LIST_TYPE] => L [MULTIPLE] => N [XML_ID] => [FILE_TYPE] => [MULTIPLE_CNT] => 5 [TMP_ID] => [LINK_IBLOCK_ID] => 0 [WITH_DESCRIPTION] => N [SEARCHABLE] => N [FILTRABLE] => N [VERSION] => 1 [USER_TYPE] => [IS_REQUIRED] => N [USER_TYPE_SETTINGS] => [HINT] => [PROPERTY_VALUE_ID] => 167229 [VALUE] => Оксана КОЗЛОВА [DESCRIPTION] => [VALUE_ENUM] => [VALUE_XML_ID] => [VALUE_SORT] => [~VALUE] => Оксана КОЗЛОВА [~DESCRIPTION] => [~NAME] => Подпись [~DEFAULT_VALUE] => ) [FORYANDEX] => Array ( [ID] => 278 [TIMESTAMP_X] => 2018-12-06 06:37:30 [IBLOCK_ID] => 52 [NAME] => Экспорт для Яндекса [ACTIVE] => Y [SORT] => 90 [CODE] => FORYANDEX [DEFAULT_VALUE] => Нет [PROPERTY_TYPE] => L [ROW_COUNT] => 1 [COL_COUNT] => 30 [LIST_TYPE] => C [MULTIPLE] => N [XML_ID] => 220 [FILE_TYPE] => jpg, gif, bmp, png, jpeg [MULTIPLE_CNT] => 5 [TMP_ID] => [LINK_IBLOCK_ID] => 0 [WITH_DESCRIPTION] => N [SEARCHABLE] => N [FILTRABLE] => N [VERSION] => 1 [USER_TYPE] => [IS_REQUIRED] => N [USER_TYPE_SETTINGS] => [HINT] => [PROPERTY_VALUE_ID] => 167291 [VALUE] => Да [DESCRIPTION] => [VALUE_ENUM] => Да [VALUE_XML_ID] => Y [VALUE_SORT] => 500 [VALUE_ENUM_ID] => 85 [~VALUE] => Да [~DESCRIPTION] => [~NAME] => Экспорт для Яндекса [~DEFAULT_VALUE] => Нет ) [IS_MAIN] => Array ( [ID] => 282 [TIMESTAMP_X] => 2018-12-14 14:39:11 [IBLOCK_ID] => 52 [NAME] => Самая главная [ACTIVE] => Y [SORT] => 100 [CODE] => IS_MAIN [DEFAULT_VALUE] => [PROPERTY_TYPE] => L [ROW_COUNT] => 1 [COL_COUNT] => 30 [LIST_TYPE] => C [MULTIPLE] => N [XML_ID] => [FILE_TYPE] => [MULTIPLE_CNT] => 5 [TMP_ID] => [LINK_IBLOCK_ID] => 0 [WITH_DESCRIPTION] => N [SEARCHABLE] => N [FILTRABLE] => N [VERSION] => 1 [USER_TYPE] => [IS_REQUIRED] => N [USER_TYPE_SETTINGS] => [HINT] => [PROPERTY_VALUE_ID] => [VALUE] => [DESCRIPTION] => [VALUE_ENUM] => [VALUE_XML_ID] => [VALUE_SORT] => [VALUE_ENUM_ID] => [~VALUE] => [~DESCRIPTION] => [~NAME] => Самая главная [~DEFAULT_VALUE] => ) [IS_IMPORTANT] => Array ( [ID] => 283 [TIMESTAMP_X] => 2018-12-14 14:39:11 [IBLOCK_ID] => 52 [NAME] => Важная [ACTIVE] => Y [SORT] => 150 [CODE] => IS_IMPORTANT [DEFAULT_VALUE] => [PROPERTY_TYPE] => L [ROW_COUNT] => 1 [COL_COUNT] => 30 [LIST_TYPE] => C [MULTIPLE] => N [XML_ID] => [FILE_TYPE] => [MULTIPLE_CNT] => 5 [TMP_ID] => [LINK_IBLOCK_ID] => 0 [WITH_DESCRIPTION] => N [SEARCHABLE] => N [FILTRABLE] => N [VERSION] => 1 [USER_TYPE] => [IS_REQUIRED] => N [USER_TYPE_SETTINGS] => [HINT] => [PROPERTY_VALUE_ID] => 167292 [VALUE] => Y [DESCRIPTION] => [VALUE_ENUM] => Y [VALUE_XML_ID] => Y [VALUE_SORT] => 500 [VALUE_ENUM_ID] => 87 [~VALUE] => Y [~DESCRIPTION] => [~NAME] => Важная [~DEFAULT_VALUE] => ) [WITH_WATERMARK] => Array ( [ID] => 290 [TIMESTAMP_X] => 2018-12-18 09:33:44 [IBLOCK_ID] => 52 [NAME] => Все фото с водяным знаком [ACTIVE] => Y [SORT] => 200 [CODE] => WITH_WATERMARK [DEFAULT_VALUE] => [PROPERTY_TYPE] => L [ROW_COUNT] => 1 [COL_COUNT] => 30 [LIST_TYPE] => C [MULTIPLE] => N [XML_ID] => [FILE_TYPE] => [MULTIPLE_CNT] => 5 [TMP_ID] => [LINK_IBLOCK_ID] => 0 [WITH_DESCRIPTION] => N [SEARCHABLE] => N [FILTRABLE] => N [VERSION] => 1 [USER_TYPE] => [IS_REQUIRED] => N [USER_TYPE_SETTINGS] => [HINT] => [PROPERTY_VALUE_ID] => [VALUE] => [DESCRIPTION] => [VALUE_ENUM] => [VALUE_XML_ID] => [VALUE_SORT] => [VALUE_ENUM_ID] => [~VALUE] => [~DESCRIPTION] => [~NAME] => Все фото с водяным знаком [~DEFAULT_VALUE] => ) [MORE_PHOTO] => Array ( [ID] => 284 [TIMESTAMP_X] => 2018-12-06 06:38:44 [IBLOCK_ID] => 52 [NAME] => Фото [ACTIVE] => Y [SORT] => 250 [CODE] => MORE_PHOTO [DEFAULT_VALUE] => [PROPERTY_TYPE] => F [ROW_COUNT] => 1 [COL_COUNT] => 30 [LIST_TYPE] => L [MULTIPLE] => Y [XML_ID] => [FILE_TYPE] => jpg, gif, bmp, png, jpeg [MULTIPLE_CNT] => 5 [TMP_ID] => [LINK_IBLOCK_ID] => 0 [WITH_DESCRIPTION] => N [SEARCHABLE] => N [FILTRABLE] => N [VERSION] => 1 [USER_TYPE] => [IS_REQUIRED] => N [USER_TYPE_SETTINGS] => [HINT] => [PROPERTY_VALUE_ID] => [VALUE] => [DESCRIPTION] => [VALUE_ENUM] => [VALUE_XML_ID] => [VALUE_SORT] => [~VALUE] => [~DESCRIPTION] => [~NAME] => Фото [~DEFAULT_VALUE] => ) [TEXT] => Array ( [ID] => 285 [TIMESTAMP_X] => 2018-12-06 06:38:44 [IBLOCK_ID] => 52 [NAME] => Абзацы [ACTIVE] => Y [SORT] => 300 [CODE] => TEXT [DEFAULT_VALUE] => Array ( [TEXT] => [TYPE] => HTML ) [PROPERTY_TYPE] => S [ROW_COUNT] => 1 [COL_COUNT] => 30 [LIST_TYPE] => L [MULTIPLE] => Y [XML_ID] => [FILE_TYPE] => [MULTIPLE_CNT] => 5 [TMP_ID] => [LINK_IBLOCK_ID] => 0 [WITH_DESCRIPTION] => N [SEARCHABLE] => N [FILTRABLE] => N [VERSION] => 1 [USER_TYPE] => ISWIN_HTML [IS_REQUIRED] => N [USER_TYPE_SETTINGS] => Array ( [height] => 200 ) [HINT] => [PROPERTY_VALUE_ID] => [VALUE] => [DESCRIPTION] => [VALUE_ENUM] => [VALUE_XML_ID] => [VALUE_SORT] => [~VALUE] => [~DESCRIPTION] => [~NAME] => Абзацы [~DEFAULT_VALUE] => Array ( [TEXT] => [TYPE] => HTML ) ) [CNT_LIKES] => Array ( [ID] => 286 [TIMESTAMP_X] => 2018-12-06 06:38:44 [IBLOCK_ID] => 52 [NAME] => Кол-во "Нравится" [ACTIVE] => Y [SORT] => 1000 [CODE] => CNT_LIKES [DEFAULT_VALUE] => [PROPERTY_TYPE] => N [ROW_COUNT] => 1 [COL_COUNT] => 30 [LIST_TYPE] => L [MULTIPLE] => N [XML_ID] => [FILE_TYPE] => [MULTIPLE_CNT] => 5 [TMP_ID] => [LINK_IBLOCK_ID] => 0 [WITH_DESCRIPTION] => N [SEARCHABLE] => N [FILTRABLE] => N [VERSION] => 1 [USER_TYPE] => [IS_REQUIRED] => N [USER_TYPE_SETTINGS] => [HINT] => [PROPERTY_VALUE_ID] => 167301 [VALUE] => 0 [DESCRIPTION] => [VALUE_ENUM] => [VALUE_XML_ID] => [VALUE_SORT] => [~VALUE] => 0 [~DESCRIPTION] => [~NAME] => Кол-во "Нравится" [~DEFAULT_VALUE] => ) [CNT_DISLIKES] => Array ( [ID] => 287 [TIMESTAMP_X] => 2018-12-06 06:38:44 [IBLOCK_ID] => 52 [NAME] => Кол-во "Не нравится" [ACTIVE] => Y [SORT] => 1001 [CODE] => CNT_DISLIKES [DEFAULT_VALUE] => [PROPERTY_TYPE] => N [ROW_COUNT] => 1 [COL_COUNT] => 30 [LIST_TYPE] => L [MULTIPLE] => N [XML_ID] => [FILE_TYPE] => [MULTIPLE_CNT] => 5 [TMP_ID] => [LINK_IBLOCK_ID] => 0 [WITH_DESCRIPTION] => N [SEARCHABLE] => N [FILTRABLE] => N [VERSION] => 1 [USER_TYPE] => [IS_REQUIRED] => N [USER_TYPE_SETTINGS] => [HINT] => [PROPERTY_VALUE_ID] => 167303 [VALUE] => 0 [DESCRIPTION] => [VALUE_ENUM] => [VALUE_XML_ID] => [VALUE_SORT] => [~VALUE] => 0 [~DESCRIPTION] => [~NAME] => Кол-во "Не нравится" [~DEFAULT_VALUE] => ) ) [DISPLAY_PROPERTIES] => Array ( [CNT_LIKES] => Array ( [ID] => 286 [TIMESTAMP_X] => 2018-12-06 06:38:44 [IBLOCK_ID] => 52 [NAME] => Кол-во "Нравится" [ACTIVE] => Y [SORT] => 1000 [CODE] => CNT_LIKES [DEFAULT_VALUE] => [PROPERTY_TYPE] => N [ROW_COUNT] => 1 [COL_COUNT] => 30 [LIST_TYPE] => L [MULTIPLE] => N [XML_ID] => [FILE_TYPE] => [MULTIPLE_CNT] => 5 [TMP_ID] => [LINK_IBLOCK_ID] => 0 [WITH_DESCRIPTION] => N [SEARCHABLE] => N [FILTRABLE] => N [VERSION] => 1 [USER_TYPE] => [IS_REQUIRED] => N [USER_TYPE_SETTINGS] => [HINT] => [PROPERTY_VALUE_ID] => 167301 [VALUE] => 0 [DESCRIPTION] => [VALUE_ENUM] => [VALUE_XML_ID] => [VALUE_SORT] => [~VALUE] => 0 [~DESCRIPTION] => [~NAME] => Кол-во "Нравится" [~DEFAULT_VALUE] => [DISPLAY_VALUE] => 0 ) ) [IPROPERTY_VALUES] => Array ( [ELEMENT_META_TITLE] => Воронежская область справится со всеми вызовами [ELEMENT_META_DESCRIPTION] => Президент РФ Владимир Путин провёл встречу с губернатором Воронежской области Александром Гусевым [ELEMENT_PREVIEW_PICTURE_FILE_ALT] => [ELEMENT_PREVIEW_PICTURE_FILE_TITLE] => Новости [SECTION_META_TITLE] => Воронежская область справится со всеми вызовами [SECTION_META_DESCRIPTION] => Воронежская область справится со всеми вызовами - Главные новости Воронежа и области ) [RES_MOD] => Array ( [TITLE] => Воронежская область справится со всеми вызовами [SECTIONS] => Array ( [269] => Array ( [ID] => 269 [~ID] => 269 [IBLOCK_ELEMENT_ID] => 249506 [~IBLOCK_ELEMENT_ID] => 249506 [NAME] => Общество [~NAME] => Общество [IBLOCK_ID] => 52 [~IBLOCK_ID] => 52 [SECTION_PAGE_URL] => /obshchestvo/ [~SECTION_PAGE_URL] => /obshchestvo/ [CODE] => obshchestvo [~CODE] => obshchestvo [EXTERNAL_ID] => 142 [~EXTERNAL_ID] => 142 [IBLOCK_TYPE_ID] => news [~IBLOCK_TYPE_ID] => news [IBLOCK_CODE] => novosti [~IBLOCK_CODE] => novosti [IBLOCK_EXTERNAL_ID] => 29 [~IBLOCK_EXTERNAL_ID] => 29 [GLOBAL_ACTIVE] => Y [~GLOBAL_ACTIVE] => Y ) ) [IS_ADV] => [CONTROL_ID] => bx_4182259225_249506 [CNT_LIKES] => 0 [ACTIVE_FROM_TITLE] => 12.05.2023 12:14:35 ) )
Воронежская область…
Воронежская область справится со всеми вызовами
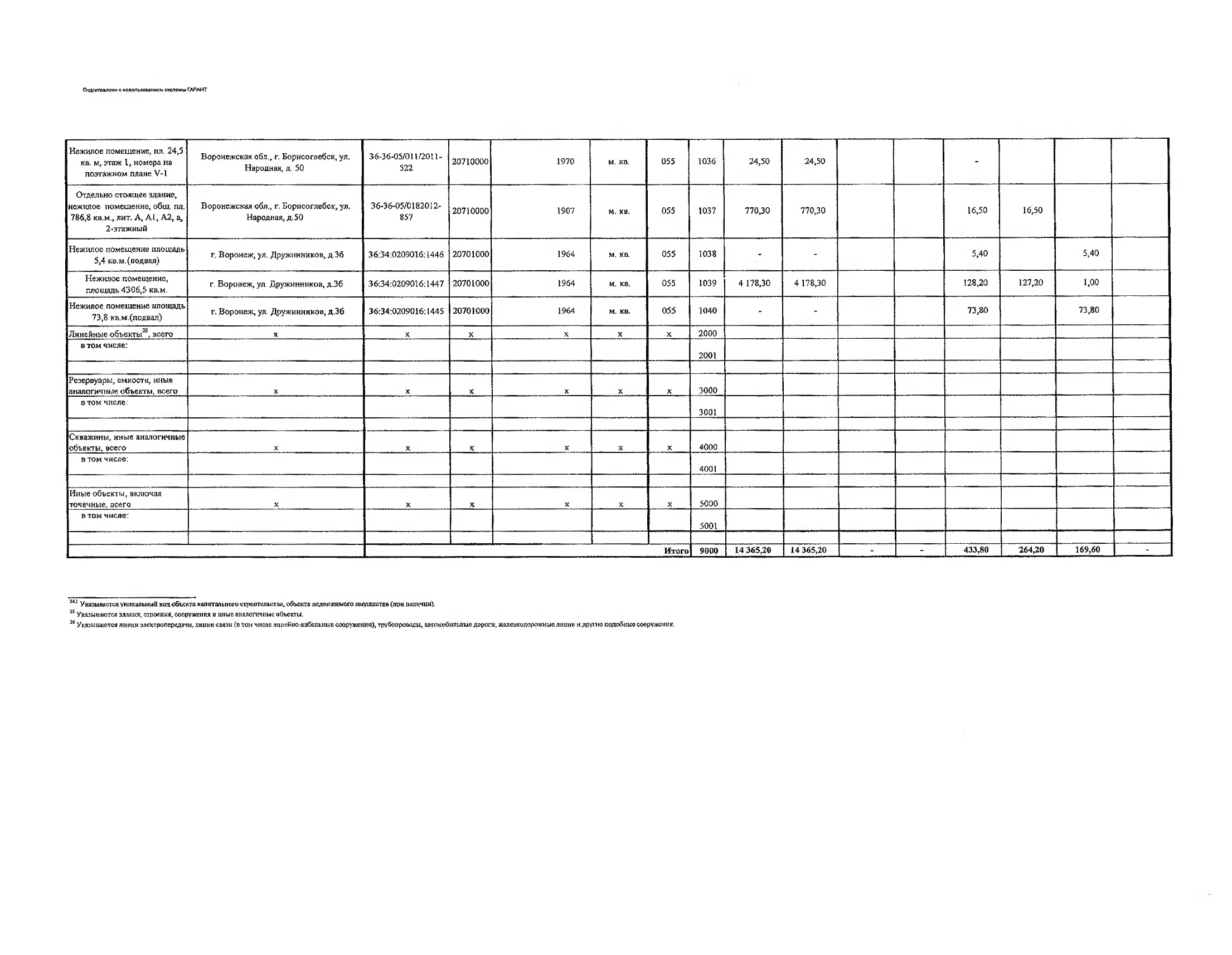
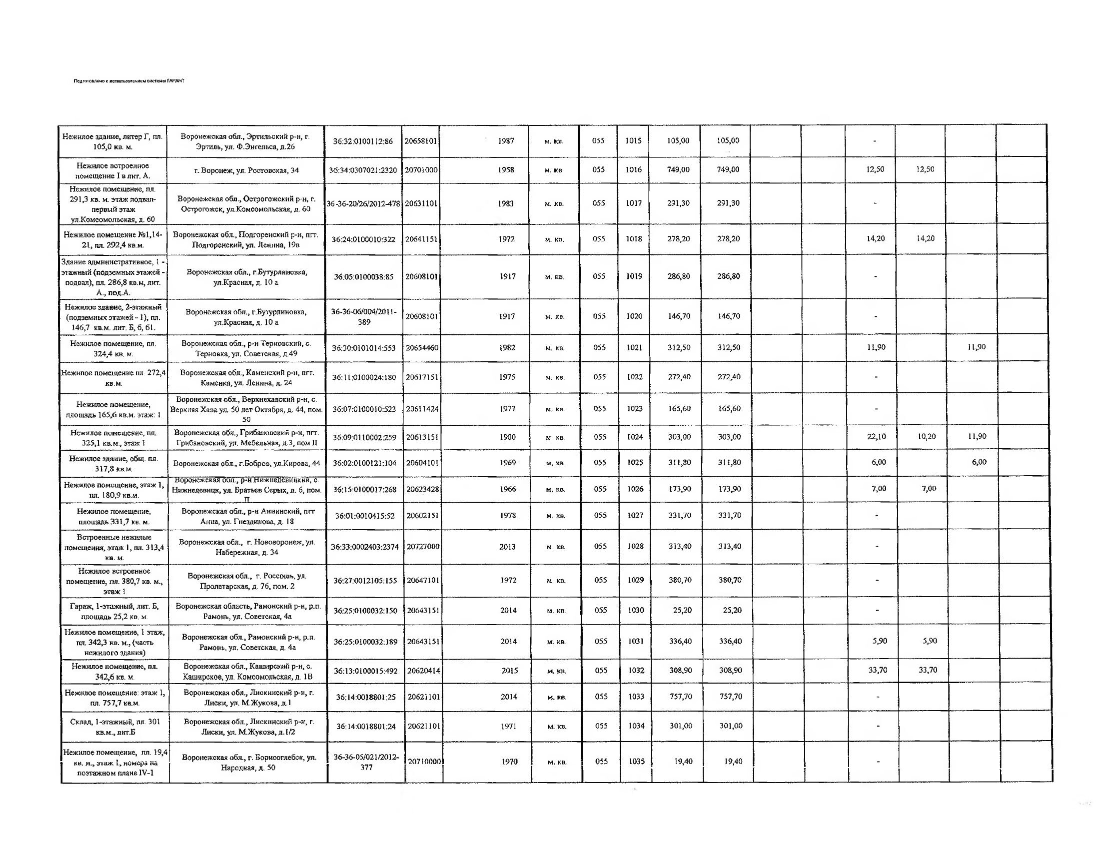
Array ( [ID] => 172963 [TIMESTAMP_X] => Bitrix\Main\Type\DateTime Object ( [value:protected] => DateTime Object ( [date] => 2023-05-11 15:09:16.000000 [timezone_type] => 3 [timezone] => UTC ) ) [MODULE_ID] => iblock [HEIGHT] => 1734 [WIDTH] => 2226 [FILE_SIZE] => 321078 [CONTENT_TYPE] => image/png [SUBDIR] => iblock/27c [FILE_NAME] => otchet_MFZ_2022_Часть1.png [ORIGINAL_NAME] => otchet_MFZ_2022_Часть1.png [DESCRIPTION] => [HANDLER_ID] => [EXTERNAL_ID] => 3db3e0fdbff0c5892ce34fd1ace78e2a [~src] => [SRC] => /upload/resize_cache/iblock/27c/285_285_0/otchet_MFZ_2022_Часть1.png [UNSAFE_SRC] => /upload/iblock/27c/otchet_MFZ_2022_Часть1.png [SAFE_SRC] => /upload/iblock/27c/otchet_MFZ_2022_%D0%A7%D0%B0%D1%81%D1%82%D1%8C1.png [ALT] => Отчёт о результатах деятельности автономного учреждения Воронежской области «Многофункциональный центр предоставления государственных и муниципальных услуг» и об использовании закреплённого за ним государственного (муниципального) имущества [TITLE] => Новости ) Array ( [DETAIL_PICTURE] => [~DETAIL_PICTURE] => [SHOW_COUNTER] => 1517 [~SHOW_COUNTER] => 1517 [ID] => 249511 [~ID] => 249511 [IBLOCK_ID] => 52 [~IBLOCK_ID] => 52 [IBLOCK_SECTION_ID] => 269 [~IBLOCK_SECTION_ID] => 269 [NAME] => Отчёт о результатах… [~NAME] => Отчёт о результатах деятельности автономного учреждения Воронежской области «Многофункциональный центр предоставления государственных и муниципальных услуг» и об использовании закреплённого за ним государственного (муниципального) имущества [ACTIVE_FROM] => 11.05.2023 20:06:22 [~ACTIVE_FROM] => 11.05.2023 20:06:22 [TIMESTAMP_X] => 11.05.2023 21:09:16 [~TIMESTAMP_X] => 11.05.2023 21:09:16 [DETAIL_PAGE_URL] => /obshchestvo/otchyet-o-rezultatakh-deyatelnosti-avtonomnogo-uchrezhdeniya-voronezhskoy-oblasti-mnogofunktsionalny/ [~DETAIL_PAGE_URL] => /obshchestvo/otchyet-o-rezultatakh-deyatelnosti-avtonomnogo-uchrezhdeniya-voronezhskoy-oblasti-mnogofunktsionalny/ [LIST_PAGE_URL] => /novosti/ [~LIST_PAGE_URL] => /novosti/ [DETAIL_TEXT] => Ознакомиться с документом можно по ссылке.

otchet_MFZ_2022_Часть1.png
otchet_MFZ_2022_Часть2.png
otchet_MFZ_2022_Часть3.png
otchet_MFZ_2022_Часть4.png
otchet_MFZ_2022_Часть5.png
otchet_MFZ_2022_Часть6.png
otchet_MFZ_2022_Часть7.png
otchet_MFZ_2022_Часть8.png
otchet_MFZ_2022_Часть9.png
otchet_MFZ_2022_Часть10.png
otchet_MFZ_2022_Часть11.png
otchet_MFZ_2022_Часть12.png
otchet_MFZ_2022_Часть13.png
otchet_MFZ_2022_Часть14.png
otchet_MFZ_2022_Часть15.png
otchet_MFZ_2022_Часть16.png
otchet_MFZ_2022_Часть17.png
otchet_MFZ_2022_Часть18.png
otchet_MFZ_2022_Часть19.png
otchet_MFZ_2022_Часть20.png
otchet_MFZ_2022_Часть21.png
otchet_MFZ_2022_Часть22.png
otchet_MFZ_2022_Часть23.png
otchet_MFZ_2022_Часть24.png
otchet_MFZ_2022_Часть25.png
otchet_MFZ_2022_Часть26.png
otchet_MFZ_2022_Часть27.png
otchet_MFZ_2022_Часть28.png
otchet_MFZ_2022_Часть29.png
otchet_MFZ_2022_Часть30.png
otchet_MFZ_2022_Часть31.png
otchet_MFZ_2022_Часть32.png
otchet_MFZ_2022_Часть33.png
otchet_MFZ_2022_Часть34.png
otchet_MFZ_2022_Часть35.png
otchet_MFZ_2022_Часть36.png
otchet_MFZ_2022_Часть37.png
otchet_MFZ_2022_Часть38.png
otchet_MFZ_2022_Часть39.png
otchet_MFZ_2022_Часть40.png
otchet_MFZ_2022_Часть41.pngotchet_MFZ_2022_Часть42.png
otchet_MFZ_2022_Часть43.png
otchet_MFZ_2022_Часть44.png
otchet_MFZ_2022_Часть45.png
otchet_MFZ_2022_Часть46.png
otchet_MFZ_2022_Часть47.png
otchet_MFZ_2022_Часть48.png
otchet_MFZ_2022_Часть49.png
otchet_MFZ_2022_Часть50.png
otchet_MFZ_2022_Часть51.png
otchet_MFZ_2022_Часть52.png
otchet_MFZ_2022_Часть53.png
otchet_MFZ_2022_Часть54.png
otchet_MFZ_2022_Часть55.png
otchet_MFZ_2022_Часть56.png
[~DETAIL_TEXT] => Ознакомиться с документом можно по ссылке.

otchet_MFZ_2022_Часть1.png
otchet_MFZ_2022_Часть2.png
otchet_MFZ_2022_Часть3.png
otchet_MFZ_2022_Часть4.png
otchet_MFZ_2022_Часть5.png
otchet_MFZ_2022_Часть6.png
otchet_MFZ_2022_Часть7.png
otchet_MFZ_2022_Часть8.png
otchet_MFZ_2022_Часть9.png
otchet_MFZ_2022_Часть10.png
otchet_MFZ_2022_Часть11.png
otchet_MFZ_2022_Часть12.png
otchet_MFZ_2022_Часть13.png
otchet_MFZ_2022_Часть14.png
otchet_MFZ_2022_Часть15.png
otchet_MFZ_2022_Часть16.png
otchet_MFZ_2022_Часть17.png
otchet_MFZ_2022_Часть18.png
otchet_MFZ_2022_Часть19.png
otchet_MFZ_2022_Часть20.png
otchet_MFZ_2022_Часть21.png
otchet_MFZ_2022_Часть22.png
otchet_MFZ_2022_Часть23.png
otchet_MFZ_2022_Часть24.png
otchet_MFZ_2022_Часть25.png
otchet_MFZ_2022_Часть26.png
otchet_MFZ_2022_Часть27.png
otchet_MFZ_2022_Часть28.png
otchet_MFZ_2022_Часть29.png
otchet_MFZ_2022_Часть30.png
otchet_MFZ_2022_Часть31.png
otchet_MFZ_2022_Часть32.png
otchet_MFZ_2022_Часть33.png
otchet_MFZ_2022_Часть34.png
otchet_MFZ_2022_Часть35.png
otchet_MFZ_2022_Часть36.png
otchet_MFZ_2022_Часть37.png
otchet_MFZ_2022_Часть38.png
otchet_MFZ_2022_Часть39.png
otchet_MFZ_2022_Часть40.png
otchet_MFZ_2022_Часть41.pngotchet_MFZ_2022_Часть42.png
otchet_MFZ_2022_Часть43.png
otchet_MFZ_2022_Часть44.png
otchet_MFZ_2022_Часть45.png
otchet_MFZ_2022_Часть46.png
otchet_MFZ_2022_Часть47.png
otchet_MFZ_2022_Часть48.png
otchet_MFZ_2022_Часть49.png
otchet_MFZ_2022_Часть50.png
otchet_MFZ_2022_Часть51.png
otchet_MFZ_2022_Часть52.png
otchet_MFZ_2022_Часть53.png
otchet_MFZ_2022_Часть54.png
otchet_MFZ_2022_Часть55.png
otchet_MFZ_2022_Часть56.png
[DETAIL_TEXT_TYPE] => html [~DETAIL_TEXT_TYPE] => html [PREVIEW_TEXT] => [~PREVIEW_TEXT] => [PREVIEW_TEXT_TYPE] => text [~PREVIEW_TEXT_TYPE] => text [PREVIEW_PICTURE] => Array ( [ID] => 172963 [TIMESTAMP_X] => Bitrix\Main\Type\DateTime Object ( [value:protected] => DateTime Object ( [date] => 2023-05-11 15:09:16.000000 [timezone_type] => 3 [timezone] => UTC ) ) [MODULE_ID] => iblock [HEIGHT] => 1734 [WIDTH] => 2226 [FILE_SIZE] => 321078 [CONTENT_TYPE] => image/png [SUBDIR] => iblock/27c [FILE_NAME] => otchet_MFZ_2022_Часть1.png [ORIGINAL_NAME] => otchet_MFZ_2022_Часть1.png [DESCRIPTION] => [HANDLER_ID] => [EXTERNAL_ID] => 3db3e0fdbff0c5892ce34fd1ace78e2a [~src] => [SRC] => /upload/iblock/27c/otchet_MFZ_2022_%D0%A7%D0%B0%D1%81%D1%82%D1%8C1.png [UNSAFE_SRC] => /upload/iblock/27c/otchet_MFZ_2022_Часть1.png [SAFE_SRC] => /upload/iblock/27c/otchet_MFZ_2022_%D0%A7%D0%B0%D1%81%D1%82%D1%8C1.png [ALT] => Отчёт о результатах деятельности автономного учреждения Воронежской области «Многофункциональный центр предоставления государственных и муниципальных услуг» и об использовании закреплённого за ним государственного (муниципального) имущества [TITLE] => Новости ) [~PREVIEW_PICTURE] => 172963 [LANG_DIR] => / [~LANG_DIR] => / [SORT] => 500 [~SORT] => 500 [CODE] => otchyet-o-rezultatakh-deyatelnosti-avtonomnogo-uchrezhdeniya-voronezhskoy-oblasti-mnogofunktsionalny [~CODE] => otchyet-o-rezultatakh-deyatelnosti-avtonomnogo-uchrezhdeniya-voronezhskoy-oblasti-mnogofunktsionalny [EXTERNAL_ID] => 249511 [~EXTERNAL_ID] => 249511 [IBLOCK_TYPE_ID] => news [~IBLOCK_TYPE_ID] => news [IBLOCK_CODE] => novosti [~IBLOCK_CODE] => novosti [IBLOCK_EXTERNAL_ID] => 29 [~IBLOCK_EXTERNAL_ID] => 29 [LID] => ru [~LID] => ru [EDIT_LINK] => [DELETE_LINK] => [DISPLAY_ACTIVE_FROM] => 11.05.2023 20:06 [FIELDS] => Array ( [DETAIL_PICTURE] => [SHOW_COUNTER] => 1517 ) [PROPERTIES] => Array ( [REGION_ID] => Array ( [ID] => 279 [TIMESTAMP_X] => 2018-12-06 06:37:30 [IBLOCK_ID] => 52 [NAME] => Регион [ACTIVE] => Y [SORT] => 40 [CODE] => REGION_ID [DEFAULT_VALUE] => [PROPERTY_TYPE] => E [ROW_COUNT] => 1 [COL_COUNT] => 30 [LIST_TYPE] => L [MULTIPLE] => Y [XML_ID] => [FILE_TYPE] => [MULTIPLE_CNT] => 5 [TMP_ID] => [LINK_IBLOCK_ID] => 37 [WITH_DESCRIPTION] => N [SEARCHABLE] => N [FILTRABLE] => N [VERSION] => 1 [USER_TYPE] => [IS_REQUIRED] => N [USER_TYPE_SETTINGS] => [HINT] => [PROPERTY_VALUE_ID] => [VALUE] => [DESCRIPTION] => [VALUE_ENUM] => [VALUE_XML_ID] => [VALUE_SORT] => [~VALUE] => [~DESCRIPTION] => [~NAME] => Регион [~DEFAULT_VALUE] => ) [AUTHOR_ID] => Array ( [ID] => 280 [TIMESTAMP_X] => 2018-12-06 06:37:30 [IBLOCK_ID] => 52 [NAME] => Автор [ACTIVE] => Y [SORT] => 50 [CODE] => AUTHOR_ID [DEFAULT_VALUE] => [PROPERTY_TYPE] => E [ROW_COUNT] => 1 [COL_COUNT] => 30 [LIST_TYPE] => L [MULTIPLE] => Y [XML_ID] => [FILE_TYPE] => [MULTIPLE_CNT] => 5 [TMP_ID] => [LINK_IBLOCK_ID] => 36 [WITH_DESCRIPTION] => N [SEARCHABLE] => N [FILTRABLE] => N [VERSION] => 1 [USER_TYPE] => [IS_REQUIRED] => N [USER_TYPE_SETTINGS] => [HINT] => [PROPERTY_VALUE_ID] => [VALUE] => [DESCRIPTION] => [VALUE_ENUM] => [VALUE_XML_ID] => [VALUE_SORT] => [~VALUE] => [~DESCRIPTION] => [~NAME] => Автор [~DEFAULT_VALUE] => ) [SIGN] => Array ( [ID] => 281 [TIMESTAMP_X] => 2018-12-06 06:37:30 [IBLOCK_ID] => 52 [NAME] => Подпись [ACTIVE] => Y [SORT] => 55 [CODE] => SIGN [DEFAULT_VALUE] => [PROPERTY_TYPE] => S [ROW_COUNT] => 1 [COL_COUNT] => 30 [LIST_TYPE] => L [MULTIPLE] => N [XML_ID] => [FILE_TYPE] => [MULTIPLE_CNT] => 5 [TMP_ID] => [LINK_IBLOCK_ID] => 0 [WITH_DESCRIPTION] => N [SEARCHABLE] => N [FILTRABLE] => N [VERSION] => 1 [USER_TYPE] => [IS_REQUIRED] => N [USER_TYPE_SETTINGS] => [HINT] => [PROPERTY_VALUE_ID] => [VALUE] => [DESCRIPTION] => [VALUE_ENUM] => [VALUE_XML_ID] => [VALUE_SORT] => [~VALUE] => [~DESCRIPTION] => [~NAME] => Подпись [~DEFAULT_VALUE] => ) [FORYANDEX] => Array ( [ID] => 278 [TIMESTAMP_X] => 2018-12-06 06:37:30 [IBLOCK_ID] => 52 [NAME] => Экспорт для Яндекса [ACTIVE] => Y [SORT] => 90 [CODE] => FORYANDEX [DEFAULT_VALUE] => Нет [PROPERTY_TYPE] => L [ROW_COUNT] => 1 [COL_COUNT] => 30 [LIST_TYPE] => C [MULTIPLE] => N [XML_ID] => 220 [FILE_TYPE] => jpg, gif, bmp, png, jpeg [MULTIPLE_CNT] => 5 [TMP_ID] => [LINK_IBLOCK_ID] => 0 [WITH_DESCRIPTION] => N [SEARCHABLE] => N [FILTRABLE] => N [VERSION] => 1 [USER_TYPE] => [IS_REQUIRED] => N [USER_TYPE_SETTINGS] => [HINT] => [PROPERTY_VALUE_ID] => 167248 [VALUE] => Да [DESCRIPTION] => [VALUE_ENUM] => Да [VALUE_XML_ID] => Y [VALUE_SORT] => 500 [VALUE_ENUM_ID] => 85 [~VALUE] => Да [~DESCRIPTION] => [~NAME] => Экспорт для Яндекса [~DEFAULT_VALUE] => Нет ) [IS_MAIN] => Array ( [ID] => 282 [TIMESTAMP_X] => 2018-12-14 14:39:11 [IBLOCK_ID] => 52 [NAME] => Самая главная [ACTIVE] => Y [SORT] => 100 [CODE] => IS_MAIN [DEFAULT_VALUE] => [PROPERTY_TYPE] => L [ROW_COUNT] => 1 [COL_COUNT] => 30 [LIST_TYPE] => C [MULTIPLE] => N [XML_ID] => [FILE_TYPE] => [MULTIPLE_CNT] => 5 [TMP_ID] => [LINK_IBLOCK_ID] => 0 [WITH_DESCRIPTION] => N [SEARCHABLE] => N [FILTRABLE] => N [VERSION] => 1 [USER_TYPE] => [IS_REQUIRED] => N [USER_TYPE_SETTINGS] => [HINT] => [PROPERTY_VALUE_ID] => [VALUE] => [DESCRIPTION] => [VALUE_ENUM] => [VALUE_XML_ID] => [VALUE_SORT] => [VALUE_ENUM_ID] => [~VALUE] => [~DESCRIPTION] => [~NAME] => Самая главная [~DEFAULT_VALUE] => ) [IS_IMPORTANT] => Array ( [ID] => 283 [TIMESTAMP_X] => 2018-12-14 14:39:11 [IBLOCK_ID] => 52 [NAME] => Важная [ACTIVE] => Y [SORT] => 150 [CODE] => IS_IMPORTANT [DEFAULT_VALUE] => [PROPERTY_TYPE] => L [ROW_COUNT] => 1 [COL_COUNT] => 30 [LIST_TYPE] => C [MULTIPLE] => N [XML_ID] => [FILE_TYPE] => [MULTIPLE_CNT] => 5 [TMP_ID] => [LINK_IBLOCK_ID] => 0 [WITH_DESCRIPTION] => N [SEARCHABLE] => N [FILTRABLE] => N [VERSION] => 1 [USER_TYPE] => [IS_REQUIRED] => N [USER_TYPE_SETTINGS] => [HINT] => [PROPERTY_VALUE_ID] => 167249 [VALUE] => Y [DESCRIPTION] => [VALUE_ENUM] => Y [VALUE_XML_ID] => Y [VALUE_SORT] => 500 [VALUE_ENUM_ID] => 87 [~VALUE] => Y [~DESCRIPTION] => [~NAME] => Важная [~DEFAULT_VALUE] => ) [WITH_WATERMARK] => Array ( [ID] => 290 [TIMESTAMP_X] => 2018-12-18 09:33:44 [IBLOCK_ID] => 52 [NAME] => Все фото с водяным знаком [ACTIVE] => Y [SORT] => 200 [CODE] => WITH_WATERMARK [DEFAULT_VALUE] => [PROPERTY_TYPE] => L [ROW_COUNT] => 1 [COL_COUNT] => 30 [LIST_TYPE] => C [MULTIPLE] => N [XML_ID] => [FILE_TYPE] => [MULTIPLE_CNT] => 5 [TMP_ID] => [LINK_IBLOCK_ID] => 0 [WITH_DESCRIPTION] => N [SEARCHABLE] => N [FILTRABLE] => N [VERSION] => 1 [USER_TYPE] => [IS_REQUIRED] => N [USER_TYPE_SETTINGS] => [HINT] => [PROPERTY_VALUE_ID] => [VALUE] => [DESCRIPTION] => [VALUE_ENUM] => [VALUE_XML_ID] => [VALUE_SORT] => [VALUE_ENUM_ID] => [~VALUE] => [~DESCRIPTION] => [~NAME] => Все фото с водяным знаком [~DEFAULT_VALUE] => ) [MORE_PHOTO] => Array ( [ID] => 284 [TIMESTAMP_X] => 2018-12-06 06:38:44 [IBLOCK_ID] => 52 [NAME] => Фото [ACTIVE] => Y [SORT] => 250 [CODE] => MORE_PHOTO [DEFAULT_VALUE] => [PROPERTY_TYPE] => F [ROW_COUNT] => 1 [COL_COUNT] => 30 [LIST_TYPE] => L [MULTIPLE] => Y [XML_ID] => [FILE_TYPE] => jpg, gif, bmp, png, jpeg [MULTIPLE_CNT] => 5 [TMP_ID] => [LINK_IBLOCK_ID] => 0 [WITH_DESCRIPTION] => N [SEARCHABLE] => N [FILTRABLE] => N [VERSION] => 1 [USER_TYPE] => [IS_REQUIRED] => N [USER_TYPE_SETTINGS] => [HINT] => [PROPERTY_VALUE_ID] => [VALUE] => [DESCRIPTION] => [VALUE_ENUM] => [VALUE_XML_ID] => [VALUE_SORT] => [~VALUE] => [~DESCRIPTION] => [~NAME] => Фото [~DEFAULT_VALUE] => ) [TEXT] => Array ( [ID] => 285 [TIMESTAMP_X] => 2018-12-06 06:38:44 [IBLOCK_ID] => 52 [NAME] => Абзацы [ACTIVE] => Y [SORT] => 300 [CODE] => TEXT [DEFAULT_VALUE] => Array ( [TEXT] => [TYPE] => HTML ) [PROPERTY_TYPE] => S [ROW_COUNT] => 1 [COL_COUNT] => 30 [LIST_TYPE] => L [MULTIPLE] => Y [XML_ID] => [FILE_TYPE] => [MULTIPLE_CNT] => 5 [TMP_ID] => [LINK_IBLOCK_ID] => 0 [WITH_DESCRIPTION] => N [SEARCHABLE] => N [FILTRABLE] => N [VERSION] => 1 [USER_TYPE] => ISWIN_HTML [IS_REQUIRED] => N [USER_TYPE_SETTINGS] => Array ( [height] => 200 ) [HINT] => [PROPERTY_VALUE_ID] => [VALUE] => [DESCRIPTION] => [VALUE_ENUM] => [VALUE_XML_ID] => [VALUE_SORT] => [~VALUE] => [~DESCRIPTION] => [~NAME] => Абзацы [~DEFAULT_VALUE] => Array ( [TEXT] => [TYPE] => HTML ) ) [CNT_LIKES] => Array ( [ID] => 286 [TIMESTAMP_X] => 2018-12-06 06:38:44 [IBLOCK_ID] => 52 [NAME] => Кол-во "Нравится" [ACTIVE] => Y [SORT] => 1000 [CODE] => CNT_LIKES [DEFAULT_VALUE] => [PROPERTY_TYPE] => N [ROW_COUNT] => 1 [COL_COUNT] => 30 [LIST_TYPE] => L [MULTIPLE] => N [XML_ID] => [FILE_TYPE] => [MULTIPLE_CNT] => 5 [TMP_ID] => [LINK_IBLOCK_ID] => 0 [WITH_DESCRIPTION] => N [SEARCHABLE] => N [FILTRABLE] => N [VERSION] => 1 [USER_TYPE] => [IS_REQUIRED] => N [USER_TYPE_SETTINGS] => [HINT] => [PROPERTY_VALUE_ID] => 167251 [VALUE] => 1 [DESCRIPTION] => [VALUE_ENUM] => [VALUE_XML_ID] => [VALUE_SORT] => [~VALUE] => 1 [~DESCRIPTION] => [~NAME] => Кол-во "Нравится" [~DEFAULT_VALUE] => ) [CNT_DISLIKES] => Array ( [ID] => 287 [TIMESTAMP_X] => 2018-12-06 06:38:44 [IBLOCK_ID] => 52 [NAME] => Кол-во "Не нравится" [ACTIVE] => Y [SORT] => 1001 [CODE] => CNT_DISLIKES [DEFAULT_VALUE] => [PROPERTY_TYPE] => N [ROW_COUNT] => 1 [COL_COUNT] => 30 [LIST_TYPE] => L [MULTIPLE] => N [XML_ID] => [FILE_TYPE] => [MULTIPLE_CNT] => 5 [TMP_ID] => [LINK_IBLOCK_ID] => 0 [WITH_DESCRIPTION] => N [SEARCHABLE] => N [FILTRABLE] => N [VERSION] => 1 [USER_TYPE] => [IS_REQUIRED] => N [USER_TYPE_SETTINGS] => [HINT] => [PROPERTY_VALUE_ID] => 167247 [VALUE] => 0 [DESCRIPTION] => [VALUE_ENUM] => [VALUE_XML_ID] => [VALUE_SORT] => [~VALUE] => 0 [~DESCRIPTION] => [~NAME] => Кол-во "Не нравится" [~DEFAULT_VALUE] => ) ) [DISPLAY_PROPERTIES] => Array ( [CNT_LIKES] => Array ( [ID] => 286 [TIMESTAMP_X] => 2018-12-06 06:38:44 [IBLOCK_ID] => 52 [NAME] => Кол-во "Нравится" [ACTIVE] => Y [SORT] => 1000 [CODE] => CNT_LIKES [DEFAULT_VALUE] => [PROPERTY_TYPE] => N [ROW_COUNT] => 1 [COL_COUNT] => 30 [LIST_TYPE] => L [MULTIPLE] => N [XML_ID] => [FILE_TYPE] => [MULTIPLE_CNT] => 5 [TMP_ID] => [LINK_IBLOCK_ID] => 0 [WITH_DESCRIPTION] => N [SEARCHABLE] => N [FILTRABLE] => N [VERSION] => 1 [USER_TYPE] => [IS_REQUIRED] => N [USER_TYPE_SETTINGS] => [HINT] => [PROPERTY_VALUE_ID] => 167251 [VALUE] => 1 [DESCRIPTION] => [VALUE_ENUM] => [VALUE_XML_ID] => [VALUE_SORT] => [~VALUE] => 1 [~DESCRIPTION] => [~NAME] => Кол-во "Нравится" [~DEFAULT_VALUE] => [DISPLAY_VALUE] => 1 ) ) [IPROPERTY_VALUES] => Array ( [ELEMENT_META_TITLE] => Отчёт о результатах деятельности автономного учреждения Воронежской области «Многофункциональный центр предоставления государственных и муниципальных услуг» и об использовании закреплённого за ним государственного (муниципального) имущества [ELEMENT_META_DESCRIPTION] => [ELEMENT_PREVIEW_PICTURE_FILE_ALT] => [ELEMENT_PREVIEW_PICTURE_FILE_TITLE] => Новости [SECTION_META_TITLE] => Отчёт о результатах деятельности автономного учреждения Воронежской области «Многофункциональный центр предоставления государственных и муниципальных услуг» и об использовании закреплённого за ним государственного (муниципального) имущества [SECTION_META_DESCRIPTION] => Отчёт о результатах деятельности автономного учреждения Воронежской области «Многофункциональный центр предоставления государственных и муниципальных услуг» и об использовании закреплённого за ним государственного (муниципального) имущества - Главные новости Воронежа и области ) [RES_MOD] => Array ( [TITLE] => Отчёт о результатах деятельности автономного учреждения Воронежской области «Многофункциональный центр предоставления государственных и муниципальных услуг» и об использовании закреплённого за ним государственного (муниципального) имущества [SECTIONS] => Array ( [269] => Array ( [ID] => 269 [~ID] => 269 [IBLOCK_ELEMENT_ID] => 249511 [~IBLOCK_ELEMENT_ID] => 249511 [NAME] => Общество [~NAME] => Общество [IBLOCK_ID] => 52 [~IBLOCK_ID] => 52 [SECTION_PAGE_URL] => /obshchestvo/ [~SECTION_PAGE_URL] => /obshchestvo/ [CODE] => obshchestvo [~CODE] => obshchestvo [EXTERNAL_ID] => 142 [~EXTERNAL_ID] => 142 [IBLOCK_TYPE_ID] => news [~IBLOCK_TYPE_ID] => news [IBLOCK_CODE] => novosti [~IBLOCK_CODE] => novosti [IBLOCK_EXTERNAL_ID] => 29 [~IBLOCK_EXTERNAL_ID] => 29 [GLOBAL_ACTIVE] => Y [~GLOBAL_ACTIVE] => Y ) ) [IS_ADV] => [CONTROL_ID] => bx_4182259225_249511 [CNT_LIKES] => 1 [ACTIVE_FROM_TITLE] => 11.05.2023 20:06:22 ) )
Отчёт о результатах…
Отчёт о результатах деятельности автономного учреждения Воронежской области «Многофункциональный центр предоставления государственных и муниципальных услуг» и об использовании закреплённого за ним государственного (муниципального) имущества
Array ( [ID] => 172904 [TIMESTAMP_X] => Bitrix\Main\Type\DateTime Object ( [value:protected] => DateTime Object ( [date] => 2023-05-10 14:07:36.000000 [timezone_type] => 3 [timezone] => UTC ) ) [MODULE_ID] => iblock [HEIGHT] => 1199 [WIDTH] => 1800 [FILE_SIZE] => 284981 [CONTENT_TYPE] => image/jpeg [SUBDIR] => iblock/0fe [FILE_NAME] => zn3m44e5x2mxjacn416n77ulkje2gpz0.jpg [ORIGINAL_NAME] => zn3m44e5x2mxjacn416n77ulkje2gpz0.jpg [DESCRIPTION] => [HANDLER_ID] => [EXTERNAL_ID] => 90ad48eeabddc5d80b888a80fb496570 [~src] => [SRC] => /upload/resize_cache/iblock/0fe/285_285_0/zn3m44e5x2mxjacn416n77ulkje2gpz0.jpg [UNSAFE_SRC] => /upload/iblock/0fe/zn3m44e5x2mxjacn416n77ulkje2gpz0.jpg [SAFE_SRC] => /upload/iblock/0fe/zn3m44e5x2mxjacn416n77ulkje2gpz0.jpg [ALT] => Владимир Нетёсов: «Ветеранам Великой Отечественной войны – особое внимание и поддержка» [TITLE] => Новости ) Array ( [DETAIL_PICTURE] => [~DETAIL_PICTURE] => [SHOW_COUNTER] => 1084 [~SHOW_COUNTER] => 1084 [ID] => 249509 [~ID] => 249509 [IBLOCK_ID] => 52 [~IBLOCK_ID] => 52 [IBLOCK_SECTION_ID] => 269 [~IBLOCK_SECTION_ID] => 269 [NAME] => Владимир Нетёсов:… [~NAME] => Владимир Нетёсов: «Ветеранам Великой Отечественной войны – особое внимание и поддержка» [ACTIVE_FROM] => 10.05.2023 20:02:24 [~ACTIVE_FROM] => 10.05.2023 20:02:24 [TIMESTAMP_X] => 10.05.2023 20:07:36 [~TIMESTAMP_X] => 10.05.2023 20:07:36 [DETAIL_PAGE_URL] => /obshchestvo/vladimir-netyesov-veteranam-velikoy-otechestvennoy-voyny-osoboe-vnimanie-i-podderzhka/ [~DETAIL_PAGE_URL] => /obshchestvo/vladimir-netyesov-veteranam-velikoy-otechestvennoy-voyny-osoboe-vnimanie-i-podderzhka/ [LIST_PAGE_URL] => /novosti/ [~LIST_PAGE_URL] => /novosti/ [DETAIL_TEXT] => Как отметил председатель Воронежской областной Думы Владимир Нетёсов, депутаты регионального парламента ежегодно принимают активное участие в различных акциях и мероприятиях, посвященных Дню Победы.

– Особое внимание, конечно же, нашим ветеранам – депутаты лично поздравляют фронтовиков, помогают благоустроить придомовые территории, решить бытовые вопросы. Кроме того, парламентарии активно участвуют в мероприятиях и акциях, посвященных Дню Победы, сохранению истории о подвиге нашего народа. Это приведение в порядок мемориалов, памятников и братских могил, организация патриотических мероприятий в учебных заведениях, организация концертов и вечеров встреч, – рассказал Владимир Нетёсов.

yxdzwd0g1xucp2garucph959hkjuyyej.jpg

Депутаты Воронежской областной Думы приняли участие в благоустройстве захоронений и мемориалов воинам, павшим в годы Великой Отечественной войны. Вместе с активистами регионального отделения «Единой России» и Молодой гвардии, Волонтерами Победы провели уборку территорий у братских могил. Благоустроили и знаковое место для воронежцев – Чижовский плацдарм. Этот мемориал – одно из крупнейших братских захоронений в городе. Здесь покоятся останки более пятнадцати тысяч солдат и офицеров.
Председатель Комитета Воронежской облдумы по труду и социальной защите населения Людмила Ипполитова и зампредседателя Комитета по ЖКХ, энергетике и тарифам Марина Андрейчук вместе со школьниками, волонтерами и активистами общественных организаций очистили плиты от пыли, убрали клумбы, освежили газоны. Эти ежегодные акции – часть проекта «Историческая память» и марафона «Наша Победа». В Воронежской области они объединил более 30 тысяч участников.

udmm1aies4gph0q3d1oyabcjr5ah6h4q.jpg

Председатель думского Комитета по охране здоровья Иван Мошуров вместе со школьниками высадил деревья на Аллее Героев в микрорайоне Подгорное в память о погибших земляках – участниках Великой Отечественной войны. Идея увековечить имена павших и посадить в честь каждого дерево родилась 3 года назад у педагогов и учеников местной школы. Решили, что это будут липы, рябины и декоративные клены. Иван Мошуров участвует в этой патриотической акции каждый год.

g7qzn4j1tmlzq1djiyi9oa17xjvff389.jpeg

Председатель Комитета Воронежской областной Думы по культуре Елена Губина вместе с волонтерами и активистами проекта «Старшее поколение» посетила Новоусманский дом-интернат для престарелых и инвалидов. Здесь они провели субботник и высадили на главной клумбе более ста саженцев однолетних и многолетних растений. Подобные акции ежегодно проводятся депутатами на территории домов-интернатов для пожилых.

xkztz2jpxu06wmzv28r9an1g6vhbof5p.jpg

По традиции, депутаты навестили фронтовиков, чтобы поздравить с Днем Победы.


Фото: Воронежская областная Дума.
[~DETAIL_TEXT] => Как отметил председатель Воронежской областной Думы Владимир Нетёсов, депутаты регионального парламента ежегодно принимают активное участие в различных акциях и мероприятиях, посвященных Дню Победы.

– Особое внимание, конечно же, нашим ветеранам – депутаты лично поздравляют фронтовиков, помогают благоустроить придомовые территории, решить бытовые вопросы. Кроме того, парламентарии активно участвуют в мероприятиях и акциях, посвященных Дню Победы, сохранению истории о подвиге нашего народа. Это приведение в порядок мемориалов, памятников и братских могил, организация патриотических мероприятий в учебных заведениях, организация концертов и вечеров встреч, – рассказал Владимир Нетёсов.

yxdzwd0g1xucp2garucph959hkjuyyej.jpg

Депутаты Воронежской областной Думы приняли участие в благоустройстве захоронений и мемориалов воинам, павшим в годы Великой Отечественной войны. Вместе с активистами регионального отделения «Единой России» и Молодой гвардии, Волонтерами Победы провели уборку территорий у братских могил. Благоустроили и знаковое место для воронежцев – Чижовский плацдарм. Этот мемориал – одно из крупнейших братских захоронений в городе. Здесь покоятся останки более пятнадцати тысяч солдат и офицеров.
Председатель Комитета Воронежской облдумы по труду и социальной защите населения Людмила Ипполитова и зампредседателя Комитета по ЖКХ, энергетике и тарифам Марина Андрейчук вместе со школьниками, волонтерами и активистами общественных организаций очистили плиты от пыли, убрали клумбы, освежили газоны. Эти ежегодные акции – часть проекта «Историческая память» и марафона «Наша Победа». В Воронежской области они объединил более 30 тысяч участников.

udmm1aies4gph0q3d1oyabcjr5ah6h4q.jpg

Председатель думского Комитета по охране здоровья Иван Мошуров вместе со школьниками высадил деревья на Аллее Героев в микрорайоне Подгорное в память о погибших земляках – участниках Великой Отечественной войны. Идея увековечить имена павших и посадить в честь каждого дерево родилась 3 года назад у педагогов и учеников местной школы. Решили, что это будут липы, рябины и декоративные клены. Иван Мошуров участвует в этой патриотической акции каждый год.

g7qzn4j1tmlzq1djiyi9oa17xjvff389.jpeg

Председатель Комитета Воронежской областной Думы по культуре Елена Губина вместе с волонтерами и активистами проекта «Старшее поколение» посетила Новоусманский дом-интернат для престарелых и инвалидов. Здесь они провели субботник и высадили на главной клумбе более ста саженцев однолетних и многолетних растений. Подобные акции ежегодно проводятся депутатами на территории домов-интернатов для пожилых.

xkztz2jpxu06wmzv28r9an1g6vhbof5p.jpg

По традиции, депутаты навестили фронтовиков, чтобы поздравить с Днем Победы.


Фото: Воронежская областная Дума.
[DETAIL_TEXT_TYPE] => html [~DETAIL_TEXT_TYPE] => html [PREVIEW_TEXT] => [~PREVIEW_TEXT] => Депутаты Воронежской областной Думы приняли активное участие в мероприятиях, посвящённых Дню Победы, и лично поздравили фронтовиков [PREVIEW_TEXT_TYPE] => text [~PREVIEW_TEXT_TYPE] => text [PREVIEW_PICTURE] => Array ( [ID] => 172904 [TIMESTAMP_X] => Bitrix\Main\Type\DateTime Object ( [value:protected] => DateTime Object ( [date] => 2023-05-10 14:07:36.000000 [timezone_type] => 3 [timezone] => UTC ) ) [MODULE_ID] => iblock [HEIGHT] => 1199 [WIDTH] => 1800 [FILE_SIZE] => 284981 [CONTENT_TYPE] => image/jpeg [SUBDIR] => iblock/0fe [FILE_NAME] => zn3m44e5x2mxjacn416n77ulkje2gpz0.jpg [ORIGINAL_NAME] => zn3m44e5x2mxjacn416n77ulkje2gpz0.jpg [DESCRIPTION] => [HANDLER_ID] => [EXTERNAL_ID] => 90ad48eeabddc5d80b888a80fb496570 [~src] => [SRC] => /upload/iblock/0fe/zn3m44e5x2mxjacn416n77ulkje2gpz0.jpg [UNSAFE_SRC] => /upload/iblock/0fe/zn3m44e5x2mxjacn416n77ulkje2gpz0.jpg [SAFE_SRC] => /upload/iblock/0fe/zn3m44e5x2mxjacn416n77ulkje2gpz0.jpg [ALT] => Владимир Нетёсов: «Ветеранам Великой Отечественной войны – особое внимание и поддержка» [TITLE] => Новости ) [~PREVIEW_PICTURE] => 172904 [LANG_DIR] => / [~LANG_DIR] => / [SORT] => 500 [~SORT] => 500 [CODE] => vladimir-netyesov-veteranam-velikoy-otechestvennoy-voyny-osoboe-vnimanie-i-podderzhka [~CODE] => vladimir-netyesov-veteranam-velikoy-otechestvennoy-voyny-osoboe-vnimanie-i-podderzhka [EXTERNAL_ID] => 249509 [~EXTERNAL_ID] => 249509 [IBLOCK_TYPE_ID] => news [~IBLOCK_TYPE_ID] => news [IBLOCK_CODE] => novosti [~IBLOCK_CODE] => novosti [IBLOCK_EXTERNAL_ID] => 29 [~IBLOCK_EXTERNAL_ID] => 29 [LID] => ru [~LID] => ru [EDIT_LINK] => [DELETE_LINK] => [DISPLAY_ACTIVE_FROM] => 10.05.2023 20:02 [FIELDS] => Array ( [DETAIL_PICTURE] => [SHOW_COUNTER] => 1084 ) [PROPERTIES] => Array ( [REGION_ID] => Array ( [ID] => 279 [TIMESTAMP_X] => 2018-12-06 06:37:30 [IBLOCK_ID] => 52 [NAME] => Регион [ACTIVE] => Y [SORT] => 40 [CODE] => REGION_ID [DEFAULT_VALUE] => [PROPERTY_TYPE] => E [ROW_COUNT] => 1 [COL_COUNT] => 30 [LIST_TYPE] => L [MULTIPLE] => Y [XML_ID] => [FILE_TYPE] => [MULTIPLE_CNT] => 5 [TMP_ID] => [LINK_IBLOCK_ID] => 37 [WITH_DESCRIPTION] => N [SEARCHABLE] => N [FILTRABLE] => N [VERSION] => 1 [USER_TYPE] => [IS_REQUIRED] => N [USER_TYPE_SETTINGS] => [HINT] => [PROPERTY_VALUE_ID] => [VALUE] => [DESCRIPTION] => [VALUE_ENUM] => [VALUE_XML_ID] => [VALUE_SORT] => [~VALUE] => [~DESCRIPTION] => [~NAME] => Регион [~DEFAULT_VALUE] => ) [AUTHOR_ID] => Array ( [ID] => 280 [TIMESTAMP_X] => 2018-12-06 06:37:30 [IBLOCK_ID] => 52 [NAME] => Автор [ACTIVE] => Y [SORT] => 50 [CODE] => AUTHOR_ID [DEFAULT_VALUE] => [PROPERTY_TYPE] => E [ROW_COUNT] => 1 [COL_COUNT] => 30 [LIST_TYPE] => L [MULTIPLE] => Y [XML_ID] => [FILE_TYPE] => [MULTIPLE_CNT] => 5 [TMP_ID] => [LINK_IBLOCK_ID] => 36 [WITH_DESCRIPTION] => N [SEARCHABLE] => N [FILTRABLE] => N [VERSION] => 1 [USER_TYPE] => [IS_REQUIRED] => N [USER_TYPE_SETTINGS] => [HINT] => [PROPERTY_VALUE_ID] => [VALUE] => [DESCRIPTION] => [VALUE_ENUM] => [VALUE_XML_ID] => [VALUE_SORT] => [~VALUE] => [~DESCRIPTION] => [~NAME] => Автор [~DEFAULT_VALUE] => ) [SIGN] => Array ( [ID] => 281 [TIMESTAMP_X] => 2018-12-06 06:37:30 [IBLOCK_ID] => 52 [NAME] => Подпись [ACTIVE] => Y [SORT] => 55 [CODE] => SIGN [DEFAULT_VALUE] => [PROPERTY_TYPE] => S [ROW_COUNT] => 1 [COL_COUNT] => 30 [LIST_TYPE] => L [MULTIPLE] => N [XML_ID] => [FILE_TYPE] => [MULTIPLE_CNT] => 5 [TMP_ID] => [LINK_IBLOCK_ID] => 0 [WITH_DESCRIPTION] => N [SEARCHABLE] => N [FILTRABLE] => N [VERSION] => 1 [USER_TYPE] => [IS_REQUIRED] => N [USER_TYPE_SETTINGS] => [HINT] => [PROPERTY_VALUE_ID] => [VALUE] => [DESCRIPTION] => [VALUE_ENUM] => [VALUE_XML_ID] => [VALUE_SORT] => [~VALUE] => [~DESCRIPTION] => [~NAME] => Подпись [~DEFAULT_VALUE] => ) [FORYANDEX] => Array ( [ID] => 278 [TIMESTAMP_X] => 2018-12-06 06:37:30 [IBLOCK_ID] => 52 [NAME] => Экспорт для Яндекса [ACTIVE] => Y [SORT] => 90 [CODE] => FORYANDEX [DEFAULT_VALUE] => Нет [PROPERTY_TYPE] => L [ROW_COUNT] => 1 [COL_COUNT] => 30 [LIST_TYPE] => C [MULTIPLE] => N [XML_ID] => 220 [FILE_TYPE] => jpg, gif, bmp, png, jpeg [MULTIPLE_CNT] => 5 [TMP_ID] => [LINK_IBLOCK_ID] => 0 [WITH_DESCRIPTION] => N [SEARCHABLE] => N [FILTRABLE] => N [VERSION] => 1 [USER_TYPE] => [IS_REQUIRED] => N [USER_TYPE_SETTINGS] => [HINT] => [PROPERTY_VALUE_ID] => 167235 [VALUE] => Да [DESCRIPTION] => [VALUE_ENUM] => Да [VALUE_XML_ID] => Y [VALUE_SORT] => 500 [VALUE_ENUM_ID] => 85 [~VALUE] => Да [~DESCRIPTION] => [~NAME] => Экспорт для Яндекса [~DEFAULT_VALUE] => Нет ) [IS_MAIN] => Array ( [ID] => 282 [TIMESTAMP_X] => 2018-12-14 14:39:11 [IBLOCK_ID] => 52 [NAME] => Самая главная [ACTIVE] => Y [SORT] => 100 [CODE] => IS_MAIN [DEFAULT_VALUE] => [PROPERTY_TYPE] => L [ROW_COUNT] => 1 [COL_COUNT] => 30 [LIST_TYPE] => C [MULTIPLE] => N [XML_ID] => [FILE_TYPE] => [MULTIPLE_CNT] => 5 [TMP_ID] => [LINK_IBLOCK_ID] => 0 [WITH_DESCRIPTION] => N [SEARCHABLE] => N [FILTRABLE] => N [VERSION] => 1 [USER_TYPE] => [IS_REQUIRED] => N [USER_TYPE_SETTINGS] => [HINT] => [PROPERTY_VALUE_ID] => [VALUE] => [DESCRIPTION] => [VALUE_ENUM] => [VALUE_XML_ID] => [VALUE_SORT] => [VALUE_ENUM_ID] => [~VALUE] => [~DESCRIPTION] => [~NAME] => Самая главная [~DEFAULT_VALUE] => ) [IS_IMPORTANT] => Array ( [ID] => 283 [TIMESTAMP_X] => 2018-12-14 14:39:11 [IBLOCK_ID] => 52 [NAME] => Важная [ACTIVE] => Y [SORT] => 150 [CODE] => IS_IMPORTANT [DEFAULT_VALUE] => [PROPERTY_TYPE] => L [ROW_COUNT] => 1 [COL_COUNT] => 30 [LIST_TYPE] => C [MULTIPLE] => N [XML_ID] => [FILE_TYPE] => [MULTIPLE_CNT] => 5 [TMP_ID] => [LINK_IBLOCK_ID] => 0 [WITH_DESCRIPTION] => N [SEARCHABLE] => N [FILTRABLE] => N [VERSION] => 1 [USER_TYPE] => [IS_REQUIRED] => N [USER_TYPE_SETTINGS] => [HINT] => [PROPERTY_VALUE_ID] => 167236 [VALUE] => Y [DESCRIPTION] => [VALUE_ENUM] => Y [VALUE_XML_ID] => Y [VALUE_SORT] => 500 [VALUE_ENUM_ID] => 87 [~VALUE] => Y [~DESCRIPTION] => [~NAME] => Важная [~DEFAULT_VALUE] => ) [WITH_WATERMARK] => Array ( [ID] => 290 [TIMESTAMP_X] => 2018-12-18 09:33:44 [IBLOCK_ID] => 52 [NAME] => Все фото с водяным знаком [ACTIVE] => Y [SORT] => 200 [CODE] => WITH_WATERMARK [DEFAULT_VALUE] => [PROPERTY_TYPE] => L [ROW_COUNT] => 1 [COL_COUNT] => 30 [LIST_TYPE] => C [MULTIPLE] => N [XML_ID] => [FILE_TYPE] => [MULTIPLE_CNT] => 5 [TMP_ID] => [LINK_IBLOCK_ID] => 0 [WITH_DESCRIPTION] => N [SEARCHABLE] => N [FILTRABLE] => N [VERSION] => 1 [USER_TYPE] => [IS_REQUIRED] => N [USER_TYPE_SETTINGS] => [HINT] => [PROPERTY_VALUE_ID] => [VALUE] => [DESCRIPTION] => [VALUE_ENUM] => [VALUE_XML_ID] => [VALUE_SORT] => [VALUE_ENUM_ID] => [~VALUE] => [~DESCRIPTION] => [~NAME] => Все фото с водяным знаком [~DEFAULT_VALUE] => ) [MORE_PHOTO] => Array ( [ID] => 284 [TIMESTAMP_X] => 2018-12-06 06:38:44 [IBLOCK_ID] => 52 [NAME] => Фото [ACTIVE] => Y [SORT] => 250 [CODE] => MORE_PHOTO [DEFAULT_VALUE] => [PROPERTY_TYPE] => F [ROW_COUNT] => 1 [COL_COUNT] => 30 [LIST_TYPE] => L [MULTIPLE] => Y [XML_ID] => [FILE_TYPE] => jpg, gif, bmp, png, jpeg [MULTIPLE_CNT] => 5 [TMP_ID] => [LINK_IBLOCK_ID] => 0 [WITH_DESCRIPTION] => N [SEARCHABLE] => N [FILTRABLE] => N [VERSION] => 1 [USER_TYPE] => [IS_REQUIRED] => N [USER_TYPE_SETTINGS] => [HINT] => [PROPERTY_VALUE_ID] => [VALUE] => [DESCRIPTION] => [VALUE_ENUM] => [VALUE_XML_ID] => [VALUE_SORT] => [~VALUE] => [~DESCRIPTION] => [~NAME] => Фото [~DEFAULT_VALUE] => ) [TEXT] => Array ( [ID] => 285 [TIMESTAMP_X] => 2018-12-06 06:38:44 [IBLOCK_ID] => 52 [NAME] => Абзацы [ACTIVE] => Y [SORT] => 300 [CODE] => TEXT [DEFAULT_VALUE] => Array ( [TEXT] => [TYPE] => HTML ) [PROPERTY_TYPE] => S [ROW_COUNT] => 1 [COL_COUNT] => 30 [LIST_TYPE] => L [MULTIPLE] => Y [XML_ID] => [FILE_TYPE] => [MULTIPLE_CNT] => 5 [TMP_ID] => [LINK_IBLOCK_ID] => 0 [WITH_DESCRIPTION] => N [SEARCHABLE] => N [FILTRABLE] => N [VERSION] => 1 [USER_TYPE] => ISWIN_HTML [IS_REQUIRED] => N [USER_TYPE_SETTINGS] => Array ( [height] => 200 ) [HINT] => [PROPERTY_VALUE_ID] => [VALUE] => [DESCRIPTION] => [VALUE_ENUM] => [VALUE_XML_ID] => [VALUE_SORT] => [~VALUE] => [~DESCRIPTION] => [~NAME] => Абзацы [~DEFAULT_VALUE] => Array ( [TEXT] => [TYPE] => HTML ) ) [CNT_LIKES] => Array ( [ID] => 286 [TIMESTAMP_X] => 2018-12-06 06:38:44 [IBLOCK_ID] => 52 [NAME] => Кол-во "Нравится" [ACTIVE] => Y [SORT] => 1000 [CODE] => CNT_LIKES [DEFAULT_VALUE] => [PROPERTY_TYPE] => N [ROW_COUNT] => 1 [COL_COUNT] => 30 [LIST_TYPE] => L [MULTIPLE] => N [XML_ID] => [FILE_TYPE] => [MULTIPLE_CNT] => 5 [TMP_ID] => [LINK_IBLOCK_ID] => 0 [WITH_DESCRIPTION] => N [SEARCHABLE] => N [FILTRABLE] => N [VERSION] => 1 [USER_TYPE] => [IS_REQUIRED] => N [USER_TYPE_SETTINGS] => [HINT] => [PROPERTY_VALUE_ID] => [VALUE] => [DESCRIPTION] => [VALUE_ENUM] => [VALUE_XML_ID] => [VALUE_SORT] => [~VALUE] => [~DESCRIPTION] => [~NAME] => Кол-во "Нравится" [~DEFAULT_VALUE] => ) [CNT_DISLIKES] => Array ( [ID] => 287 [TIMESTAMP_X] => 2018-12-06 06:38:44 [IBLOCK_ID] => 52 [NAME] => Кол-во "Не нравится" [ACTIVE] => Y [SORT] => 1001 [CODE] => CNT_DISLIKES [DEFAULT_VALUE] => [PROPERTY_TYPE] => N [ROW_COUNT] => 1 [COL_COUNT] => 30 [LIST_TYPE] => L [MULTIPLE] => N [XML_ID] => [FILE_TYPE] => [MULTIPLE_CNT] => 5 [TMP_ID] => [LINK_IBLOCK_ID] => 0 [WITH_DESCRIPTION] => N [SEARCHABLE] => N [FILTRABLE] => N [VERSION] => 1 [USER_TYPE] => [IS_REQUIRED] => N [USER_TYPE_SETTINGS] => [HINT] => [PROPERTY_VALUE_ID] => [VALUE] => [DESCRIPTION] => [VALUE_ENUM] => [VALUE_XML_ID] => [VALUE_SORT] => [~VALUE] => [~DESCRIPTION] => [~NAME] => Кол-во "Не нравится" [~DEFAULT_VALUE] => ) ) [DISPLAY_PROPERTIES] => Array ( ) [IPROPERTY_VALUES] => Array ( [ELEMENT_META_TITLE] => Владимир Нетёсов: «Ветеранам Великой Отечественной войны – особое внимание и поддержка» [ELEMENT_META_DESCRIPTION] => Депутаты Воронежской областной Думы приняли активное участие в мероприятиях, посвящённых Дню Победы, и лично поздравили фронтовиков [ELEMENT_PREVIEW_PICTURE_FILE_ALT] => [ELEMENT_PREVIEW_PICTURE_FILE_TITLE] => Новости [SECTION_META_TITLE] => Владимир Нетёсов: «Ветеранам Великой Отечественной войны – особое внимание и поддержка» [SECTION_META_DESCRIPTION] => Владимир Нетёсов: «Ветеранам Великой Отечественной войны – особое внимание и поддержка» - Главные новости Воронежа и области ) [RES_MOD] => Array ( [TITLE] => Владимир Нетёсов: «Ветеранам Великой Отечественной войны – особое внимание и поддержка» [SECTIONS] => Array ( [269] => Array ( [ID] => 269 [~ID] => 269 [IBLOCK_ELEMENT_ID] => 249509 [~IBLOCK_ELEMENT_ID] => 249509 [NAME] => Общество [~NAME] => Общество [IBLOCK_ID] => 52 [~IBLOCK_ID] => 52 [SECTION_PAGE_URL] => /obshchestvo/ [~SECTION_PAGE_URL] => /obshchestvo/ [CODE] => obshchestvo [~CODE] => obshchestvo [EXTERNAL_ID] => 142 [~EXTERNAL_ID] => 142 [IBLOCK_TYPE_ID] => news [~IBLOCK_TYPE_ID] => news [IBLOCK_CODE] => novosti [~IBLOCK_CODE] => novosti [IBLOCK_EXTERNAL_ID] => 29 [~IBLOCK_EXTERNAL_ID] => 29 [GLOBAL_ACTIVE] => Y [~GLOBAL_ACTIVE] => Y ) ) [IS_ADV] => [CONTROL_ID] => bx_4182259225_249509 [CNT_LIKES] => 0 [ACTIVE_FROM_TITLE] => 10.05.2023 20:02:24 ) )
Владимир Нетёсов:…
Владимир Нетёсов: «Ветеранам Великой Отечественной войны – особое внимание и поддержка»
Array ( [ID] => 172896 [TIMESTAMP_X] => Bitrix\Main\Type\DateTime Object ( [value:protected] => DateTime Object ( [date] => 2023-05-10 10:02:56.000000 [timezone_type] => 3 [timezone] => UTC ) ) [MODULE_ID] => iblock [HEIGHT] => 700 [WIDTH] => 1050 [FILE_SIZE] => 1031005 [CONTENT_TYPE] => image/jpeg [SUBDIR] => iblock/528 [FILE_NAME] => DVC_3689_1.jpg [ORIGINAL_NAME] => DVC_3689_1.jpg [DESCRIPTION] => [HANDLER_ID] => [EXTERNAL_ID] => a5dd22b8012e552dfdd7236bfa3cb170 [~src] => [SRC] => /upload/resize_cache/iblock/528/285_285_0/DVC_3689_1.jpg [UNSAFE_SRC] => /upload/iblock/528/DVC_3689_1.jpg [SAFE_SRC] => /upload/iblock/528/DVC_3689_1.jpg [ALT] => Наши герои живы, пока живёт память о них [TITLE] => Новости ) Array ( [DETAIL_PICTURE] => [~DETAIL_PICTURE] => [SHOW_COUNTER] => 1180 [~SHOW_COUNTER] => 1180 [ID] => 249505 [~ID] => 249505 [IBLOCK_ID] => 52 [~IBLOCK_ID] => 52 [IBLOCK_SECTION_ID] => 269 [~IBLOCK_SECTION_ID] => 269 [NAME] => Наши герои живы, пока живёт… [~NAME] => Наши герои живы, пока живёт память о них [ACTIVE_FROM] => 10.05.2023 15:52:11 [~ACTIVE_FROM] => 10.05.2023 15:52:11 [TIMESTAMP_X] => 10.05.2023 16:02:56 [~TIMESTAMP_X] => 10.05.2023 16:02:56 [DETAIL_PAGE_URL] => /obshchestvo/nashi-geroi-zhivy-poka-zhivyet-pamyat-o-nikh-/ [~DETAIL_PAGE_URL] => /obshchestvo/nashi-geroi-zhivy-poka-zhivyet-pamyat-o-nikh-/ [LIST_PAGE_URL] => /novosti/ [~LIST_PAGE_URL] => /novosti/ [DETAIL_TEXT] =>

«Живой» урок истории


Выставка, в которую вошли экспонаты, предоставленные поисковым отрядом «Патриот», познакомила воронежцев и гостей города с оружием и формой времён Великой Отечественной войны, предметами фронтового быта солдат, редкими архивными документами, фотографиями защитников города.

Среди «поисковиков» люди разных возрастов и профессий, которые более 10 лет занимаются увековечиванием памяти Героев войны. Как отмечает руководитель поискового отряда «Патриот» Андрей СКАЛЕВОЙ, выставка, посвящённая Дню Победы, является одним из примеров их многолетнего взаимодействия с Центром Галереи Чижова, направленного на патриотическое воспитание молодёжи.

– Дети, подростки, молодёжь – по большому счёту, главные наши зрители. Они всегда проявляют огромный интерес к экспонатам. Ведь это не учебник по истории прочитать, а увидеть всё своими глазами, потрогать, прочувствовать,– говорит Андрей Скалевой.– События нынешних дней, которые происходят на Украине, показывают, что бывает, когда люди отрываются от своих корней, как легко им можно навязать совершенно другие ценности, фальсифицировать историю, назвать «чёрное» «белым». За умы подрастающего поколения надо бороться, они –наше будущее. И лучшим примером для молодёжи является героическое прошлое нашей страны, Великая Победа, которую одержал наш народ над фашизмом, и судьбы тех, кто посвятил свою жизнь верному служению Отечеству.

Всё для фронта, всё для Победы


DVC_3692.JPG

В рамках мероприятий, посвящённых 9 Мая, развернула свою работу «Тыловая мастерская» – проект, объединивший волонтёров, которые занимаются сбором и отправкой гуманитарных грузов участникам спецоперации. Все желающие могли принять участие в её работе: освоить изготовление маскировочных сетей, тактических носилок и строп, необходимых для спасения жизней раненых бойцов. Здесь же воронежцы могли написать письма со словами поддержки и пожеланиями скорейшего возвращения с Победой военнослужащим, которые несут службу в зоне СВО.

– Очень надеемся, что наше добровольческое движение будет пополняться новыми людьми, в том числе благодаря проекту «Тыловая мастерская», идею которого нам помог реализовать Сергей Чижов,– отмечает активист общественной организации «Золотые руки ангела» Елена ДМИТРИЕВА.–К нам приходят целыми семьями, помогают с большим удовольствием. Ребятам на передовой, которые находятся вдали от дома, своих родных, очень важно чувствовать нашу поддержку, поддержку небезразличных людей, тех, кто не смог остаться в стороне.

DVC_3699.JPG

Насколько важен крепкий тыл для тех, кто сегодня находится на передовой, знают родные и близкие военнослужащих, участники Всероссийского проекта «Жена героя», к которому Центр Галереи Чижова присоединился в феврале этого года. В канун 9 Мая здесь открылась обновлённая фотовыставка, посвящённая воронежским семьям участников специальной военной операции. На ней представлено более 70 портретов жён и матерей наших земляков. За каждой фотографией– личная история, любовь, вера, надежда и гордость за своего Героя.

Связь поколений


Ветеранов Великой Отечественной войны с праздником поздравили волонтёры авторского проекта Сергея Чижова «Фронтовой паёк», который уже более 20 лет объединяет ветеранов и представителей молодого поколения в деле сохранения памяти о великом подвиге нашего народа.

050A5072.jpg

Студенты ведущих вузов Воронежа навещают участников Великой Отечественной войны и вручают им фронтовой паёк – продуктовый набор, максимально приближенный к тому, что выдавали в «огненные сороковые» солдатам. Он для ветеранов стал символом героического времени, напоминанием о молодости, верной любви, настоящей дружбе и боевых товарищах.

– Мы знаем о Великой Оте чественной войне в основном из учебников истории, фильмов и художественной литературы. Два моих прадеда воевали на фронте, но об их боевом пути мне рассказали родители. Конечно, мне хотелось бы поговорить с ними лично. Узнать фронтовые истории из первых уст. Поэтому я, как и многие мои товарищи, решил принять участие в авторском проекте Сергея Чижова, который как раз даёт нам, молодым людям, возможность пообщаться с настоящими Героями — ветеранами, с теми, кто прошёл тяжёлые испытания, видел ужасы войны, кто знает о том, какой ценой была одержана Победа,– говорит руководитель волонтёрского корпуса ВГПУ Никита БАЛАБАЕВ.

По словам волонтёров «Фронтового пайка», ветераны всегда особенно ждут их визита.

– Нас всегда встречают очень тепло, – рассказал руководитель волонтёрского корпуса ВУЦ ВГУ Даниил КОНСТАНТИНОВ.– Видя улыбки ветеранов, слушая их рассказы, начинаешь понимать, насколько важно перенять бесценный опыт и мудрость тех, кому мы обязаны своей жизнью и свободой, насколько прочна связь между поколениями и как важно её сохранить. А ещё то, что Победа, от которой нас отделяет почти восемь десятков лет, как поётся в песне, и сегодня одна на всех. [~DETAIL_TEXT] =>

«Живой» урок истории


Выставка, в которую вошли экспонаты, предоставленные поисковым отрядом «Патриот», познакомила воронежцев и гостей города с оружием и формой времён Великой Отечественной войны, предметами фронтового быта солдат, редкими архивными документами, фотографиями защитников города.

Среди «поисковиков» люди разных возрастов и профессий, которые более 10 лет занимаются увековечиванием памяти Героев войны. Как отмечает руководитель поискового отряда «Патриот» Андрей СКАЛЕВОЙ, выставка, посвящённая Дню Победы, является одним из примеров их многолетнего взаимодействия с Центром Галереи Чижова, направленного на патриотическое воспитание молодёжи.

– Дети, подростки, молодёжь – по большому счёту, главные наши зрители. Они всегда проявляют огромный интерес к экспонатам. Ведь это не учебник по истории прочитать, а увидеть всё своими глазами, потрогать, прочувствовать,– говорит Андрей Скалевой.– События нынешних дней, которые происходят на Украине, показывают, что бывает, когда люди отрываются от своих корней, как легко им можно навязать совершенно другие ценности, фальсифицировать историю, назвать «чёрное» «белым». За умы подрастающего поколения надо бороться, они –наше будущее. И лучшим примером для молодёжи является героическое прошлое нашей страны, Великая Победа, которую одержал наш народ над фашизмом, и судьбы тех, кто посвятил свою жизнь верному служению Отечеству.

Всё для фронта, всё для Победы


DVC_3692.JPG

В рамках мероприятий, посвящённых 9 Мая, развернула свою работу «Тыловая мастерская» – проект, объединивший волонтёров, которые занимаются сбором и отправкой гуманитарных грузов участникам спецоперации. Все желающие могли принять участие в её работе: освоить изготовление маскировочных сетей, тактических носилок и строп, необходимых для спасения жизней раненых бойцов. Здесь же воронежцы могли написать письма со словами поддержки и пожеланиями скорейшего возвращения с Победой военнослужащим, которые несут службу в зоне СВО.

– Очень надеемся, что наше добровольческое движение будет пополняться новыми людьми, в том числе благодаря проекту «Тыловая мастерская», идею которого нам помог реализовать Сергей Чижов,– отмечает активист общественной организации «Золотые руки ангела» Елена ДМИТРИЕВА.–К нам приходят целыми семьями, помогают с большим удовольствием. Ребятам на передовой, которые находятся вдали от дома, своих родных, очень важно чувствовать нашу поддержку, поддержку небезразличных людей, тех, кто не смог остаться в стороне.

DVC_3699.JPG

Насколько важен крепкий тыл для тех, кто сегодня находится на передовой, знают родные и близкие военнослужащих, участники Всероссийского проекта «Жена героя», к которому Центр Галереи Чижова присоединился в феврале этого года. В канун 9 Мая здесь открылась обновлённая фотовыставка, посвящённая воронежским семьям участников специальной военной операции. На ней представлено более 70 портретов жён и матерей наших земляков. За каждой фотографией– личная история, любовь, вера, надежда и гордость за своего Героя.

Связь поколений


Ветеранов Великой Отечественной войны с праздником поздравили волонтёры авторского проекта Сергея Чижова «Фронтовой паёк», который уже более 20 лет объединяет ветеранов и представителей молодого поколения в деле сохранения памяти о великом подвиге нашего народа.

050A5072.jpg

Студенты ведущих вузов Воронежа навещают участников Великой Отечественной войны и вручают им фронтовой паёк – продуктовый набор, максимально приближенный к тому, что выдавали в «огненные сороковые» солдатам. Он для ветеранов стал символом героического времени, напоминанием о молодости, верной любви, настоящей дружбе и боевых товарищах.

– Мы знаем о Великой Оте чественной войне в основном из учебников истории, фильмов и художественной литературы. Два моих прадеда воевали на фронте, но об их боевом пути мне рассказали родители. Конечно, мне хотелось бы поговорить с ними лично. Узнать фронтовые истории из первых уст. Поэтому я, как и многие мои товарищи, решил принять участие в авторском проекте Сергея Чижова, который как раз даёт нам, молодым людям, возможность пообщаться с настоящими Героями — ветеранами, с теми, кто прошёл тяжёлые испытания, видел ужасы войны, кто знает о том, какой ценой была одержана Победа,– говорит руководитель волонтёрского корпуса ВГПУ Никита БАЛАБАЕВ.

По словам волонтёров «Фронтового пайка», ветераны всегда особенно ждут их визита.

– Нас всегда встречают очень тепло, – рассказал руководитель волонтёрского корпуса ВУЦ ВГУ Даниил КОНСТАНТИНОВ.– Видя улыбки ветеранов, слушая их рассказы, начинаешь понимать, насколько важно перенять бесценный опыт и мудрость тех, кому мы обязаны своей жизнью и свободой, насколько прочна связь между поколениями и как важно её сохранить. А ещё то, что Победа, от которой нас отделяет почти восемь десятков лет, как поётся в песне, и сегодня одна на всех. [DETAIL_TEXT_TYPE] => html [~DETAIL_TEXT_TYPE] => html [PREVIEW_TEXT] => [~PREVIEW_TEXT] => Передать подрастающим поколениям неискажённые знания об «огненных сороковых», сохранить имена тех, кто отдал жизнь за свободу страны, окружить главных героев Дня Победы, наших дорогих ветеранов, заботой и вниманием – это стало главным смыслом мероприятий, организованных Центром Галереи Чижова в честь дня 9 Мая [PREVIEW_TEXT_TYPE] => text [~PREVIEW_TEXT_TYPE] => text [PREVIEW_PICTURE] => Array ( [ID] => 172896 [TIMESTAMP_X] => Bitrix\Main\Type\DateTime Object ( [value:protected] => DateTime Object ( [date] => 2023-05-10 10:02:56.000000 [timezone_type] => 3 [timezone] => UTC ) ) [MODULE_ID] => iblock [HEIGHT] => 700 [WIDTH] => 1050 [FILE_SIZE] => 1031005 [CONTENT_TYPE] => image/jpeg [SUBDIR] => iblock/528 [FILE_NAME] => DVC_3689_1.jpg [ORIGINAL_NAME] => DVC_3689_1.jpg [DESCRIPTION] => [HANDLER_ID] => [EXTERNAL_ID] => a5dd22b8012e552dfdd7236bfa3cb170 [~src] => [SRC] => /upload/iblock/528/DVC_3689_1.jpg [UNSAFE_SRC] => /upload/iblock/528/DVC_3689_1.jpg [SAFE_SRC] => /upload/iblock/528/DVC_3689_1.jpg [ALT] => Наши герои живы, пока живёт память о них [TITLE] => Новости ) [~PREVIEW_PICTURE] => 172896 [LANG_DIR] => / [~LANG_DIR] => / [SORT] => 500 [~SORT] => 500 [CODE] => nashi-geroi-zhivy-poka-zhivyet-pamyat-o-nikh- [~CODE] => nashi-geroi-zhivy-poka-zhivyet-pamyat-o-nikh- [EXTERNAL_ID] => 249505 [~EXTERNAL_ID] => 249505 [IBLOCK_TYPE_ID] => news [~IBLOCK_TYPE_ID] => news [IBLOCK_CODE] => novosti [~IBLOCK_CODE] => novosti [IBLOCK_EXTERNAL_ID] => 29 [~IBLOCK_EXTERNAL_ID] => 29 [LID] => ru [~LID] => ru [EDIT_LINK] => [DELETE_LINK] => [DISPLAY_ACTIVE_FROM] => 10.05.2023 15:52 [FIELDS] => Array ( [DETAIL_PICTURE] => [SHOW_COUNTER] => 1180 ) [PROPERTIES] => Array ( [REGION_ID] => Array ( [ID] => 279 [TIMESTAMP_X] => 2018-12-06 06:37:30 [IBLOCK_ID] => 52 [NAME] => Регион [ACTIVE] => Y [SORT] => 40 [CODE] => REGION_ID [DEFAULT_VALUE] => [PROPERTY_TYPE] => E [ROW_COUNT] => 1 [COL_COUNT] => 30 [LIST_TYPE] => L [MULTIPLE] => Y [XML_ID] => [FILE_TYPE] => [MULTIPLE_CNT] => 5 [TMP_ID] => [LINK_IBLOCK_ID] => 37 [WITH_DESCRIPTION] => N [SEARCHABLE] => N [FILTRABLE] => N [VERSION] => 1 [USER_TYPE] => [IS_REQUIRED] => N [USER_TYPE_SETTINGS] => [HINT] => [PROPERTY_VALUE_ID] => [VALUE] => [DESCRIPTION] => [VALUE_ENUM] => [VALUE_XML_ID] => [VALUE_SORT] => [~VALUE] => [~DESCRIPTION] => [~NAME] => Регион [~DEFAULT_VALUE] => ) [AUTHOR_ID] => Array ( [ID] => 280 [TIMESTAMP_X] => 2018-12-06 06:37:30 [IBLOCK_ID] => 52 [NAME] => Автор [ACTIVE] => Y [SORT] => 50 [CODE] => AUTHOR_ID [DEFAULT_VALUE] => [PROPERTY_TYPE] => E [ROW_COUNT] => 1 [COL_COUNT] => 30 [LIST_TYPE] => L [MULTIPLE] => Y [XML_ID] => [FILE_TYPE] => [MULTIPLE_CNT] => 5 [TMP_ID] => [LINK_IBLOCK_ID] => 36 [WITH_DESCRIPTION] => N [SEARCHABLE] => N [FILTRABLE] => N [VERSION] => 1 [USER_TYPE] => [IS_REQUIRED] => N [USER_TYPE_SETTINGS] => [HINT] => [PROPERTY_VALUE_ID] => [VALUE] => [DESCRIPTION] => [VALUE_ENUM] => [VALUE_XML_ID] => [VALUE_SORT] => [~VALUE] => [~DESCRIPTION] => [~NAME] => Автор [~DEFAULT_VALUE] => ) [SIGN] => Array ( [ID] => 281 [TIMESTAMP_X] => 2018-12-06 06:37:30 [IBLOCK_ID] => 52 [NAME] => Подпись [ACTIVE] => Y [SORT] => 55 [CODE] => SIGN [DEFAULT_VALUE] => [PROPERTY_TYPE] => S [ROW_COUNT] => 1 [COL_COUNT] => 30 [LIST_TYPE] => L [MULTIPLE] => N [XML_ID] => [FILE_TYPE] => [MULTIPLE_CNT] => 5 [TMP_ID] => [LINK_IBLOCK_ID] => 0 [WITH_DESCRIPTION] => N [SEARCHABLE] => N [FILTRABLE] => N [VERSION] => 1 [USER_TYPE] => [IS_REQUIRED] => N [USER_TYPE_SETTINGS] => [HINT] => [PROPERTY_VALUE_ID] => [VALUE] => [DESCRIPTION] => [VALUE_ENUM] => [VALUE_XML_ID] => [VALUE_SORT] => [~VALUE] => [~DESCRIPTION] => [~NAME] => Подпись [~DEFAULT_VALUE] => ) [FORYANDEX] => Array ( [ID] => 278 [TIMESTAMP_X] => 2018-12-06 06:37:30 [IBLOCK_ID] => 52 [NAME] => Экспорт для Яндекса [ACTIVE] => Y [SORT] => 90 [CODE] => FORYANDEX [DEFAULT_VALUE] => Нет [PROPERTY_TYPE] => L [ROW_COUNT] => 1 [COL_COUNT] => 30 [LIST_TYPE] => C [MULTIPLE] => N [XML_ID] => 220 [FILE_TYPE] => jpg, gif, bmp, png, jpeg [MULTIPLE_CNT] => 5 [TMP_ID] => [LINK_IBLOCK_ID] => 0 [WITH_DESCRIPTION] => N [SEARCHABLE] => N [FILTRABLE] => N [VERSION] => 1 [USER_TYPE] => [IS_REQUIRED] => N [USER_TYPE_SETTINGS] => [HINT] => [PROPERTY_VALUE_ID] => 167225 [VALUE] => Да [DESCRIPTION] => [VALUE_ENUM] => Да [VALUE_XML_ID] => Y [VALUE_SORT] => 500 [VALUE_ENUM_ID] => 85 [~VALUE] => Да [~DESCRIPTION] => [~NAME] => Экспорт для Яндекса [~DEFAULT_VALUE] => Нет ) [IS_MAIN] => Array ( [ID] => 282 [TIMESTAMP_X] => 2018-12-14 14:39:11 [IBLOCK_ID] => 52 [NAME] => Самая главная [ACTIVE] => Y [SORT] => 100 [CODE] => IS_MAIN [DEFAULT_VALUE] => [PROPERTY_TYPE] => L [ROW_COUNT] => 1 [COL_COUNT] => 30 [LIST_TYPE] => C [MULTIPLE] => N [XML_ID] => [FILE_TYPE] => [MULTIPLE_CNT] => 5 [TMP_ID] => [LINK_IBLOCK_ID] => 0 [WITH_DESCRIPTION] => N [SEARCHABLE] => N [FILTRABLE] => N [VERSION] => 1 [USER_TYPE] => [IS_REQUIRED] => N [USER_TYPE_SETTINGS] => [HINT] => [PROPERTY_VALUE_ID] => [VALUE] => [DESCRIPTION] => [VALUE_ENUM] => [VALUE_XML_ID] => [VALUE_SORT] => [VALUE_ENUM_ID] => [~VALUE] => [~DESCRIPTION] => [~NAME] => Самая главная [~DEFAULT_VALUE] => ) [IS_IMPORTANT] => Array ( [ID] => 283 [TIMESTAMP_X] => 2018-12-14 14:39:11 [IBLOCK_ID] => 52 [NAME] => Важная [ACTIVE] => Y [SORT] => 150 [CODE] => IS_IMPORTANT [DEFAULT_VALUE] => [PROPERTY_TYPE] => L [ROW_COUNT] => 1 [COL_COUNT] => 30 [LIST_TYPE] => C [MULTIPLE] => N [XML_ID] => [FILE_TYPE] => [MULTIPLE_CNT] => 5 [TMP_ID] => [LINK_IBLOCK_ID] => 0 [WITH_DESCRIPTION] => N [SEARCHABLE] => N [FILTRABLE] => N [VERSION] => 1 [USER_TYPE] => [IS_REQUIRED] => N [USER_TYPE_SETTINGS] => [HINT] => [PROPERTY_VALUE_ID] => 167226 [VALUE] => Y [DESCRIPTION] => [VALUE_ENUM] => Y [VALUE_XML_ID] => Y [VALUE_SORT] => 500 [VALUE_ENUM_ID] => 87 [~VALUE] => Y [~DESCRIPTION] => [~NAME] => Важная [~DEFAULT_VALUE] => ) [WITH_WATERMARK] => Array ( [ID] => 290 [TIMESTAMP_X] => 2018-12-18 09:33:44 [IBLOCK_ID] => 52 [NAME] => Все фото с водяным знаком [ACTIVE] => Y [SORT] => 200 [CODE] => WITH_WATERMARK [DEFAULT_VALUE] => [PROPERTY_TYPE] => L [ROW_COUNT] => 1 [COL_COUNT] => 30 [LIST_TYPE] => C [MULTIPLE] => N [XML_ID] => [FILE_TYPE] => [MULTIPLE_CNT] => 5 [TMP_ID] => [LINK_IBLOCK_ID] => 0 [WITH_DESCRIPTION] => N [SEARCHABLE] => N [FILTRABLE] => N [VERSION] => 1 [USER_TYPE] => [IS_REQUIRED] => N [USER_TYPE_SETTINGS] => [HINT] => [PROPERTY_VALUE_ID] => [VALUE] => [DESCRIPTION] => [VALUE_ENUM] => [VALUE_XML_ID] => [VALUE_SORT] => [VALUE_ENUM_ID] => [~VALUE] => [~DESCRIPTION] => [~NAME] => Все фото с водяным знаком [~DEFAULT_VALUE] => ) [MORE_PHOTO] => Array ( [ID] => 284 [TIMESTAMP_X] => 2018-12-06 06:38:44 [IBLOCK_ID] => 52 [NAME] => Фото [ACTIVE] => Y [SORT] => 250 [CODE] => MORE_PHOTO [DEFAULT_VALUE] => [PROPERTY_TYPE] => F [ROW_COUNT] => 1 [COL_COUNT] => 30 [LIST_TYPE] => L [MULTIPLE] => Y [XML_ID] => [FILE_TYPE] => jpg, gif, bmp, png, jpeg [MULTIPLE_CNT] => 5 [TMP_ID] => [LINK_IBLOCK_ID] => 0 [WITH_DESCRIPTION] => N [SEARCHABLE] => N [FILTRABLE] => N [VERSION] => 1 [USER_TYPE] => [IS_REQUIRED] => N [USER_TYPE_SETTINGS] => [HINT] => [PROPERTY_VALUE_ID] => [VALUE] => [DESCRIPTION] => [VALUE_ENUM] => [VALUE_XML_ID] => [VALUE_SORT] => [~VALUE] => [~DESCRIPTION] => [~NAME] => Фото [~DEFAULT_VALUE] => ) [TEXT] => Array ( [ID] => 285 [TIMESTAMP_X] => 2018-12-06 06:38:44 [IBLOCK_ID] => 52 [NAME] => Абзацы [ACTIVE] => Y [SORT] => 300 [CODE] => TEXT [DEFAULT_VALUE] => Array ( [TEXT] => [TYPE] => HTML ) [PROPERTY_TYPE] => S [ROW_COUNT] => 1 [COL_COUNT] => 30 [LIST_TYPE] => L [MULTIPLE] => Y [XML_ID] => [FILE_TYPE] => [MULTIPLE_CNT] => 5 [TMP_ID] => [LINK_IBLOCK_ID] => 0 [WITH_DESCRIPTION] => N [SEARCHABLE] => N [FILTRABLE] => N [VERSION] => 1 [USER_TYPE] => ISWIN_HTML [IS_REQUIRED] => N [USER_TYPE_SETTINGS] => Array ( [height] => 200 ) [HINT] => [PROPERTY_VALUE_ID] => [VALUE] => [DESCRIPTION] => [VALUE_ENUM] => [VALUE_XML_ID] => [VALUE_SORT] => [~VALUE] => [~DESCRIPTION] => [~NAME] => Абзацы [~DEFAULT_VALUE] => Array ( [TEXT] => [TYPE] => HTML ) ) [CNT_LIKES] => Array ( [ID] => 286 [TIMESTAMP_X] => 2018-12-06 06:38:44 [IBLOCK_ID] => 52 [NAME] => Кол-во "Нравится" [ACTIVE] => Y [SORT] => 1000 [CODE] => CNT_LIKES [DEFAULT_VALUE] => [PROPERTY_TYPE] => N [ROW_COUNT] => 1 [COL_COUNT] => 30 [LIST_TYPE] => L [MULTIPLE] => N [XML_ID] => [FILE_TYPE] => [MULTIPLE_CNT] => 5 [TMP_ID] => [LINK_IBLOCK_ID] => 0 [WITH_DESCRIPTION] => N [SEARCHABLE] => N [FILTRABLE] => N [VERSION] => 1 [USER_TYPE] => [IS_REQUIRED] => N [USER_TYPE_SETTINGS] => [HINT] => [PROPERTY_VALUE_ID] => [VALUE] => [DESCRIPTION] => [VALUE_ENUM] => [VALUE_XML_ID] => [VALUE_SORT] => [~VALUE] => [~DESCRIPTION] => [~NAME] => Кол-во "Нравится" [~DEFAULT_VALUE] => ) [CNT_DISLIKES] => Array ( [ID] => 287 [TIMESTAMP_X] => 2018-12-06 06:38:44 [IBLOCK_ID] => 52 [NAME] => Кол-во "Не нравится" [ACTIVE] => Y [SORT] => 1001 [CODE] => CNT_DISLIKES [DEFAULT_VALUE] => [PROPERTY_TYPE] => N [ROW_COUNT] => 1 [COL_COUNT] => 30 [LIST_TYPE] => L [MULTIPLE] => N [XML_ID] => [FILE_TYPE] => [MULTIPLE_CNT] => 5 [TMP_ID] => [LINK_IBLOCK_ID] => 0 [WITH_DESCRIPTION] => N [SEARCHABLE] => N [FILTRABLE] => N [VERSION] => 1 [USER_TYPE] => [IS_REQUIRED] => N [USER_TYPE_SETTINGS] => [HINT] => [PROPERTY_VALUE_ID] => [VALUE] => [DESCRIPTION] => [VALUE_ENUM] => [VALUE_XML_ID] => [VALUE_SORT] => [~VALUE] => [~DESCRIPTION] => [~NAME] => Кол-во "Не нравится" [~DEFAULT_VALUE] => ) ) [DISPLAY_PROPERTIES] => Array ( ) [IPROPERTY_VALUES] => Array ( [ELEMENT_META_TITLE] => Наши герои живы, пока живёт память о них [ELEMENT_META_DESCRIPTION] => Передать подрастающим поколениям неискажённые знания об «огненных сороковых», сохранить имена тех, кто отдал жизнь за свободу страны, окружить главных героев Дня Победы, наших дорогих ветеранов, заботой и вниманием – это стало главным смыслом мероприятий, организованных Центром Галереи Чижова в честь дня 9 Мая [ELEMENT_PREVIEW_PICTURE_FILE_ALT] => [ELEMENT_PREVIEW_PICTURE_FILE_TITLE] => Новости [SECTION_META_TITLE] => Наши герои живы, пока живёт память о них [SECTION_META_DESCRIPTION] => Наши герои живы, пока живёт память о них - Главные новости Воронежа и области ) [RES_MOD] => Array ( [TITLE] => Наши герои живы, пока живёт память о них [SECTIONS] => Array ( [269] => Array ( [ID] => 269 [~ID] => 269 [IBLOCK_ELEMENT_ID] => 249505 [~IBLOCK_ELEMENT_ID] => 249505 [NAME] => Общество [~NAME] => Общество [IBLOCK_ID] => 52 [~IBLOCK_ID] => 52 [SECTION_PAGE_URL] => /obshchestvo/ [~SECTION_PAGE_URL] => /obshchestvo/ [CODE] => obshchestvo [~CODE] => obshchestvo [EXTERNAL_ID] => 142 [~EXTERNAL_ID] => 142 [IBLOCK_TYPE_ID] => news [~IBLOCK_TYPE_ID] => news [IBLOCK_CODE] => novosti [~IBLOCK_CODE] => novosti [IBLOCK_EXTERNAL_ID] => 29 [~IBLOCK_EXTERNAL_ID] => 29 [GLOBAL_ACTIVE] => Y [~GLOBAL_ACTIVE] => Y ) ) [IS_ADV] => [CONTROL_ID] => bx_4182259225_249505 [CNT_LIKES] => 0 [ACTIVE_FROM_TITLE] => 10.05.2023 15:52:11 ) )
Наши герои живы, пока живёт…
Наши герои живы, пока живёт память о них
Array ( [ID] => 172886 [TIMESTAMP_X] => Bitrix\Main\Type\DateTime Object ( [value:protected] => DateTime Object ( [date] => 2023-05-08 14:27:03.000000 [timezone_type] => 3 [timezone] => UTC ) ) [MODULE_ID] => iblock [HEIGHT] => 853 [WIDTH] => 1280 [FILE_SIZE] => 143943 [CONTENT_TYPE] => image/jpeg [SUBDIR] => iblock/00a [FILE_NAME] => 40bafea3-5638-4b3b-a31b-954e31f2922c.jpg [ORIGINAL_NAME] => 40bafea3-5638-4b3b-a31b-954e31f2922c.jpg [DESCRIPTION] => [HANDLER_ID] => [EXTERNAL_ID] => 1cf2e38d32bde4505ebba756f3d6db0e [~src] => [SRC] => /upload/resize_cache/iblock/00a/285_285_0/40bafea3-5638-4b3b-a31b-954e31f2922c.jpg [UNSAFE_SRC] => /upload/iblock/00a/40bafea3-5638-4b3b-a31b-954e31f2922c.jpg [SAFE_SRC] => /upload/iblock/00a/40bafea3-5638-4b3b-a31b-954e31f2922c.jpg [ALT] => С нетрезвыми водителями будут бороться с помощью телеграм-бота [TITLE] => Новости ) Array ( [DETAIL_PICTURE] => [~DETAIL_PICTURE] => [SHOW_COUNTER] => 779 [~SHOW_COUNTER] => 779 [ID] => 249500 [~ID] => 249500 [IBLOCK_ID] => 52 [~IBLOCK_ID] => 52 [IBLOCK_SECTION_ID] => 269 [~IBLOCK_SECTION_ID] => 269 [NAME] => С нетрезвыми водителями… [~NAME] => С нетрезвыми водителями будут бороться с помощью телеграм-бота [ACTIVE_FROM] => 09.05.2023 13:22:44 [~ACTIVE_FROM] => 09.05.2023 13:22:44 [TIMESTAMP_X] => 08.05.2023 20:27:03 [~TIMESTAMP_X] => 08.05.2023 20:27:03 [DETAIL_PAGE_URL] => /obshchestvo/s-netrezvymi-voditelyami-budut-borotsya-s-pomoshchyu-telegram-bota/ [~DETAIL_PAGE_URL] => /obshchestvo/s-netrezvymi-voditelyami-budut-borotsya-s-pomoshchyu-telegram-bota/ [LIST_PAGE_URL] => /novosti/ [~LIST_PAGE_URL] => /novosti/ [DETAIL_TEXT] => Воронежцы смогут сообщить о нарушениях Правил дорожного движения в телеграм-боте «Беспределу.нет36». Такое нововведение автоинспекторы запустили в апреле. Об этом на еженедельном оперативном совещании в облправительстве сообщил начальник регионального Управления ГИБДД Евгений Шаталов. Пользователь может передать информацию о любых нарушениях, в том числе – о водителях с признаками опьянения. Принимаются как голосовые, так и текстовые сообщения. В качестве доказательства можно прикрепить фотографии и видео.

KK4qoTsJyB0.jpg

– Нетрезвые автомобилисты представляют серьёзную опасность, – отметил Евгений Шаталов. – За последние три года по их вине на дорогах области погибло более 300 человек. Во время наших рейдов только в прошлом году было задержано свыше 6 тысяч пьяных водителей. Почти тысяча из них – повторно. А в нынешнем году мы уже выявили 1823 водителя, управляющих авто в нетрезвом виде.

Как сообщил начальник Госавтоинспекции, с января по апрель нынешнего года в области произошло 649 ДТП. Погибло 89 человек, 782 получили различные ранения. Больше всего смертельных аварий за этот период произошло в Воронеже, а также Бобровском, Калачеевском, Кантемировском, Новохопёрском и Ольховатском районах. Помимо нетрезвых водителей, среди самых распространённых причин ДТП – выезд на встречную полосу и пешеходы, которые переходят дорогу в неположенном месте.

Управление ГИБДД продолжает проводить акции, которые должны снизить аварийность. Например, недавно в Воронеже организовали рейд, в котором приняли участие более 500 правоохранителей. А на прошлой неделе в регионе прошла акция «Дорожный патруль безопасности». В её рамках полицейские вместе с волонтёрами дежурили возле школ и выявляли автомобилистов, которые не пропускали детей, переходящих дорогу по пешеходному переходу. Также правоохранители регулярно посещают родительские собрания, где рассказывают о важности соблюдения ПДД.

ЦИФРА


Более 963 тыс. нарушений ПДД пресекли воронежские автоинспекторы за четыре месяца 2023 года [~DETAIL_TEXT] => Воронежцы смогут сообщить о нарушениях Правил дорожного движения в телеграм-боте «Беспределу.нет36». Такое нововведение автоинспекторы запустили в апреле. Об этом на еженедельном оперативном совещании в облправительстве сообщил начальник регионального Управления ГИБДД Евгений Шаталов. Пользователь может передать информацию о любых нарушениях, в том числе – о водителях с признаками опьянения. Принимаются как голосовые, так и текстовые сообщения. В качестве доказательства можно прикрепить фотографии и видео.

KK4qoTsJyB0.jpg

– Нетрезвые автомобилисты представляют серьёзную опасность, – отметил Евгений Шаталов. – За последние три года по их вине на дорогах области погибло более 300 человек. Во время наших рейдов только в прошлом году было задержано свыше 6 тысяч пьяных водителей. Почти тысяча из них – повторно. А в нынешнем году мы уже выявили 1823 водителя, управляющих авто в нетрезвом виде.

Как сообщил начальник Госавтоинспекции, с января по апрель нынешнего года в области произошло 649 ДТП. Погибло 89 человек, 782 получили различные ранения. Больше всего смертельных аварий за этот период произошло в Воронеже, а также Бобровском, Калачеевском, Кантемировском, Новохопёрском и Ольховатском районах. Помимо нетрезвых водителей, среди самых распространённых причин ДТП – выезд на встречную полосу и пешеходы, которые переходят дорогу в неположенном месте.

Управление ГИБДД продолжает проводить акции, которые должны снизить аварийность. Например, недавно в Воронеже организовали рейд, в котором приняли участие более 500 правоохранителей. А на прошлой неделе в регионе прошла акция «Дорожный патруль безопасности». В её рамках полицейские вместе с волонтёрами дежурили возле школ и выявляли автомобилистов, которые не пропускали детей, переходящих дорогу по пешеходному переходу. Также правоохранители регулярно посещают родительские собрания, где рассказывают о важности соблюдения ПДД.

ЦИФРА


Более 963 тыс. нарушений ПДД пресекли воронежские автоинспекторы за четыре месяца 2023 года [DETAIL_TEXT_TYPE] => html [~DETAIL_TEXT_TYPE] => html [PREVIEW_TEXT] => [~PREVIEW_TEXT] => По их вине на дорогах Воронежской области погибло более 300 человек [PREVIEW_TEXT_TYPE] => text [~PREVIEW_TEXT_TYPE] => text [PREVIEW_PICTURE] => Array ( [ID] => 172886 [TIMESTAMP_X] => Bitrix\Main\Type\DateTime Object ( [value:protected] => DateTime Object ( [date] => 2023-05-08 14:27:03.000000 [timezone_type] => 3 [timezone] => UTC ) ) [MODULE_ID] => iblock [HEIGHT] => 853 [WIDTH] => 1280 [FILE_SIZE] => 143943 [CONTENT_TYPE] => image/jpeg [SUBDIR] => iblock/00a [FILE_NAME] => 40bafea3-5638-4b3b-a31b-954e31f2922c.jpg [ORIGINAL_NAME] => 40bafea3-5638-4b3b-a31b-954e31f2922c.jpg [DESCRIPTION] => [HANDLER_ID] => [EXTERNAL_ID] => 1cf2e38d32bde4505ebba756f3d6db0e [~src] => [SRC] => /upload/iblock/00a/40bafea3-5638-4b3b-a31b-954e31f2922c.jpg [UNSAFE_SRC] => /upload/iblock/00a/40bafea3-5638-4b3b-a31b-954e31f2922c.jpg [SAFE_SRC] => /upload/iblock/00a/40bafea3-5638-4b3b-a31b-954e31f2922c.jpg [ALT] => С нетрезвыми водителями будут бороться с помощью телеграм-бота [TITLE] => Новости ) [~PREVIEW_PICTURE] => 172886 [LANG_DIR] => / [~LANG_DIR] => / [SORT] => 500 [~SORT] => 500 [CODE] => s-netrezvymi-voditelyami-budut-borotsya-s-pomoshchyu-telegram-bota [~CODE] => s-netrezvymi-voditelyami-budut-borotsya-s-pomoshchyu-telegram-bota [EXTERNAL_ID] => 249500 [~EXTERNAL_ID] => 249500 [IBLOCK_TYPE_ID] => news [~IBLOCK_TYPE_ID] => news [IBLOCK_CODE] => novosti [~IBLOCK_CODE] => novosti [IBLOCK_EXTERNAL_ID] => 29 [~IBLOCK_EXTERNAL_ID] => 29 [LID] => ru [~LID] => ru [EDIT_LINK] => [DELETE_LINK] => [DISPLAY_ACTIVE_FROM] => 09.05.2023 13:22 [FIELDS] => Array ( [DETAIL_PICTURE] => [SHOW_COUNTER] => 779 ) [PROPERTIES] => Array ( [REGION_ID] => Array ( [ID] => 279 [TIMESTAMP_X] => 2018-12-06 06:37:30 [IBLOCK_ID] => 52 [NAME] => Регион [ACTIVE] => Y [SORT] => 40 [CODE] => REGION_ID [DEFAULT_VALUE] => [PROPERTY_TYPE] => E [ROW_COUNT] => 1 [COL_COUNT] => 30 [LIST_TYPE] => L [MULTIPLE] => Y [XML_ID] => [FILE_TYPE] => [MULTIPLE_CNT] => 5 [TMP_ID] => [LINK_IBLOCK_ID] => 37 [WITH_DESCRIPTION] => N [SEARCHABLE] => N [FILTRABLE] => N [VERSION] => 1 [USER_TYPE] => [IS_REQUIRED] => N [USER_TYPE_SETTINGS] => [HINT] => [PROPERTY_VALUE_ID] => [VALUE] => [DESCRIPTION] => [VALUE_ENUM] => [VALUE_XML_ID] => [VALUE_SORT] => [~VALUE] => [~DESCRIPTION] => [~NAME] => Регион [~DEFAULT_VALUE] => ) [AUTHOR_ID] => Array ( [ID] => 280 [TIMESTAMP_X] => 2018-12-06 06:37:30 [IBLOCK_ID] => 52 [NAME] => Автор [ACTIVE] => Y [SORT] => 50 [CODE] => AUTHOR_ID [DEFAULT_VALUE] => [PROPERTY_TYPE] => E [ROW_COUNT] => 1 [COL_COUNT] => 30 [LIST_TYPE] => L [MULTIPLE] => Y [XML_ID] => [FILE_TYPE] => [MULTIPLE_CNT] => 5 [TMP_ID] => [LINK_IBLOCK_ID] => 36 [WITH_DESCRIPTION] => N [SEARCHABLE] => N [FILTRABLE] => N [VERSION] => 1 [USER_TYPE] => [IS_REQUIRED] => N [USER_TYPE_SETTINGS] => [HINT] => [PROPERTY_VALUE_ID] => [VALUE] => [DESCRIPTION] => [VALUE_ENUM] => [VALUE_XML_ID] => [VALUE_SORT] => [~VALUE] => [~DESCRIPTION] => [~NAME] => Автор [~DEFAULT_VALUE] => ) [SIGN] => Array ( [ID] => 281 [TIMESTAMP_X] => 2018-12-06 06:37:30 [IBLOCK_ID] => 52 [NAME] => Подпись [ACTIVE] => Y [SORT] => 55 [CODE] => SIGN [DEFAULT_VALUE] => [PROPERTY_TYPE] => S [ROW_COUNT] => 1 [COL_COUNT] => 30 [LIST_TYPE] => L [MULTIPLE] => N [XML_ID] => [FILE_TYPE] => [MULTIPLE_CNT] => 5 [TMP_ID] => [LINK_IBLOCK_ID] => 0 [WITH_DESCRIPTION] => N [SEARCHABLE] => N [FILTRABLE] => N [VERSION] => 1 [USER_TYPE] => [IS_REQUIRED] => N [USER_TYPE_SETTINGS] => [HINT] => [PROPERTY_VALUE_ID] => 167208 [VALUE] => Сергей ДОРОХОВ [DESCRIPTION] => [VALUE_ENUM] => [VALUE_XML_ID] => [VALUE_SORT] => [~VALUE] => Сергей ДОРОХОВ [~DESCRIPTION] => [~NAME] => Подпись [~DEFAULT_VALUE] => ) [FORYANDEX] => Array ( [ID] => 278 [TIMESTAMP_X] => 2018-12-06 06:37:30 [IBLOCK_ID] => 52 [NAME] => Экспорт для Яндекса [ACTIVE] => Y [SORT] => 90 [CODE] => FORYANDEX [DEFAULT_VALUE] => Нет [PROPERTY_TYPE] => L [ROW_COUNT] => 1 [COL_COUNT] => 30 [LIST_TYPE] => C [MULTIPLE] => N [XML_ID] => 220 [FILE_TYPE] => jpg, gif, bmp, png, jpeg [MULTIPLE_CNT] => 5 [TMP_ID] => [LINK_IBLOCK_ID] => 0 [WITH_DESCRIPTION] => N [SEARCHABLE] => N [FILTRABLE] => N [VERSION] => 1 [USER_TYPE] => [IS_REQUIRED] => N [USER_TYPE_SETTINGS] => [HINT] => [PROPERTY_VALUE_ID] => 167207 [VALUE] => Да [DESCRIPTION] => [VALUE_ENUM] => Да [VALUE_XML_ID] => Y [VALUE_SORT] => 500 [VALUE_ENUM_ID] => 85 [~VALUE] => Да [~DESCRIPTION] => [~NAME] => Экспорт для Яндекса [~DEFAULT_VALUE] => Нет ) [IS_MAIN] => Array ( [ID] => 282 [TIMESTAMP_X] => 2018-12-14 14:39:11 [IBLOCK_ID] => 52 [NAME] => Самая главная [ACTIVE] => Y [SORT] => 100 [CODE] => IS_MAIN [DEFAULT_VALUE] => [PROPERTY_TYPE] => L [ROW_COUNT] => 1 [COL_COUNT] => 30 [LIST_TYPE] => C [MULTIPLE] => N [XML_ID] => [FILE_TYPE] => [MULTIPLE_CNT] => 5 [TMP_ID] => [LINK_IBLOCK_ID] => 0 [WITH_DESCRIPTION] => N [SEARCHABLE] => N [FILTRABLE] => N [VERSION] => 1 [USER_TYPE] => [IS_REQUIRED] => N [USER_TYPE_SETTINGS] => [HINT] => [PROPERTY_VALUE_ID] => [VALUE] => [DESCRIPTION] => [VALUE_ENUM] => [VALUE_XML_ID] => [VALUE_SORT] => [VALUE_ENUM_ID] => [~VALUE] => [~DESCRIPTION] => [~NAME] => Самая главная [~DEFAULT_VALUE] => ) [IS_IMPORTANT] => Array ( [ID] => 283 [TIMESTAMP_X] => 2018-12-14 14:39:11 [IBLOCK_ID] => 52 [NAME] => Важная [ACTIVE] => Y [SORT] => 150 [CODE] => IS_IMPORTANT [DEFAULT_VALUE] => [PROPERTY_TYPE] => L [ROW_COUNT] => 1 [COL_COUNT] => 30 [LIST_TYPE] => C [MULTIPLE] => N [XML_ID] => [FILE_TYPE] => [MULTIPLE_CNT] => 5 [TMP_ID] => [LINK_IBLOCK_ID] => 0 [WITH_DESCRIPTION] => N [SEARCHABLE] => N [FILTRABLE] => N [VERSION] => 1 [USER_TYPE] => [IS_REQUIRED] => N [USER_TYPE_SETTINGS] => [HINT] => [PROPERTY_VALUE_ID] => 167209 [VALUE] => Y [DESCRIPTION] => [VALUE_ENUM] => Y [VALUE_XML_ID] => Y [VALUE_SORT] => 500 [VALUE_ENUM_ID] => 87 [~VALUE] => Y [~DESCRIPTION] => [~NAME] => Важная [~DEFAULT_VALUE] => ) [WITH_WATERMARK] => Array ( [ID] => 290 [TIMESTAMP_X] => 2018-12-18 09:33:44 [IBLOCK_ID] => 52 [NAME] => Все фото с водяным знаком [ACTIVE] => Y [SORT] => 200 [CODE] => WITH_WATERMARK [DEFAULT_VALUE] => [PROPERTY_TYPE] => L [ROW_COUNT] => 1 [COL_COUNT] => 30 [LIST_TYPE] => C [MULTIPLE] => N [XML_ID] => [FILE_TYPE] => [MULTIPLE_CNT] => 5 [TMP_ID] => [LINK_IBLOCK_ID] => 0 [WITH_DESCRIPTION] => N [SEARCHABLE] => N [FILTRABLE] => N [VERSION] => 1 [USER_TYPE] => [IS_REQUIRED] => N [USER_TYPE_SETTINGS] => [HINT] => [PROPERTY_VALUE_ID] => [VALUE] => [DESCRIPTION] => [VALUE_ENUM] => [VALUE_XML_ID] => [VALUE_SORT] => [VALUE_ENUM_ID] => [~VALUE] => [~DESCRIPTION] => [~NAME] => Все фото с водяным знаком [~DEFAULT_VALUE] => ) [MORE_PHOTO] => Array ( [ID] => 284 [TIMESTAMP_X] => 2018-12-06 06:38:44 [IBLOCK_ID] => 52 [NAME] => Фото [ACTIVE] => Y [SORT] => 250 [CODE] => MORE_PHOTO [DEFAULT_VALUE] => [PROPERTY_TYPE] => F [ROW_COUNT] => 1 [COL_COUNT] => 30 [LIST_TYPE] => L [MULTIPLE] => Y [XML_ID] => [FILE_TYPE] => jpg, gif, bmp, png, jpeg [MULTIPLE_CNT] => 5 [TMP_ID] => [LINK_IBLOCK_ID] => 0 [WITH_DESCRIPTION] => N [SEARCHABLE] => N [FILTRABLE] => N [VERSION] => 1 [USER_TYPE] => [IS_REQUIRED] => N [USER_TYPE_SETTINGS] => [HINT] => [PROPERTY_VALUE_ID] => [VALUE] => [DESCRIPTION] => [VALUE_ENUM] => [VALUE_XML_ID] => [VALUE_SORT] => [~VALUE] => [~DESCRIPTION] => [~NAME] => Фото [~DEFAULT_VALUE] => ) [TEXT] => Array ( [ID] => 285 [TIMESTAMP_X] => 2018-12-06 06:38:44 [IBLOCK_ID] => 52 [NAME] => Абзацы [ACTIVE] => Y [SORT] => 300 [CODE] => TEXT [DEFAULT_VALUE] => Array ( [TEXT] => [TYPE] => HTML ) [PROPERTY_TYPE] => S [ROW_COUNT] => 1 [COL_COUNT] => 30 [LIST_TYPE] => L [MULTIPLE] => Y [XML_ID] => [FILE_TYPE] => [MULTIPLE_CNT] => 5 [TMP_ID] => [LINK_IBLOCK_ID] => 0 [WITH_DESCRIPTION] => N [SEARCHABLE] => N [FILTRABLE] => N [VERSION] => 1 [USER_TYPE] => ISWIN_HTML [IS_REQUIRED] => N [USER_TYPE_SETTINGS] => Array ( [height] => 200 ) [HINT] => [PROPERTY_VALUE_ID] => [VALUE] => [DESCRIPTION] => [VALUE_ENUM] => [VALUE_XML_ID] => [VALUE_SORT] => [~VALUE] => [~DESCRIPTION] => [~NAME] => Абзацы [~DEFAULT_VALUE] => Array ( [TEXT] => [TYPE] => HTML ) ) [CNT_LIKES] => Array ( [ID] => 286 [TIMESTAMP_X] => 2018-12-06 06:38:44 [IBLOCK_ID] => 52 [NAME] => Кол-во "Нравится" [ACTIVE] => Y [SORT] => 1000 [CODE] => CNT_LIKES [DEFAULT_VALUE] => [PROPERTY_TYPE] => N [ROW_COUNT] => 1 [COL_COUNT] => 30 [LIST_TYPE] => L [MULTIPLE] => N [XML_ID] => [FILE_TYPE] => [MULTIPLE_CNT] => 5 [TMP_ID] => [LINK_IBLOCK_ID] => 0 [WITH_DESCRIPTION] => N [SEARCHABLE] => N [FILTRABLE] => N [VERSION] => 1 [USER_TYPE] => [IS_REQUIRED] => N [USER_TYPE_SETTINGS] => [HINT] => [PROPERTY_VALUE_ID] => [VALUE] => [DESCRIPTION] => [VALUE_ENUM] => [VALUE_XML_ID] => [VALUE_SORT] => [~VALUE] => [~DESCRIPTION] => [~NAME] => Кол-во "Нравится" [~DEFAULT_VALUE] => ) [CNT_DISLIKES] => Array ( [ID] => 287 [TIMESTAMP_X] => 2018-12-06 06:38:44 [IBLOCK_ID] => 52 [NAME] => Кол-во "Не нравится" [ACTIVE] => Y [SORT] => 1001 [CODE] => CNT_DISLIKES [DEFAULT_VALUE] => [PROPERTY_TYPE] => N [ROW_COUNT] => 1 [COL_COUNT] => 30 [LIST_TYPE] => L [MULTIPLE] => N [XML_ID] => [FILE_TYPE] => [MULTIPLE_CNT] => 5 [TMP_ID] => [LINK_IBLOCK_ID] => 0 [WITH_DESCRIPTION] => N [SEARCHABLE] => N [FILTRABLE] => N [VERSION] => 1 [USER_TYPE] => [IS_REQUIRED] => N [USER_TYPE_SETTINGS] => [HINT] => [PROPERTY_VALUE_ID] => [VALUE] => [DESCRIPTION] => [VALUE_ENUM] => [VALUE_XML_ID] => [VALUE_SORT] => [~VALUE] => [~DESCRIPTION] => [~NAME] => Кол-во "Не нравится" [~DEFAULT_VALUE] => ) ) [DISPLAY_PROPERTIES] => Array ( ) [IPROPERTY_VALUES] => Array ( [ELEMENT_META_TITLE] => С нетрезвыми водителями будут бороться с помощью телеграм-бота [ELEMENT_META_DESCRIPTION] => По их вине на дорогах Воронежской области погибло более 300 человек [ELEMENT_PREVIEW_PICTURE_FILE_ALT] => [ELEMENT_PREVIEW_PICTURE_FILE_TITLE] => Новости [SECTION_META_TITLE] => С нетрезвыми водителями будут бороться с помощью телеграм-бота [SECTION_META_DESCRIPTION] => С нетрезвыми водителями будут бороться с помощью телеграм-бота - Главные новости Воронежа и области ) [RES_MOD] => Array ( [TITLE] => С нетрезвыми водителями будут бороться с помощью телеграм-бота [SECTIONS] => Array ( [269] => Array ( [ID] => 269 [~ID] => 269 [IBLOCK_ELEMENT_ID] => 249500 [~IBLOCK_ELEMENT_ID] => 249500 [NAME] => Общество [~NAME] => Общество [IBLOCK_ID] => 52 [~IBLOCK_ID] => 52 [SECTION_PAGE_URL] => /obshchestvo/ [~SECTION_PAGE_URL] => /obshchestvo/ [CODE] => obshchestvo [~CODE] => obshchestvo [EXTERNAL_ID] => 142 [~EXTERNAL_ID] => 142 [IBLOCK_TYPE_ID] => news [~IBLOCK_TYPE_ID] => news [IBLOCK_CODE] => novosti [~IBLOCK_CODE] => novosti [IBLOCK_EXTERNAL_ID] => 29 [~IBLOCK_EXTERNAL_ID] => 29 [GLOBAL_ACTIVE] => Y [~GLOBAL_ACTIVE] => Y ) ) [IS_ADV] => [CONTROL_ID] => bx_4182259225_249500 [CNT_LIKES] => 0 [ACTIVE_FROM_TITLE] => 09.05.2023 13:22:44 ) )
С нетрезвыми водителями…
С нетрезвыми водителями будут бороться с помощью телеграм-бота
Array ( [ID] => 172887 [TIMESTAMP_X] => Bitrix\Main\Type\DateTime Object ( [value:protected] => DateTime Object ( [date] => 2023-05-08 14:31:28.000000 [timezone_type] => 3 [timezone] => UTC ) ) [MODULE_ID] => iblock [HEIGHT] => 1707 [WIDTH] => 2560 [FILE_SIZE] => 651429 [CONTENT_TYPE] => image/jpeg [SUBDIR] => iblock/b4e [FILE_NAME] => filip-andrejevic-1LTunOck3es-unsplash2-scaled.jpg [ORIGINAL_NAME] => filip-andrejevic-1LTunOck3es-unsplash2-scaled.jpg [DESCRIPTION] => [HANDLER_ID] => [EXTERNAL_ID] => aed690a2667fdd5ca22f9929d3836b04 [~src] => [SRC] => /upload/resize_cache/iblock/b4e/285_285_0/filip-andrejevic-1LTunOck3es-unsplash2-scaled.jpg [UNSAFE_SRC] => /upload/iblock/b4e/filip-andrejevic-1LTunOck3es-unsplash2-scaled.jpg [SAFE_SRC] => /upload/iblock/b4e/filip-andrejevic-1LTunOck3es-unsplash2-scaled.jpg [ALT] => Продолжается набор на военную службу по контракту [TITLE] => Новости ) Array ( [DETAIL_PICTURE] => [~DETAIL_PICTURE] => [SHOW_COUNTER] => 1033 [~SHOW_COUNTER] => 1033 [ID] => 249501 [~ID] => 249501 [IBLOCK_ID] => 52 [~IBLOCK_ID] => 52 [IBLOCK_SECTION_ID] => 269 [~IBLOCK_SECTION_ID] => 269 [NAME] => Продолжается набор на… [~NAME] => Продолжается набор на военную службу по контракту [ACTIVE_FROM] => 08.05.2023 20:30:04 [~ACTIVE_FROM] => 08.05.2023 20:30:04 [TIMESTAMP_X] => 08.05.2023 20:31:28 [~TIMESTAMP_X] => 08.05.2023 20:31:28 [DETAIL_PAGE_URL] => /obshchestvo/prodolzhaetsya-nabor-na-voennuyu-sluzhbu-po-kontraktu-/ [~DETAIL_PAGE_URL] => /obshchestvo/prodolzhaetsya-nabor-na-voennuyu-sluzhbu-po-kontraktu-/ [LIST_PAGE_URL] => /novosti/ [~LIST_PAGE_URL] => /novosti/ [DETAIL_TEXT] => В Воронежской области продолжается набор желающих пойти на военную службу по контракту. Участвующим в СВО воронежцам Минобороны гарантирует единовременную выплату в размере 315 тыс. руб. Кроме того, добровольцы могут рассчитывать на денежное довольствие –от 204 тыс. руб. в месяц (в зависимости от воинского звания, должности и выслуги лет). Положены воронежским контрактникам и дополнительные выплаты от губернатора Воронежской области к должностному окладу добровольца –20 тыс. руб. в месяц. Контрактом предусмотрены премиальные выплаты за уничтожение боевой техники противника–от 50 тыс. руб.

Прошедшим службу по контракту в зоне СВО полагается получение статуса ветерана боевых действий (50-процентная оплата за коммунальные услуги, бесплатное лечение в медицинских учреждениях Министерства обороны РФ, бесплатный земельный участок в личное пользование 10 соток, ежемесячная денежная выплата от 3 тыс. руб., бесплатные путёвки в санатории, внеконкурсное поступление в вузы и др.).

Более подробную информацию можно узнать по телефону горячей линии: 8 (473) 252-06-79, а также на сайте prizyv36.ru.


Фото: unsplash.com
[~DETAIL_TEXT] => В Воронежской области продолжается набор желающих пойти на военную службу по контракту. Участвующим в СВО воронежцам Минобороны гарантирует единовременную выплату в размере 315 тыс. руб. Кроме того, добровольцы могут рассчитывать на денежное довольствие –от 204 тыс. руб. в месяц (в зависимости от воинского звания, должности и выслуги лет). Положены воронежским контрактникам и дополнительные выплаты от губернатора Воронежской области к должностному окладу добровольца –20 тыс. руб. в месяц. Контрактом предусмотрены премиальные выплаты за уничтожение боевой техники противника–от 50 тыс. руб.

Прошедшим службу по контракту в зоне СВО полагается получение статуса ветерана боевых действий (50-процентная оплата за коммунальные услуги, бесплатное лечение в медицинских учреждениях Министерства обороны РФ, бесплатный земельный участок в личное пользование 10 соток, ежемесячная денежная выплата от 3 тыс. руб., бесплатные путёвки в санатории, внеконкурсное поступление в вузы и др.).

Более подробную информацию можно узнать по телефону горячей линии: 8 (473) 252-06-79, а также на сайте prizyv36.ru.


Фото: unsplash.com
[DETAIL_TEXT_TYPE] => html [~DETAIL_TEXT_TYPE] => html [PREVIEW_TEXT] => [~PREVIEW_TEXT] => Заключившие контракт с Министерством обороны могут рассчитывать на единовременную выплату 315 тыс. руб. и ежемесячное довольствие от 204 тыс. руб. [PREVIEW_TEXT_TYPE] => text [~PREVIEW_TEXT_TYPE] => text [PREVIEW_PICTURE] => Array ( [ID] => 172887 [TIMESTAMP_X] => Bitrix\Main\Type\DateTime Object ( [value:protected] => DateTime Object ( [date] => 2023-05-08 14:31:28.000000 [timezone_type] => 3 [timezone] => UTC ) ) [MODULE_ID] => iblock [HEIGHT] => 1707 [WIDTH] => 2560 [FILE_SIZE] => 651429 [CONTENT_TYPE] => image/jpeg [SUBDIR] => iblock/b4e [FILE_NAME] => filip-andrejevic-1LTunOck3es-unsplash2-scaled.jpg [ORIGINAL_NAME] => filip-andrejevic-1LTunOck3es-unsplash2-scaled.jpg [DESCRIPTION] => [HANDLER_ID] => [EXTERNAL_ID] => aed690a2667fdd5ca22f9929d3836b04 [~src] => [SRC] => /upload/iblock/b4e/filip-andrejevic-1LTunOck3es-unsplash2-scaled.jpg [UNSAFE_SRC] => /upload/iblock/b4e/filip-andrejevic-1LTunOck3es-unsplash2-scaled.jpg [SAFE_SRC] => /upload/iblock/b4e/filip-andrejevic-1LTunOck3es-unsplash2-scaled.jpg [ALT] => Продолжается набор на военную службу по контракту [TITLE] => Новости ) [~PREVIEW_PICTURE] => 172887 [LANG_DIR] => / [~LANG_DIR] => / [SORT] => 500 [~SORT] => 500 [CODE] => prodolzhaetsya-nabor-na-voennuyu-sluzhbu-po-kontraktu- [~CODE] => prodolzhaetsya-nabor-na-voennuyu-sluzhbu-po-kontraktu- [EXTERNAL_ID] => 249501 [~EXTERNAL_ID] => 249501 [IBLOCK_TYPE_ID] => news [~IBLOCK_TYPE_ID] => news [IBLOCK_CODE] => novosti [~IBLOCK_CODE] => novosti [IBLOCK_EXTERNAL_ID] => 29 [~IBLOCK_EXTERNAL_ID] => 29 [LID] => ru [~LID] => ru [EDIT_LINK] => [DELETE_LINK] => [DISPLAY_ACTIVE_FROM] => 08.05.2023 20:30 [FIELDS] => Array ( [DETAIL_PICTURE] => [SHOW_COUNTER] => 1033 ) [PROPERTIES] => Array ( [REGION_ID] => Array ( [ID] => 279 [TIMESTAMP_X] => 2018-12-06 06:37:30 [IBLOCK_ID] => 52 [NAME] => Регион [ACTIVE] => Y [SORT] => 40 [CODE] => REGION_ID [DEFAULT_VALUE] => [PROPERTY_TYPE] => E [ROW_COUNT] => 1 [COL_COUNT] => 30 [LIST_TYPE] => L [MULTIPLE] => Y [XML_ID] => [FILE_TYPE] => [MULTIPLE_CNT] => 5 [TMP_ID] => [LINK_IBLOCK_ID] => 37 [WITH_DESCRIPTION] => N [SEARCHABLE] => N [FILTRABLE] => N [VERSION] => 1 [USER_TYPE] => [IS_REQUIRED] => N [USER_TYPE_SETTINGS] => [HINT] => [PROPERTY_VALUE_ID] => [VALUE] => [DESCRIPTION] => [VALUE_ENUM] => [VALUE_XML_ID] => [VALUE_SORT] => [~VALUE] => [~DESCRIPTION] => [~NAME] => Регион [~DEFAULT_VALUE] => ) [AUTHOR_ID] => Array ( [ID] => 280 [TIMESTAMP_X] => 2018-12-06 06:37:30 [IBLOCK_ID] => 52 [NAME] => Автор [ACTIVE] => Y [SORT] => 50 [CODE] => AUTHOR_ID [DEFAULT_VALUE] => [PROPERTY_TYPE] => E [ROW_COUNT] => 1 [COL_COUNT] => 30 [LIST_TYPE] => L [MULTIPLE] => Y [XML_ID] => [FILE_TYPE] => [MULTIPLE_CNT] => 5 [TMP_ID] => [LINK_IBLOCK_ID] => 36 [WITH_DESCRIPTION] => N [SEARCHABLE] => N [FILTRABLE] => N [VERSION] => 1 [USER_TYPE] => [IS_REQUIRED] => N [USER_TYPE_SETTINGS] => [HINT] => [PROPERTY_VALUE_ID] => [VALUE] => [DESCRIPTION] => [VALUE_ENUM] => [VALUE_XML_ID] => [VALUE_SORT] => [~VALUE] => [~DESCRIPTION] => [~NAME] => Автор [~DEFAULT_VALUE] => ) [SIGN] => Array ( [ID] => 281 [TIMESTAMP_X] => 2018-12-06 06:37:30 [IBLOCK_ID] => 52 [NAME] => Подпись [ACTIVE] => Y [SORT] => 55 [CODE] => SIGN [DEFAULT_VALUE] => [PROPERTY_TYPE] => S [ROW_COUNT] => 1 [COL_COUNT] => 30 [LIST_TYPE] => L [MULTIPLE] => N [XML_ID] => [FILE_TYPE] => [MULTIPLE_CNT] => 5 [TMP_ID] => [LINK_IBLOCK_ID] => 0 [WITH_DESCRIPTION] => N [SEARCHABLE] => N [FILTRABLE] => N [VERSION] => 1 [USER_TYPE] => [IS_REQUIRED] => N [USER_TYPE_SETTINGS] => [HINT] => [PROPERTY_VALUE_ID] => [VALUE] => [DESCRIPTION] => [VALUE_ENUM] => [VALUE_XML_ID] => [VALUE_SORT] => [~VALUE] => [~DESCRIPTION] => [~NAME] => Подпись [~DEFAULT_VALUE] => ) [FORYANDEX] => Array ( [ID] => 278 [TIMESTAMP_X] => 2018-12-06 06:37:30 [IBLOCK_ID] => 52 [NAME] => Экспорт для Яндекса [ACTIVE] => Y [SORT] => 90 [CODE] => FORYANDEX [DEFAULT_VALUE] => Нет [PROPERTY_TYPE] => L [ROW_COUNT] => 1 [COL_COUNT] => 30 [LIST_TYPE] => C [MULTIPLE] => N [XML_ID] => 220 [FILE_TYPE] => jpg, gif, bmp, png, jpeg [MULTIPLE_CNT] => 5 [TMP_ID] => [LINK_IBLOCK_ID] => 0 [WITH_DESCRIPTION] => N [SEARCHABLE] => N [FILTRABLE] => N [VERSION] => 1 [USER_TYPE] => [IS_REQUIRED] => N [USER_TYPE_SETTINGS] => [HINT] => [PROPERTY_VALUE_ID] => 167210 [VALUE] => Да [DESCRIPTION] => [VALUE_ENUM] => Да [VALUE_XML_ID] => Y [VALUE_SORT] => 500 [VALUE_ENUM_ID] => 85 [~VALUE] => Да [~DESCRIPTION] => [~NAME] => Экспорт для Яндекса [~DEFAULT_VALUE] => Нет ) [IS_MAIN] => Array ( [ID] => 282 [TIMESTAMP_X] => 2018-12-14 14:39:11 [IBLOCK_ID] => 52 [NAME] => Самая главная [ACTIVE] => Y [SORT] => 100 [CODE] => IS_MAIN [DEFAULT_VALUE] => [PROPERTY_TYPE] => L [ROW_COUNT] => 1 [COL_COUNT] => 30 [LIST_TYPE] => C [MULTIPLE] => N [XML_ID] => [FILE_TYPE] => [MULTIPLE_CNT] => 5 [TMP_ID] => [LINK_IBLOCK_ID] => 0 [WITH_DESCRIPTION] => N [SEARCHABLE] => N [FILTRABLE] => N [VERSION] => 1 [USER_TYPE] => [IS_REQUIRED] => N [USER_TYPE_SETTINGS] => [HINT] => [PROPERTY_VALUE_ID] => [VALUE] => [DESCRIPTION] => [VALUE_ENUM] => [VALUE_XML_ID] => [VALUE_SORT] => [VALUE_ENUM_ID] => [~VALUE] => [~DESCRIPTION] => [~NAME] => Самая главная [~DEFAULT_VALUE] => ) [IS_IMPORTANT] => Array ( [ID] => 283 [TIMESTAMP_X] => 2018-12-14 14:39:11 [IBLOCK_ID] => 52 [NAME] => Важная [ACTIVE] => Y [SORT] => 150 [CODE] => IS_IMPORTANT [DEFAULT_VALUE] => [PROPERTY_TYPE] => L [ROW_COUNT] => 1 [COL_COUNT] => 30 [LIST_TYPE] => C [MULTIPLE] => N [XML_ID] => [FILE_TYPE] => [MULTIPLE_CNT] => 5 [TMP_ID] => [LINK_IBLOCK_ID] => 0 [WITH_DESCRIPTION] => N [SEARCHABLE] => N [FILTRABLE] => N [VERSION] => 1 [USER_TYPE] => [IS_REQUIRED] => N [USER_TYPE_SETTINGS] => [HINT] => [PROPERTY_VALUE_ID] => 167211 [VALUE] => Y [DESCRIPTION] => [VALUE_ENUM] => Y [VALUE_XML_ID] => Y [VALUE_SORT] => 500 [VALUE_ENUM_ID] => 87 [~VALUE] => Y [~DESCRIPTION] => [~NAME] => Важная [~DEFAULT_VALUE] => ) [WITH_WATERMARK] => Array ( [ID] => 290 [TIMESTAMP_X] => 2018-12-18 09:33:44 [IBLOCK_ID] => 52 [NAME] => Все фото с водяным знаком [ACTIVE] => Y [SORT] => 200 [CODE] => WITH_WATERMARK [DEFAULT_VALUE] => [PROPERTY_TYPE] => L [ROW_COUNT] => 1 [COL_COUNT] => 30 [LIST_TYPE] => C [MULTIPLE] => N [XML_ID] => [FILE_TYPE] => [MULTIPLE_CNT] => 5 [TMP_ID] => [LINK_IBLOCK_ID] => 0 [WITH_DESCRIPTION] => N [SEARCHABLE] => N [FILTRABLE] => N [VERSION] => 1 [USER_TYPE] => [IS_REQUIRED] => N [USER_TYPE_SETTINGS] => [HINT] => [PROPERTY_VALUE_ID] => [VALUE] => [DESCRIPTION] => [VALUE_ENUM] => [VALUE_XML_ID] => [VALUE_SORT] => [VALUE_ENUM_ID] => [~VALUE] => [~DESCRIPTION] => [~NAME] => Все фото с водяным знаком [~DEFAULT_VALUE] => ) [MORE_PHOTO] => Array ( [ID] => 284 [TIMESTAMP_X] => 2018-12-06 06:38:44 [IBLOCK_ID] => 52 [NAME] => Фото [ACTIVE] => Y [SORT] => 250 [CODE] => MORE_PHOTO [DEFAULT_VALUE] => [PROPERTY_TYPE] => F [ROW_COUNT] => 1 [COL_COUNT] => 30 [LIST_TYPE] => L [MULTIPLE] => Y [XML_ID] => [FILE_TYPE] => jpg, gif, bmp, png, jpeg [MULTIPLE_CNT] => 5 [TMP_ID] => [LINK_IBLOCK_ID] => 0 [WITH_DESCRIPTION] => N [SEARCHABLE] => N [FILTRABLE] => N [VERSION] => 1 [USER_TYPE] => [IS_REQUIRED] => N [USER_TYPE_SETTINGS] => [HINT] => [PROPERTY_VALUE_ID] => [VALUE] => [DESCRIPTION] => [VALUE_ENUM] => [VALUE_XML_ID] => [VALUE_SORT] => [~VALUE] => [~DESCRIPTION] => [~NAME] => Фото [~DEFAULT_VALUE] => ) [TEXT] => Array ( [ID] => 285 [TIMESTAMP_X] => 2018-12-06 06:38:44 [IBLOCK_ID] => 52 [NAME] => Абзацы [ACTIVE] => Y [SORT] => 300 [CODE] => TEXT [DEFAULT_VALUE] => Array ( [TEXT] => [TYPE] => HTML ) [PROPERTY_TYPE] => S [ROW_COUNT] => 1 [COL_COUNT] => 30 [LIST_TYPE] => L [MULTIPLE] => Y [XML_ID] => [FILE_TYPE] => [MULTIPLE_CNT] => 5 [TMP_ID] => [LINK_IBLOCK_ID] => 0 [WITH_DESCRIPTION] => N [SEARCHABLE] => N [FILTRABLE] => N [VERSION] => 1 [USER_TYPE] => ISWIN_HTML [IS_REQUIRED] => N [USER_TYPE_SETTINGS] => Array ( [height] => 200 ) [HINT] => [PROPERTY_VALUE_ID] => [VALUE] => [DESCRIPTION] => [VALUE_ENUM] => [VALUE_XML_ID] => [VALUE_SORT] => [~VALUE] => [~DESCRIPTION] => [~NAME] => Абзацы [~DEFAULT_VALUE] => Array ( [TEXT] => [TYPE] => HTML ) ) [CNT_LIKES] => Array ( [ID] => 286 [TIMESTAMP_X] => 2018-12-06 06:38:44 [IBLOCK_ID] => 52 [NAME] => Кол-во "Нравится" [ACTIVE] => Y [SORT] => 1000 [CODE] => CNT_LIKES [DEFAULT_VALUE] => [PROPERTY_TYPE] => N [ROW_COUNT] => 1 [COL_COUNT] => 30 [LIST_TYPE] => L [MULTIPLE] => N [XML_ID] => [FILE_TYPE] => [MULTIPLE_CNT] => 5 [TMP_ID] => [LINK_IBLOCK_ID] => 0 [WITH_DESCRIPTION] => N [SEARCHABLE] => N [FILTRABLE] => N [VERSION] => 1 [USER_TYPE] => [IS_REQUIRED] => N [USER_TYPE_SETTINGS] => [HINT] => [PROPERTY_VALUE_ID] => [VALUE] => [DESCRIPTION] => [VALUE_ENUM] => [VALUE_XML_ID] => [VALUE_SORT] => [~VALUE] => [~DESCRIPTION] => [~NAME] => Кол-во "Нравится" [~DEFAULT_VALUE] => ) [CNT_DISLIKES] => Array ( [ID] => 287 [TIMESTAMP_X] => 2018-12-06 06:38:44 [IBLOCK_ID] => 52 [NAME] => Кол-во "Не нравится" [ACTIVE] => Y [SORT] => 1001 [CODE] => CNT_DISLIKES [DEFAULT_VALUE] => [PROPERTY_TYPE] => N [ROW_COUNT] => 1 [COL_COUNT] => 30 [LIST_TYPE] => L [MULTIPLE] => N [XML_ID] => [FILE_TYPE] => [MULTIPLE_CNT] => 5 [TMP_ID] => [LINK_IBLOCK_ID] => 0 [WITH_DESCRIPTION] => N [SEARCHABLE] => N [FILTRABLE] => N [VERSION] => 1 [USER_TYPE] => [IS_REQUIRED] => N [USER_TYPE_SETTINGS] => [HINT] => [PROPERTY_VALUE_ID] => [VALUE] => [DESCRIPTION] => [VALUE_ENUM] => [VALUE_XML_ID] => [VALUE_SORT] => [~VALUE] => [~DESCRIPTION] => [~NAME] => Кол-во "Не нравится" [~DEFAULT_VALUE] => ) ) [DISPLAY_PROPERTIES] => Array ( ) [IPROPERTY_VALUES] => Array ( [ELEMENT_META_TITLE] => Продолжается набор на военную службу по контракту [ELEMENT_META_DESCRIPTION] => Заключившие контракт с Министерством обороны могут рассчитывать на единовременную выплату 315 тыс. руб. и ежемесячное довольствие от 204 тыс. руб. [ELEMENT_PREVIEW_PICTURE_FILE_ALT] => [ELEMENT_PREVIEW_PICTURE_FILE_TITLE] => Новости [SECTION_META_TITLE] => Продолжается набор на военную службу по контракту [SECTION_META_DESCRIPTION] => Продолжается набор на военную службу по контракту - Главные новости Воронежа и области ) [RES_MOD] => Array ( [TITLE] => Продолжается набор на военную службу по контракту [SECTIONS] => Array ( [269] => Array ( [ID] => 269 [~ID] => 269 [IBLOCK_ELEMENT_ID] => 249501 [~IBLOCK_ELEMENT_ID] => 249501 [NAME] => Общество [~NAME] => Общество [IBLOCK_ID] => 52 [~IBLOCK_ID] => 52 [SECTION_PAGE_URL] => /obshchestvo/ [~SECTION_PAGE_URL] => /obshchestvo/ [CODE] => obshchestvo [~CODE] => obshchestvo [EXTERNAL_ID] => 142 [~EXTERNAL_ID] => 142 [IBLOCK_TYPE_ID] => news [~IBLOCK_TYPE_ID] => news [IBLOCK_CODE] => novosti [~IBLOCK_CODE] => novosti [IBLOCK_EXTERNAL_ID] => 29 [~IBLOCK_EXTERNAL_ID] => 29 [GLOBAL_ACTIVE] => Y [~GLOBAL_ACTIVE] => Y ) ) [IS_ADV] => [CONTROL_ID] => bx_4182259225_249501 [CNT_LIKES] => 0 [ACTIVE_FROM_TITLE] => 08.05.2023 20:30:04 ) )
Продолжается набор на…
Продолжается набор на военную службу по контракту
Array ( [ID] => 172880 [TIMESTAMP_X] => Bitrix\Main\Type\DateTime Object ( [value:protected] => DateTime Object ( [date] => 2023-05-08 13:59:14.000000 [timezone_type] => 3 [timezone] => UTC ) ) [MODULE_ID] => iblock [HEIGHT] => 960 [WIDTH] => 1280 [FILE_SIZE] => 182179 [CONTENT_TYPE] => image/jpeg [SUBDIR] => iblock/d13 [FILE_NAME] => 7de5d25e-0005-4d1e-9a1d-950662ee6def.jpg [ORIGINAL_NAME] => 7de5d25e-0005-4d1e-9a1d-950662ee6def.jpg [DESCRIPTION] => [HANDLER_ID] => [EXTERNAL_ID] => 7b3a5f86ec2e8c95b2fa709973fd5b75 [~src] => [SRC] => /upload/resize_cache/iblock/d13/285_285_0/7de5d25e-0005-4d1e-9a1d-950662ee6def.jpg [UNSAFE_SRC] => /upload/iblock/d13/7de5d25e-0005-4d1e-9a1d-950662ee6def.jpg [SAFE_SRC] => /upload/iblock/d13/7de5d25e-0005-4d1e-9a1d-950662ee6def.jpg [ALT] => Воронежские автоинспекторы проверили масштабный рейд [TITLE] => Новости ) Array ( [DETAIL_PICTURE] => [~DETAIL_PICTURE] => [SHOW_COUNTER] => 802 [~SHOW_COUNTER] => 802 [ID] => 249496 [~ID] => 249496 [IBLOCK_ID] => 52 [~IBLOCK_ID] => 52 [IBLOCK_SECTION_ID] => 269 [~IBLOCK_SECTION_ID] => 269 [NAME] => Воронежские… [~NAME] => Воронежские автоинспекторы проверили масштабный рейд [ACTIVE_FROM] => 08.05.2023 19:56:33 [~ACTIVE_FROM] => 08.05.2023 19:56:33 [TIMESTAMP_X] => 08.05.2023 19:59:14 [~TIMESTAMP_X] => 08.05.2023 19:59:14 [DETAIL_PAGE_URL] => /obshchestvo/voronezhskie-avtoinspektory-proverili-masshtabnyy-reyd-/ [~DETAIL_PAGE_URL] => /obshchestvo/voronezhskie-avtoinspektory-proverili-masshtabnyy-reyd-/ [LIST_PAGE_URL] => /novosti/ [~LIST_PAGE_URL] => /novosti/ [DETAIL_TEXT] => Сотрудники регионального управления ГИБДД РФ по Воронежской области провели рейд «Безопасная дорога», в ходе которого выявляли злостных нарушителей ПДД. Экипажи дорожно-патрульной службы несли службу в усиленном режиме. Также участие в рейде приняли волонтёры и студенты.

За время рейда автоинспекторы привлекли к ответственности 35 водителей, которые не захотели пропускать пешеходов на дорожном переходе. Ещё пять автомобилистов ездили на машинах с тонированными лобовыми стеклами, что также является нарушением. Также полицейские выявили четырёх человек, которые управляли авто в состоянии алкогольного опьянения. Кроме того, штрафы были выписаны 16 пешеходам, которые переходили дорогу в неположенном месте.

– Подобные рейды мы проводим регулярно. И их цель – не оштрафовать как можно больше водителей и пешеходов, а напомнить в очередной раз всем участником дорожного движения о важности соблюдения ПДД, – отметили в пресс-службе ГУ ГИБДД РФ по Воронежской области.

Напомним, в 2023 году Воронежской области зарегистрирован рост дорожно-транспортных происшествий, связанных с наездом на пешеходов – таких ДТП произошло 199. В результате аварий 27 человек погибли и 184 получили травмы различной степени тяжести.


Фото пресс-службы ГУ ГИБДД РФ по Воронежской области [~DETAIL_TEXT] => Сотрудники регионального управления ГИБДД РФ по Воронежской области провели рейд «Безопасная дорога», в ходе которого выявляли злостных нарушителей ПДД. Экипажи дорожно-патрульной службы несли службу в усиленном режиме. Также участие в рейде приняли волонтёры и студенты.

За время рейда автоинспекторы привлекли к ответственности 35 водителей, которые не захотели пропускать пешеходов на дорожном переходе. Ещё пять автомобилистов ездили на машинах с тонированными лобовыми стеклами, что также является нарушением. Также полицейские выявили четырёх человек, которые управляли авто в состоянии алкогольного опьянения. Кроме того, штрафы были выписаны 16 пешеходам, которые переходили дорогу в неположенном месте.

– Подобные рейды мы проводим регулярно. И их цель – не оштрафовать как можно больше водителей и пешеходов, а напомнить в очередной раз всем участником дорожного движения о важности соблюдения ПДД, – отметили в пресс-службе ГУ ГИБДД РФ по Воронежской области.

Напомним, в 2023 году Воронежской области зарегистрирован рост дорожно-транспортных происшествий, связанных с наездом на пешеходов – таких ДТП произошло 199. В результате аварий 27 человек погибли и 184 получили травмы различной степени тяжести.


Фото пресс-службы ГУ ГИБДД РФ по Воронежской области [DETAIL_TEXT_TYPE] => html [~DETAIL_TEXT_TYPE] => html [PREVIEW_TEXT] => [~PREVIEW_TEXT] => [PREVIEW_TEXT_TYPE] => text [~PREVIEW_TEXT_TYPE] => text [PREVIEW_PICTURE] => Array ( [ID] => 172880 [TIMESTAMP_X] => Bitrix\Main\Type\DateTime Object ( [value:protected] => DateTime Object ( [date] => 2023-05-08 13:59:14.000000 [timezone_type] => 3 [timezone] => UTC ) ) [MODULE_ID] => iblock [HEIGHT] => 960 [WIDTH] => 1280 [FILE_SIZE] => 182179 [CONTENT_TYPE] => image/jpeg [SUBDIR] => iblock/d13 [FILE_NAME] => 7de5d25e-0005-4d1e-9a1d-950662ee6def.jpg [ORIGINAL_NAME] => 7de5d25e-0005-4d1e-9a1d-950662ee6def.jpg [DESCRIPTION] => [HANDLER_ID] => [EXTERNAL_ID] => 7b3a5f86ec2e8c95b2fa709973fd5b75 [~src] => [SRC] => /upload/iblock/d13/7de5d25e-0005-4d1e-9a1d-950662ee6def.jpg [UNSAFE_SRC] => /upload/iblock/d13/7de5d25e-0005-4d1e-9a1d-950662ee6def.jpg [SAFE_SRC] => /upload/iblock/d13/7de5d25e-0005-4d1e-9a1d-950662ee6def.jpg [ALT] => Воронежские автоинспекторы проверили масштабный рейд [TITLE] => Новости ) [~PREVIEW_PICTURE] => 172880 [LANG_DIR] => / [~LANG_DIR] => / [SORT] => 500 [~SORT] => 500 [CODE] => voronezhskie-avtoinspektory-proverili-masshtabnyy-reyd- [~CODE] => voronezhskie-avtoinspektory-proverili-masshtabnyy-reyd- [EXTERNAL_ID] => 249496 [~EXTERNAL_ID] => 249496 [IBLOCK_TYPE_ID] => news [~IBLOCK_TYPE_ID] => news [IBLOCK_CODE] => novosti [~IBLOCK_CODE] => novosti [IBLOCK_EXTERNAL_ID] => 29 [~IBLOCK_EXTERNAL_ID] => 29 [LID] => ru [~LID] => ru [EDIT_LINK] => [DELETE_LINK] => [DISPLAY_ACTIVE_FROM] => 08.05.2023 19:56 [FIELDS] => Array ( [DETAIL_PICTURE] => [SHOW_COUNTER] => 802 ) [PROPERTIES] => Array ( [REGION_ID] => Array ( [ID] => 279 [TIMESTAMP_X] => 2018-12-06 06:37:30 [IBLOCK_ID] => 52 [NAME] => Регион [ACTIVE] => Y [SORT] => 40 [CODE] => REGION_ID [DEFAULT_VALUE] => [PROPERTY_TYPE] => E [ROW_COUNT] => 1 [COL_COUNT] => 30 [LIST_TYPE] => L [MULTIPLE] => Y [XML_ID] => [FILE_TYPE] => [MULTIPLE_CNT] => 5 [TMP_ID] => [LINK_IBLOCK_ID] => 37 [WITH_DESCRIPTION] => N [SEARCHABLE] => N [FILTRABLE] => N [VERSION] => 1 [USER_TYPE] => [IS_REQUIRED] => N [USER_TYPE_SETTINGS] => [HINT] => [PROPERTY_VALUE_ID] => [VALUE] => [DESCRIPTION] => [VALUE_ENUM] => [VALUE_XML_ID] => [VALUE_SORT] => [~VALUE] => [~DESCRIPTION] => [~NAME] => Регион [~DEFAULT_VALUE] => ) [AUTHOR_ID] => Array ( [ID] => 280 [TIMESTAMP_X] => 2018-12-06 06:37:30 [IBLOCK_ID] => 52 [NAME] => Автор [ACTIVE] => Y [SORT] => 50 [CODE] => AUTHOR_ID [DEFAULT_VALUE] => [PROPERTY_TYPE] => E [ROW_COUNT] => 1 [COL_COUNT] => 30 [LIST_TYPE] => L [MULTIPLE] => Y [XML_ID] => [FILE_TYPE] => [MULTIPLE_CNT] => 5 [TMP_ID] => [LINK_IBLOCK_ID] => 36 [WITH_DESCRIPTION] => N [SEARCHABLE] => N [FILTRABLE] => N [VERSION] => 1 [USER_TYPE] => [IS_REQUIRED] => N [USER_TYPE_SETTINGS] => [HINT] => [PROPERTY_VALUE_ID] => [VALUE] => [DESCRIPTION] => [VALUE_ENUM] => [VALUE_XML_ID] => [VALUE_SORT] => [~VALUE] => [~DESCRIPTION] => [~NAME] => Автор [~DEFAULT_VALUE] => ) [SIGN] => Array ( [ID] => 281 [TIMESTAMP_X] => 2018-12-06 06:37:30 [IBLOCK_ID] => 52 [NAME] => Подпись [ACTIVE] => Y [SORT] => 55 [CODE] => SIGN [DEFAULT_VALUE] => [PROPERTY_TYPE] => S [ROW_COUNT] => 1 [COL_COUNT] => 30 [LIST_TYPE] => L [MULTIPLE] => N [XML_ID] => [FILE_TYPE] => [MULTIPLE_CNT] => 5 [TMP_ID] => [LINK_IBLOCK_ID] => 0 [WITH_DESCRIPTION] => N [SEARCHABLE] => N [FILTRABLE] => N [VERSION] => 1 [USER_TYPE] => [IS_REQUIRED] => N [USER_TYPE_SETTINGS] => [HINT] => [PROPERTY_VALUE_ID] => 167196 [VALUE] => Сергей ДОРОХОВ [DESCRIPTION] => [VALUE_ENUM] => [VALUE_XML_ID] => [VALUE_SORT] => [~VALUE] => Сергей ДОРОХОВ [~DESCRIPTION] => [~NAME] => Подпись [~DEFAULT_VALUE] => ) [FORYANDEX] => Array ( [ID] => 278 [TIMESTAMP_X] => 2018-12-06 06:37:30 [IBLOCK_ID] => 52 [NAME] => Экспорт для Яндекса [ACTIVE] => Y [SORT] => 90 [CODE] => FORYANDEX [DEFAULT_VALUE] => Нет [PROPERTY_TYPE] => L [ROW_COUNT] => 1 [COL_COUNT] => 30 [LIST_TYPE] => C [MULTIPLE] => N [XML_ID] => 220 [FILE_TYPE] => jpg, gif, bmp, png, jpeg [MULTIPLE_CNT] => 5 [TMP_ID] => [LINK_IBLOCK_ID] => 0 [WITH_DESCRIPTION] => N [SEARCHABLE] => N [FILTRABLE] => N [VERSION] => 1 [USER_TYPE] => [IS_REQUIRED] => N [USER_TYPE_SETTINGS] => [HINT] => [PROPERTY_VALUE_ID] => 167195 [VALUE] => Да [DESCRIPTION] => [VALUE_ENUM] => Да [VALUE_XML_ID] => Y [VALUE_SORT] => 500 [VALUE_ENUM_ID] => 85 [~VALUE] => Да [~DESCRIPTION] => [~NAME] => Экспорт для Яндекса [~DEFAULT_VALUE] => Нет ) [IS_MAIN] => Array ( [ID] => 282 [TIMESTAMP_X] => 2018-12-14 14:39:11 [IBLOCK_ID] => 52 [NAME] => Самая главная [ACTIVE] => Y [SORT] => 100 [CODE] => IS_MAIN [DEFAULT_VALUE] => [PROPERTY_TYPE] => L [ROW_COUNT] => 1 [COL_COUNT] => 30 [LIST_TYPE] => C [MULTIPLE] => N [XML_ID] => [FILE_TYPE] => [MULTIPLE_CNT] => 5 [TMP_ID] => [LINK_IBLOCK_ID] => 0 [WITH_DESCRIPTION] => N [SEARCHABLE] => N [FILTRABLE] => N [VERSION] => 1 [USER_TYPE] => [IS_REQUIRED] => N [USER_TYPE_SETTINGS] => [HINT] => [PROPERTY_VALUE_ID] => [VALUE] => [DESCRIPTION] => [VALUE_ENUM] => [VALUE_XML_ID] => [VALUE_SORT] => [VALUE_ENUM_ID] => [~VALUE] => [~DESCRIPTION] => [~NAME] => Самая главная [~DEFAULT_VALUE] => ) [IS_IMPORTANT] => Array ( [ID] => 283 [TIMESTAMP_X] => 2018-12-14 14:39:11 [IBLOCK_ID] => 52 [NAME] => Важная [ACTIVE] => Y [SORT] => 150 [CODE] => IS_IMPORTANT [DEFAULT_VALUE] => [PROPERTY_TYPE] => L [ROW_COUNT] => 1 [COL_COUNT] => 30 [LIST_TYPE] => C [MULTIPLE] => N [XML_ID] => [FILE_TYPE] => [MULTIPLE_CNT] => 5 [TMP_ID] => [LINK_IBLOCK_ID] => 0 [WITH_DESCRIPTION] => N [SEARCHABLE] => N [FILTRABLE] => N [VERSION] => 1 [USER_TYPE] => [IS_REQUIRED] => N [USER_TYPE_SETTINGS] => [HINT] => [PROPERTY_VALUE_ID] => 167197 [VALUE] => Y [DESCRIPTION] => [VALUE_ENUM] => Y [VALUE_XML_ID] => Y [VALUE_SORT] => 500 [VALUE_ENUM_ID] => 87 [~VALUE] => Y [~DESCRIPTION] => [~NAME] => Важная [~DEFAULT_VALUE] => ) [WITH_WATERMARK] => Array ( [ID] => 290 [TIMESTAMP_X] => 2018-12-18 09:33:44 [IBLOCK_ID] => 52 [NAME] => Все фото с водяным знаком [ACTIVE] => Y [SORT] => 200 [CODE] => WITH_WATERMARK [DEFAULT_VALUE] => [PROPERTY_TYPE] => L [ROW_COUNT] => 1 [COL_COUNT] => 30 [LIST_TYPE] => C [MULTIPLE] => N [XML_ID] => [FILE_TYPE] => [MULTIPLE_CNT] => 5 [TMP_ID] => [LINK_IBLOCK_ID] => 0 [WITH_DESCRIPTION] => N [SEARCHABLE] => N [FILTRABLE] => N [VERSION] => 1 [USER_TYPE] => [IS_REQUIRED] => N [USER_TYPE_SETTINGS] => [HINT] => [PROPERTY_VALUE_ID] => [VALUE] => [DESCRIPTION] => [VALUE_ENUM] => [VALUE_XML_ID] => [VALUE_SORT] => [VALUE_ENUM_ID] => [~VALUE] => [~DESCRIPTION] => [~NAME] => Все фото с водяным знаком [~DEFAULT_VALUE] => ) [MORE_PHOTO] => Array ( [ID] => 284 [TIMESTAMP_X] => 2018-12-06 06:38:44 [IBLOCK_ID] => 52 [NAME] => Фото [ACTIVE] => Y [SORT] => 250 [CODE] => MORE_PHOTO [DEFAULT_VALUE] => [PROPERTY_TYPE] => F [ROW_COUNT] => 1 [COL_COUNT] => 30 [LIST_TYPE] => L [MULTIPLE] => Y [XML_ID] => [FILE_TYPE] => jpg, gif, bmp, png, jpeg [MULTIPLE_CNT] => 5 [TMP_ID] => [LINK_IBLOCK_ID] => 0 [WITH_DESCRIPTION] => N [SEARCHABLE] => N [FILTRABLE] => N [VERSION] => 1 [USER_TYPE] => [IS_REQUIRED] => N [USER_TYPE_SETTINGS] => [HINT] => [PROPERTY_VALUE_ID] => [VALUE] => [DESCRIPTION] => [VALUE_ENUM] => [VALUE_XML_ID] => [VALUE_SORT] => [~VALUE] => [~DESCRIPTION] => [~NAME] => Фото [~DEFAULT_VALUE] => ) [TEXT] => Array ( [ID] => 285 [TIMESTAMP_X] => 2018-12-06 06:38:44 [IBLOCK_ID] => 52 [NAME] => Абзацы [ACTIVE] => Y [SORT] => 300 [CODE] => TEXT [DEFAULT_VALUE] => Array ( [TEXT] => [TYPE] => HTML ) [PROPERTY_TYPE] => S [ROW_COUNT] => 1 [COL_COUNT] => 30 [LIST_TYPE] => L [MULTIPLE] => Y [XML_ID] => [FILE_TYPE] => [MULTIPLE_CNT] => 5 [TMP_ID] => [LINK_IBLOCK_ID] => 0 [WITH_DESCRIPTION] => N [SEARCHABLE] => N [FILTRABLE] => N [VERSION] => 1 [USER_TYPE] => ISWIN_HTML [IS_REQUIRED] => N [USER_TYPE_SETTINGS] => Array ( [height] => 200 ) [HINT] => [PROPERTY_VALUE_ID] => [VALUE] => [DESCRIPTION] => [VALUE_ENUM] => [VALUE_XML_ID] => [VALUE_SORT] => [~VALUE] => [~DESCRIPTION] => [~NAME] => Абзацы [~DEFAULT_VALUE] => Array ( [TEXT] => [TYPE] => HTML ) ) [CNT_LIKES] => Array ( [ID] => 286 [TIMESTAMP_X] => 2018-12-06 06:38:44 [IBLOCK_ID] => 52 [NAME] => Кол-во "Нравится" [ACTIVE] => Y [SORT] => 1000 [CODE] => CNT_LIKES [DEFAULT_VALUE] => [PROPERTY_TYPE] => N [ROW_COUNT] => 1 [COL_COUNT] => 30 [LIST_TYPE] => L [MULTIPLE] => N [XML_ID] => [FILE_TYPE] => [MULTIPLE_CNT] => 5 [TMP_ID] => [LINK_IBLOCK_ID] => 0 [WITH_DESCRIPTION] => N [SEARCHABLE] => N [FILTRABLE] => N [VERSION] => 1 [USER_TYPE] => [IS_REQUIRED] => N [USER_TYPE_SETTINGS] => [HINT] => [PROPERTY_VALUE_ID] => [VALUE] => [DESCRIPTION] => [VALUE_ENUM] => [VALUE_XML_ID] => [VALUE_SORT] => [~VALUE] => [~DESCRIPTION] => [~NAME] => Кол-во "Нравится" [~DEFAULT_VALUE] => ) [CNT_DISLIKES] => Array ( [ID] => 287 [TIMESTAMP_X] => 2018-12-06 06:38:44 [IBLOCK_ID] => 52 [NAME] => Кол-во "Не нравится" [ACTIVE] => Y [SORT] => 1001 [CODE] => CNT_DISLIKES [DEFAULT_VALUE] => [PROPERTY_TYPE] => N [ROW_COUNT] => 1 [COL_COUNT] => 30 [LIST_TYPE] => L [MULTIPLE] => N [XML_ID] => [FILE_TYPE] => [MULTIPLE_CNT] => 5 [TMP_ID] => [LINK_IBLOCK_ID] => 0 [WITH_DESCRIPTION] => N [SEARCHABLE] => N [FILTRABLE] => N [VERSION] => 1 [USER_TYPE] => [IS_REQUIRED] => N [USER_TYPE_SETTINGS] => [HINT] => [PROPERTY_VALUE_ID] => [VALUE] => [DESCRIPTION] => [VALUE_ENUM] => [VALUE_XML_ID] => [VALUE_SORT] => [~VALUE] => [~DESCRIPTION] => [~NAME] => Кол-во "Не нравится" [~DEFAULT_VALUE] => ) ) [DISPLAY_PROPERTIES] => Array ( ) [IPROPERTY_VALUES] => Array ( [ELEMENT_META_TITLE] => Воронежские автоинспекторы проверили масштабный рейд [ELEMENT_META_DESCRIPTION] => [ELEMENT_PREVIEW_PICTURE_FILE_ALT] => [ELEMENT_PREVIEW_PICTURE_FILE_TITLE] => Новости [SECTION_META_TITLE] => Воронежские автоинспекторы проверили масштабный рейд [SECTION_META_DESCRIPTION] => Воронежские автоинспекторы проверили масштабный рейд - Главные новости Воронежа и области ) [RES_MOD] => Array ( [TITLE] => Воронежские автоинспекторы проверили масштабный рейд [SECTIONS] => Array ( [269] => Array ( [ID] => 269 [~ID] => 269 [IBLOCK_ELEMENT_ID] => 249496 [~IBLOCK_ELEMENT_ID] => 249496 [NAME] => Общество [~NAME] => Общество [IBLOCK_ID] => 52 [~IBLOCK_ID] => 52 [SECTION_PAGE_URL] => /obshchestvo/ [~SECTION_PAGE_URL] => /obshchestvo/ [CODE] => obshchestvo [~CODE] => obshchestvo [EXTERNAL_ID] => 142 [~EXTERNAL_ID] => 142 [IBLOCK_TYPE_ID] => news [~IBLOCK_TYPE_ID] => news [IBLOCK_CODE] => novosti [~IBLOCK_CODE] => novosti [IBLOCK_EXTERNAL_ID] => 29 [~IBLOCK_EXTERNAL_ID] => 29 [GLOBAL_ACTIVE] => Y [~GLOBAL_ACTIVE] => Y ) ) [IS_ADV] => [CONTROL_ID] => bx_4182259225_249496 [CNT_LIKES] => 0 [ACTIVE_FROM_TITLE] => 08.05.2023 19:56:33 ) )
Воронежские…
Воронежские автоинспекторы проверили масштабный рейд
Array ( [ID] => 172882 [TIMESTAMP_X] => Bitrix\Main\Type\DateTime Object ( [value:protected] => DateTime Object ( [date] => 2023-05-10 08:34:12.000000 [timezone_type] => 3 [timezone] => UTC ) ) [MODULE_ID] => iblock [HEIGHT] => 681 [WIDTH] => 1024 [FILE_SIZE] => 848709 [CONTENT_TYPE] => image/jpeg [SUBDIR] => iblock/865 [FILE_NAME] => Эсауленко.jpg [ORIGINAL_NAME] => Эсауленко.jpg [DESCRIPTION] => [HANDLER_ID] => [EXTERNAL_ID] => 175c79162d933640bb4a9c38034d248a [~src] => [SRC] => /upload/resize_cache/iblock/865/285_285_0/Эсауленко.jpg [UNSAFE_SRC] => /upload/iblock/865/Эсауленко.jpg [SAFE_SRC] => /upload/iblock/865/%D0%AD%D1%81%D0%B0%D1%83%D0%BB%D0%B5%D0%BD%D0%BA%D0%BE.jpg [ALT] => Николай Эсауленко: «Работа ветслужбы помогает развитию экономики региона» [TITLE] => Новости ) Array ( [DETAIL_PICTURE] => [~DETAIL_PICTURE] => [SHOW_COUNTER] => 1048 [~SHOW_COUNTER] => 1048 [ID] => 249498 [~ID] => 249498 [IBLOCK_ID] => 52 [~IBLOCK_ID] => 52 [IBLOCK_SECTION_ID] => 269 [~IBLOCK_SECTION_ID] => 269 [NAME] => Николай Эсауленко: «Работа… [~NAME] => Николай Эсауленко: «Работа ветслужбы помогает развитию экономики региона» [ACTIVE_FROM] => 06.05.2023 13:15:08 [~ACTIVE_FROM] => 06.05.2023 13:15:08 [TIMESTAMP_X] => 10.05.2023 14:34:12 [~TIMESTAMP_X] => 10.05.2023 14:34:12 [DETAIL_PAGE_URL] => /obshchestvo/nikolay-esaulenko-rabota-vetsluzhby-pomogaet-razvitiyu-ekonomiki-regiona-/ [~DETAIL_PAGE_URL] => /obshchestvo/nikolay-esaulenko-rabota-vetsluzhby-pomogaet-razvitiyu-ekonomiki-regiona-/ [LIST_PAGE_URL] => /novosti/ [~LIST_PAGE_URL] => /novosti/ [DETAIL_TEXT] => Несмотря на благополучную обстановку, в Воронежской области существуют риски заноса различных заболеваний животных из других регионов. Какие меры Госветслужба принимает для предупреждения и ликвидации африканской чумы свиней, бешенства и других опасных инфекций, на брифинге в облправительстве рассказал руководитель Управления ветеринарии Воронежской области Николай ЭСАУЛЕНКО.

О мерах по предупреждению заноса инфекций


В связи с тем, что по Воронежской области проходит федеральная трасса М-4 «Дон», при несанкционированных перевозках, в том числе и транзитных, к нам могут быть занесены различные болезни животных и птиц. В ряде регионов страны, в том числе граничащих с Воронежской областью, складывается достаточно тяжёлая эпизоотическая ситуация по таким инфекционным болезням, как африканская чума свиней (АЧС), грипп птиц, бруцеллёз, оспа овец и коз, ящур, болезнь Ньюкасла, сибирская язва. В связи с этим основная задача деятельности нашего управления – проведение мероприятий, направленных на защиту населения и животных от особо опасных и карантинных болезней.

Так, ежегодно мы проводим более 8 млн вакцинаций (в 2022 году–9,5 млн), обработок, исследований продуктивных животных всех видов. Регулярно проходят заседания Чрезвычайной комиссии с участием всех ответственных служб и ведомств, а также хозяйствующих субъектов. Кроме того, в регионе создан сводный противоэпизоотический отряд, сотрудники которого участвовали в ликвидации очагов АЧС, птичьего гриппа, оспы овец и коз. Это позволило не допустить дальнейшего распространения заболеваний.

Наконец, наши специалисты регулярно бывают задействованы в различных тактических учениях по ликвидации условных очагов бруцеллёза, АЧС, гриппа птиц и других инфекций. Кроме того, они проводят соответствующие тренировки для сотрудников бюджетных учреждений в Воронеже и районах области.

Об африканской чуме свиней


Число выявленных инфицированных объектов по африканской чуме свиней ежегодно снижается. Если в 2020 году их было 9, в 2021-м–4, то в 2022-м–только один. Это стало возможным благодаря ряду мер, которые реализуются силами Госветслужбы при взаимодействии с другими органами исполнительной власти.

В первую очередь, речь идёт о лабораторном мониторинге домашних свиней и кабанов. Так, в прошлом году наши специалисты провели более 56 тыс. исследований на наличие циркуляции возбудителя АЧС, в том числе почти 500 проб от диких кабанов. Кроме того, главы районов и городских округов регулярно занимаются выявлением и ликвидацией несанкционированных свалок и мест захоронения биологических отходов. Особое внимание уделяется и просветительской работе с населением.

Стоит отметить, что благодаря своевременно проведённой работе, Воронежская область имеет статус «благополучного» региона по АЧС (так же, как и по ящуру, гриппу птиц, бруцеллёзу, сибирской язве, туберкулёзу и др.), что благоприятно влияет на экономическую стабильность бласти и её экспортный потенциал.

О гриппе птиц


В рамках плана комплексных мер по предупреждению распространения и ликвидации гриппа птиц в Воронежской области ветеринарная служба проводит целый комплекс мероприятий. Так, в прошлом году на грипп птиц было исследовано более 29 тыс. проб в личных подсобных хозяйствах, на птицеводческих предприятиях, а также проб от перелётной, синантропной (дикой, но постоянно обитающей около человека) и декоративной птицы. Положительных проб не выявлено.

Кроме того, по результатам обследований птицефабрик, проведённых в 2022 году, на 16 из них был выявлен ряд нарушений ветеринарных правил содержания птиц. Информация об этом была направлена в Управление Россельхознадзора.

Регулярно проводятся рейды в охотничьих угодьях и на особо охраняемых природных территориях областного значения на предмет наличия павших птиц. В минувшем году провели 1794 рейда. Массового падежа диких птиц, а также пернатых с признаками высокопатогенного гриппа, не обнаружено.

Также в районах области во взаимодействии с ветеринарными специалистами регулярно проходят мероприятия по пресечению несанкционированной торговли. При оформлении сопроводительных документов на подконтрольные госветнадзору грузы специалисты Государственной ветеринарной службы осуществляют контроль за дезинфекцией транспорта.

Об аккредитации ветлабораторий


Деятельность ветеринарных лабораторий направлена на своевременную постановку лабораторного диагноза в целях обеспечения профилактики и ликвидации болезней животных (включая птиц, рыб, пчёл), производство доброкачественных продуктов и сырья животного происхождения, а также на охрану населения от болезней, общих для человека и животных.

В Воронежской области подобные исследования проводят областная ветеринарная лаборатория и 13 районных лечебно-диагностических отделов (ЛДО). У всех ЛДО есть лицензия, выдаваемая Роспотребнадзором.

А у Бобровской районной станции по борьбе с болезнями животных и Воронежской облветлаборатории–ещё и аккредитация. У последней она–на более чем 700 методик. И в настоящее время идёт подготовка к аккредитации на вскрытие трупов животных. При её получении документы, которые выдаются после вскрытия, можно использовать в суде.

О бешенстве


Самой актуальной особо опасной болезнью животных является бешенство. Территория Воронежской области стационарно неблагополучная по данному заболеванию, впрочем, как и другие субъекты, граничащие с нашим регионом. Вместе с тем благодаря проводимым противоэпизоотическим мероприятиям (месячникам по профилактике бешенства, вакцинации животных, раскладке оральной вакцины в дикой фауне, просветительской работе), нам удаётся поддерживать относительное благополучие по данному заболеванию.

Остановлюсь подробнее на месячнике по профилактике бешенства. В Воронеже он стартует в середине апреля и длится до середины мая. В этом году Гос ударственная ветеринарная служба совместно с мэрией организовала 50 выездных пунктов вакцинации животных во всех районах города. Кроме того, специалисты раскладывают оральную вакцину для диких плотоядных в лесах, прилегающих к городу (в 2022 году использовано более 614 тыс. доз). Кстати, в течение 10 дней после раскладки вакцины осуществляется контроль её поедаемости. А в целях эффективности применения препаратов периодически проводится отбор проб челюстей лис и их исследование на наличие маркера вакцины. [~DETAIL_TEXT] => Несмотря на благополучную обстановку, в Воронежской области существуют риски заноса различных заболеваний животных из других регионов. Какие меры Госветслужба принимает для предупреждения и ликвидации африканской чумы свиней, бешенства и других опасных инфекций, на брифинге в облправительстве рассказал руководитель Управления ветеринарии Воронежской области Николай ЭСАУЛЕНКО.

О мерах по предупреждению заноса инфекций


В связи с тем, что по Воронежской области проходит федеральная трасса М-4 «Дон», при несанкционированных перевозках, в том числе и транзитных, к нам могут быть занесены различные болезни животных и птиц. В ряде регионов страны, в том числе граничащих с Воронежской областью, складывается достаточно тяжёлая эпизоотическая ситуация по таким инфекционным болезням, как африканская чума свиней (АЧС), грипп птиц, бруцеллёз, оспа овец и коз, ящур, болезнь Ньюкасла, сибирская язва. В связи с этим основная задача деятельности нашего управления – проведение мероприятий, направленных на защиту населения и животных от особо опасных и карантинных болезней.

Так, ежегодно мы проводим более 8 млн вакцинаций (в 2022 году–9,5 млн), обработок, исследований продуктивных животных всех видов. Регулярно проходят заседания Чрезвычайной комиссии с участием всех ответственных служб и ведомств, а также хозяйствующих субъектов. Кроме того, в регионе создан сводный противоэпизоотический отряд, сотрудники которого участвовали в ликвидации очагов АЧС, птичьего гриппа, оспы овец и коз. Это позволило не допустить дальнейшего распространения заболеваний.

Наконец, наши специалисты регулярно бывают задействованы в различных тактических учениях по ликвидации условных очагов бруцеллёза, АЧС, гриппа птиц и других инфекций. Кроме того, они проводят соответствующие тренировки для сотрудников бюджетных учреждений в Воронеже и районах области.

Об африканской чуме свиней


Число выявленных инфицированных объектов по африканской чуме свиней ежегодно снижается. Если в 2020 году их было 9, в 2021-м–4, то в 2022-м–только один. Это стало возможным благодаря ряду мер, которые реализуются силами Госветслужбы при взаимодействии с другими органами исполнительной власти.

В первую очередь, речь идёт о лабораторном мониторинге домашних свиней и кабанов. Так, в прошлом году наши специалисты провели более 56 тыс. исследований на наличие циркуляции возбудителя АЧС, в том числе почти 500 проб от диких кабанов. Кроме того, главы районов и городских округов регулярно занимаются выявлением и ликвидацией несанкционированных свалок и мест захоронения биологических отходов. Особое внимание уделяется и просветительской работе с населением.

Стоит отметить, что благодаря своевременно проведённой работе, Воронежская область имеет статус «благополучного» региона по АЧС (так же, как и по ящуру, гриппу птиц, бруцеллёзу, сибирской язве, туберкулёзу и др.), что благоприятно влияет на экономическую стабильность бласти и её экспортный потенциал.

О гриппе птиц


В рамках плана комплексных мер по предупреждению распространения и ликвидации гриппа птиц в Воронежской области ветеринарная служба проводит целый комплекс мероприятий. Так, в прошлом году на грипп птиц было исследовано более 29 тыс. проб в личных подсобных хозяйствах, на птицеводческих предприятиях, а также проб от перелётной, синантропной (дикой, но постоянно обитающей около человека) и декоративной птицы. Положительных проб не выявлено.

Кроме того, по результатам обследований птицефабрик, проведённых в 2022 году, на 16 из них был выявлен ряд нарушений ветеринарных правил содержания птиц. Информация об этом была направлена в Управление Россельхознадзора.

Регулярно проводятся рейды в охотничьих угодьях и на особо охраняемых природных территориях областного значения на предмет наличия павших птиц. В минувшем году провели 1794 рейда. Массового падежа диких птиц, а также пернатых с признаками высокопатогенного гриппа, не обнаружено.

Также в районах области во взаимодействии с ветеринарными специалистами регулярно проходят мероприятия по пресечению несанкционированной торговли. При оформлении сопроводительных документов на подконтрольные госветнадзору грузы специалисты Государственной ветеринарной службы осуществляют контроль за дезинфекцией транспорта.

Об аккредитации ветлабораторий


Деятельность ветеринарных лабораторий направлена на своевременную постановку лабораторного диагноза в целях обеспечения профилактики и ликвидации болезней животных (включая птиц, рыб, пчёл), производство доброкачественных продуктов и сырья животного происхождения, а также на охрану населения от болезней, общих для человека и животных.

В Воронежской области подобные исследования проводят областная ветеринарная лаборатория и 13 районных лечебно-диагностических отделов (ЛДО). У всех ЛДО есть лицензия, выдаваемая Роспотребнадзором.

А у Бобровской районной станции по борьбе с болезнями животных и Воронежской облветлаборатории–ещё и аккредитация. У последней она–на более чем 700 методик. И в настоящее время идёт подготовка к аккредитации на вскрытие трупов животных. При её получении документы, которые выдаются после вскрытия, можно использовать в суде.

О бешенстве


Самой актуальной особо опасной болезнью животных является бешенство. Территория Воронежской области стационарно неблагополучная по данному заболеванию, впрочем, как и другие субъекты, граничащие с нашим регионом. Вместе с тем благодаря проводимым противоэпизоотическим мероприятиям (месячникам по профилактике бешенства, вакцинации животных, раскладке оральной вакцины в дикой фауне, просветительской работе), нам удаётся поддерживать относительное благополучие по данному заболеванию.

Остановлюсь подробнее на месячнике по профилактике бешенства. В Воронеже он стартует в середине апреля и длится до середины мая. В этом году Гос ударственная ветеринарная служба совместно с мэрией организовала 50 выездных пунктов вакцинации животных во всех районах города. Кроме того, специалисты раскладывают оральную вакцину для диких плотоядных в лесах, прилегающих к городу (в 2022 году использовано более 614 тыс. доз). Кстати, в течение 10 дней после раскладки вакцины осуществляется контроль её поедаемости. А в целях эффективности применения препаратов периодически проводится отбор проб челюстей лис и их исследование на наличие маркера вакцины. [DETAIL_TEXT_TYPE] => html [~DETAIL_TEXT_TYPE] => html [PREVIEW_TEXT] => [~PREVIEW_TEXT] => Руководитель Управления ветеринарии Воронежской области– о профилактике бешенства и других заразных болезней животных [PREVIEW_TEXT_TYPE] => text [~PREVIEW_TEXT_TYPE] => text [PREVIEW_PICTURE] => Array ( [ID] => 172882 [TIMESTAMP_X] => Bitrix\Main\Type\DateTime Object ( [value:protected] => DateTime Object ( [date] => 2023-05-10 08:34:12.000000 [timezone_type] => 3 [timezone] => UTC ) ) [MODULE_ID] => iblock [HEIGHT] => 681 [WIDTH] => 1024 [FILE_SIZE] => 848709 [CONTENT_TYPE] => image/jpeg [SUBDIR] => iblock/865 [FILE_NAME] => Эсауленко.jpg [ORIGINAL_NAME] => Эсауленко.jpg [DESCRIPTION] => [HANDLER_ID] => [EXTERNAL_ID] => 175c79162d933640bb4a9c38034d248a [~src] => [SRC] => /upload/iblock/865/%D0%AD%D1%81%D0%B0%D1%83%D0%BB%D0%B5%D0%BD%D0%BA%D0%BE.jpg [UNSAFE_SRC] => /upload/iblock/865/Эсауленко.jpg [SAFE_SRC] => /upload/iblock/865/%D0%AD%D1%81%D0%B0%D1%83%D0%BB%D0%B5%D0%BD%D0%BA%D0%BE.jpg [ALT] => Николай Эсауленко: «Работа ветслужбы помогает развитию экономики региона» [TITLE] => Новости ) [~PREVIEW_PICTURE] => 172882 [LANG_DIR] => / [~LANG_DIR] => / [SORT] => 500 [~SORT] => 500 [CODE] => nikolay-esaulenko-rabota-vetsluzhby-pomogaet-razvitiyu-ekonomiki-regiona- [~CODE] => nikolay-esaulenko-rabota-vetsluzhby-pomogaet-razvitiyu-ekonomiki-regiona- [EXTERNAL_ID] => 249498 [~EXTERNAL_ID] => 249498 [IBLOCK_TYPE_ID] => news [~IBLOCK_TYPE_ID] => news [IBLOCK_CODE] => novosti [~IBLOCK_CODE] => novosti [IBLOCK_EXTERNAL_ID] => 29 [~IBLOCK_EXTERNAL_ID] => 29 [LID] => ru [~LID] => ru [EDIT_LINK] => [DELETE_LINK] => [DISPLAY_ACTIVE_FROM] => 06.05.2023 13:15 [FIELDS] => Array ( [DETAIL_PICTURE] => [SHOW_COUNTER] => 1048 ) [PROPERTIES] => Array ( [REGION_ID] => Array ( [ID] => 279 [TIMESTAMP_X] => 2018-12-06 06:37:30 [IBLOCK_ID] => 52 [NAME] => Регион [ACTIVE] => Y [SORT] => 40 [CODE] => REGION_ID [DEFAULT_VALUE] => [PROPERTY_TYPE] => E [ROW_COUNT] => 1 [COL_COUNT] => 30 [LIST_TYPE] => L [MULTIPLE] => Y [XML_ID] => [FILE_TYPE] => [MULTIPLE_CNT] => 5 [TMP_ID] => [LINK_IBLOCK_ID] => 37 [WITH_DESCRIPTION] => N [SEARCHABLE] => N [FILTRABLE] => N [VERSION] => 1 [USER_TYPE] => [IS_REQUIRED] => N [USER_TYPE_SETTINGS] => [HINT] => [PROPERTY_VALUE_ID] => [VALUE] => [DESCRIPTION] => [VALUE_ENUM] => [VALUE_XML_ID] => [VALUE_SORT] => [~VALUE] => [~DESCRIPTION] => [~NAME] => Регион [~DEFAULT_VALUE] => ) [AUTHOR_ID] => Array ( [ID] => 280 [TIMESTAMP_X] => 2018-12-06 06:37:30 [IBLOCK_ID] => 52 [NAME] => Автор [ACTIVE] => Y [SORT] => 50 [CODE] => AUTHOR_ID [DEFAULT_VALUE] => [PROPERTY_TYPE] => E [ROW_COUNT] => 1 [COL_COUNT] => 30 [LIST_TYPE] => L [MULTIPLE] => Y [XML_ID] => [FILE_TYPE] => [MULTIPLE_CNT] => 5 [TMP_ID] => [LINK_IBLOCK_ID] => 36 [WITH_DESCRIPTION] => N [SEARCHABLE] => N [FILTRABLE] => N [VERSION] => 1 [USER_TYPE] => [IS_REQUIRED] => N [USER_TYPE_SETTINGS] => [HINT] => [PROPERTY_VALUE_ID] => [VALUE] => [DESCRIPTION] => [VALUE_ENUM] => [VALUE_XML_ID] => [VALUE_SORT] => [~VALUE] => [~DESCRIPTION] => [~NAME] => Автор [~DEFAULT_VALUE] => ) [SIGN] => Array ( [ID] => 281 [TIMESTAMP_X] => 2018-12-06 06:37:30 [IBLOCK_ID] => 52 [NAME] => Подпись [ACTIVE] => Y [SORT] => 55 [CODE] => SIGN [DEFAULT_VALUE] => [PROPERTY_TYPE] => S [ROW_COUNT] => 1 [COL_COUNT] => 30 [LIST_TYPE] => L [MULTIPLE] => N [XML_ID] => [FILE_TYPE] => [MULTIPLE_CNT] => 5 [TMP_ID] => [LINK_IBLOCK_ID] => 0 [WITH_DESCRIPTION] => N [SEARCHABLE] => N [FILTRABLE] => N [VERSION] => 1 [USER_TYPE] => [IS_REQUIRED] => N [USER_TYPE_SETTINGS] => [HINT] => [PROPERTY_VALUE_ID] => [VALUE] => [DESCRIPTION] => [VALUE_ENUM] => [VALUE_XML_ID] => [VALUE_SORT] => [~VALUE] => [~DESCRIPTION] => [~NAME] => Подпись [~DEFAULT_VALUE] => ) [FORYANDEX] => Array ( [ID] => 278 [TIMESTAMP_X] => 2018-12-06 06:37:30 [IBLOCK_ID] => 52 [NAME] => Экспорт для Яндекса [ACTIVE] => Y [SORT] => 90 [CODE] => FORYANDEX [DEFAULT_VALUE] => Нет [PROPERTY_TYPE] => L [ROW_COUNT] => 1 [COL_COUNT] => 30 [LIST_TYPE] => C [MULTIPLE] => N [XML_ID] => 220 [FILE_TYPE] => jpg, gif, bmp, png, jpeg [MULTIPLE_CNT] => 5 [TMP_ID] => [LINK_IBLOCK_ID] => 0 [WITH_DESCRIPTION] => N [SEARCHABLE] => N [FILTRABLE] => N [VERSION] => 1 [USER_TYPE] => [IS_REQUIRED] => N [USER_TYPE_SETTINGS] => [HINT] => [PROPERTY_VALUE_ID] => 167220 [VALUE] => Да [DESCRIPTION] => [VALUE_ENUM] => Да [VALUE_XML_ID] => Y [VALUE_SORT] => 500 [VALUE_ENUM_ID] => 85 [~VALUE] => Да [~DESCRIPTION] => [~NAME] => Экспорт для Яндекса [~DEFAULT_VALUE] => Нет ) [IS_MAIN] => Array ( [ID] => 282 [TIMESTAMP_X] => 2018-12-14 14:39:11 [IBLOCK_ID] => 52 [NAME] => Самая главная [ACTIVE] => Y [SORT] => 100 [CODE] => IS_MAIN [DEFAULT_VALUE] => [PROPERTY_TYPE] => L [ROW_COUNT] => 1 [COL_COUNT] => 30 [LIST_TYPE] => C [MULTIPLE] => N [XML_ID] => [FILE_TYPE] => [MULTIPLE_CNT] => 5 [TMP_ID] => [LINK_IBLOCK_ID] => 0 [WITH_DESCRIPTION] => N [SEARCHABLE] => N [FILTRABLE] => N [VERSION] => 1 [USER_TYPE] => [IS_REQUIRED] => N [USER_TYPE_SETTINGS] => [HINT] => [PROPERTY_VALUE_ID] => [VALUE] => [DESCRIPTION] => [VALUE_ENUM] => [VALUE_XML_ID] => [VALUE_SORT] => [VALUE_ENUM_ID] => [~VALUE] => [~DESCRIPTION] => [~NAME] => Самая главная [~DEFAULT_VALUE] => ) [IS_IMPORTANT] => Array ( [ID] => 283 [TIMESTAMP_X] => 2018-12-14 14:39:11 [IBLOCK_ID] => 52 [NAME] => Важная [ACTIVE] => Y [SORT] => 150 [CODE] => IS_IMPORTANT [DEFAULT_VALUE] => [PROPERTY_TYPE] => L [ROW_COUNT] => 1 [COL_COUNT] => 30 [LIST_TYPE] => C [MULTIPLE] => N [XML_ID] => [FILE_TYPE] => [MULTIPLE_CNT] => 5 [TMP_ID] => [LINK_IBLOCK_ID] => 0 [WITH_DESCRIPTION] => N [SEARCHABLE] => N [FILTRABLE] => N [VERSION] => 1 [USER_TYPE] => [IS_REQUIRED] => N [USER_TYPE_SETTINGS] => [HINT] => [PROPERTY_VALUE_ID] => 167221 [VALUE] => Y [DESCRIPTION] => [VALUE_ENUM] => Y [VALUE_XML_ID] => Y [VALUE_SORT] => 500 [VALUE_ENUM_ID] => 87 [~VALUE] => Y [~DESCRIPTION] => [~NAME] => Важная [~DEFAULT_VALUE] => ) [WITH_WATERMARK] => Array ( [ID] => 290 [TIMESTAMP_X] => 2018-12-18 09:33:44 [IBLOCK_ID] => 52 [NAME] => Все фото с водяным знаком [ACTIVE] => Y [SORT] => 200 [CODE] => WITH_WATERMARK [DEFAULT_VALUE] => [PROPERTY_TYPE] => L [ROW_COUNT] => 1 [COL_COUNT] => 30 [LIST_TYPE] => C [MULTIPLE] => N [XML_ID] => [FILE_TYPE] => [MULTIPLE_CNT] => 5 [TMP_ID] => [LINK_IBLOCK_ID] => 0 [WITH_DESCRIPTION] => N [SEARCHABLE] => N [FILTRABLE] => N [VERSION] => 1 [USER_TYPE] => [IS_REQUIRED] => N [USER_TYPE_SETTINGS] => [HINT] => [PROPERTY_VALUE_ID] => [VALUE] => [DESCRIPTION] => [VALUE_ENUM] => [VALUE_XML_ID] => [VALUE_SORT] => [VALUE_ENUM_ID] => [~VALUE] => [~DESCRIPTION] => [~NAME] => Все фото с водяным знаком [~DEFAULT_VALUE] => ) [MORE_PHOTO] => Array ( [ID] => 284 [TIMESTAMP_X] => 2018-12-06 06:38:44 [IBLOCK_ID] => 52 [NAME] => Фото [ACTIVE] => Y [SORT] => 250 [CODE] => MORE_PHOTO [DEFAULT_VALUE] => [PROPERTY_TYPE] => F [ROW_COUNT] => 1 [COL_COUNT] => 30 [LIST_TYPE] => L [MULTIPLE] => Y [XML_ID] => [FILE_TYPE] => jpg, gif, bmp, png, jpeg [MULTIPLE_CNT] => 5 [TMP_ID] => [LINK_IBLOCK_ID] => 0 [WITH_DESCRIPTION] => N [SEARCHABLE] => N [FILTRABLE] => N [VERSION] => 1 [USER_TYPE] => [IS_REQUIRED] => N [USER_TYPE_SETTINGS] => [HINT] => [PROPERTY_VALUE_ID] => [VALUE] => [DESCRIPTION] => [VALUE_ENUM] => [VALUE_XML_ID] => [VALUE_SORT] => [~VALUE] => [~DESCRIPTION] => [~NAME] => Фото [~DEFAULT_VALUE] => ) [TEXT] => Array ( [ID] => 285 [TIMESTAMP_X] => 2018-12-06 06:38:44 [IBLOCK_ID] => 52 [NAME] => Абзацы [ACTIVE] => Y [SORT] => 300 [CODE] => TEXT [DEFAULT_VALUE] => Array ( [TEXT] => [TYPE] => HTML ) [PROPERTY_TYPE] => S [ROW_COUNT] => 1 [COL_COUNT] => 30 [LIST_TYPE] => L [MULTIPLE] => Y [XML_ID] => [FILE_TYPE] => [MULTIPLE_CNT] => 5 [TMP_ID] => [LINK_IBLOCK_ID] => 0 [WITH_DESCRIPTION] => N [SEARCHABLE] => N [FILTRABLE] => N [VERSION] => 1 [USER_TYPE] => ISWIN_HTML [IS_REQUIRED] => N [USER_TYPE_SETTINGS] => Array ( [height] => 200 ) [HINT] => [PROPERTY_VALUE_ID] => [VALUE] => [DESCRIPTION] => [VALUE_ENUM] => [VALUE_XML_ID] => [VALUE_SORT] => [~VALUE] => [~DESCRIPTION] => [~NAME] => Абзацы [~DEFAULT_VALUE] => Array ( [TEXT] => [TYPE] => HTML ) ) [CNT_LIKES] => Array ( [ID] => 286 [TIMESTAMP_X] => 2018-12-06 06:38:44 [IBLOCK_ID] => 52 [NAME] => Кол-во "Нравится" [ACTIVE] => Y [SORT] => 1000 [CODE] => CNT_LIKES [DEFAULT_VALUE] => [PROPERTY_TYPE] => N [ROW_COUNT] => 1 [COL_COUNT] => 30 [LIST_TYPE] => L [MULTIPLE] => N [XML_ID] => [FILE_TYPE] => [MULTIPLE_CNT] => 5 [TMP_ID] => [LINK_IBLOCK_ID] => 0 [WITH_DESCRIPTION] => N [SEARCHABLE] => N [FILTRABLE] => N [VERSION] => 1 [USER_TYPE] => [IS_REQUIRED] => N [USER_TYPE_SETTINGS] => [HINT] => [PROPERTY_VALUE_ID] => [VALUE] => [DESCRIPTION] => [VALUE_ENUM] => [VALUE_XML_ID] => [VALUE_SORT] => [~VALUE] => [~DESCRIPTION] => [~NAME] => Кол-во "Нравится" [~DEFAULT_VALUE] => ) [CNT_DISLIKES] => Array ( [ID] => 287 [TIMESTAMP_X] => 2018-12-06 06:38:44 [IBLOCK_ID] => 52 [NAME] => Кол-во "Не нравится" [ACTIVE] => Y [SORT] => 1001 [CODE] => CNT_DISLIKES [DEFAULT_VALUE] => [PROPERTY_TYPE] => N [ROW_COUNT] => 1 [COL_COUNT] => 30 [LIST_TYPE] => L [MULTIPLE] => N [XML_ID] => [FILE_TYPE] => [MULTIPLE_CNT] => 5 [TMP_ID] => [LINK_IBLOCK_ID] => 0 [WITH_DESCRIPTION] => N [SEARCHABLE] => N [FILTRABLE] => N [VERSION] => 1 [USER_TYPE] => [IS_REQUIRED] => N [USER_TYPE_SETTINGS] => [HINT] => [PROPERTY_VALUE_ID] => [VALUE] => [DESCRIPTION] => [VALUE_ENUM] => [VALUE_XML_ID] => [VALUE_SORT] => [~VALUE] => [~DESCRIPTION] => [~NAME] => Кол-во "Не нравится" [~DEFAULT_VALUE] => ) ) [DISPLAY_PROPERTIES] => Array ( ) [IPROPERTY_VALUES] => Array ( [ELEMENT_META_TITLE] => Николай Эсауленко: «Работа ветслужбы помогает развитию экономики региона» [ELEMENT_META_DESCRIPTION] => Руководитель Управления ветеринарии Воронежской области– о профилактике бешенства и других заразных болезней животных [ELEMENT_PREVIEW_PICTURE_FILE_ALT] => [ELEMENT_PREVIEW_PICTURE_FILE_TITLE] => Новости [SECTION_META_TITLE] => Николай Эсауленко: «Работа ветслужбы помогает развитию экономики региона» [SECTION_META_DESCRIPTION] => Николай Эсауленко: «Работа ветслужбы помогает развитию экономики региона» - Главные новости Воронежа и области ) [RES_MOD] => Array ( [TITLE] => Николай Эсауленко: «Работа ветслужбы помогает развитию экономики региона» [SECTIONS] => Array ( [269] => Array ( [ID] => 269 [~ID] => 269 [IBLOCK_ELEMENT_ID] => 249498 [~IBLOCK_ELEMENT_ID] => 249498 [NAME] => Общество [~NAME] => Общество [IBLOCK_ID] => 52 [~IBLOCK_ID] => 52 [SECTION_PAGE_URL] => /obshchestvo/ [~SECTION_PAGE_URL] => /obshchestvo/ [CODE] => obshchestvo [~CODE] => obshchestvo [EXTERNAL_ID] => 142 [~EXTERNAL_ID] => 142 [IBLOCK_TYPE_ID] => news [~IBLOCK_TYPE_ID] => news [IBLOCK_CODE] => novosti [~IBLOCK_CODE] => novosti [IBLOCK_EXTERNAL_ID] => 29 [~IBLOCK_EXTERNAL_ID] => 29 [GLOBAL_ACTIVE] => Y [~GLOBAL_ACTIVE] => Y ) ) [IS_ADV] => [CONTROL_ID] => bx_4182259225_249498 [CNT_LIKES] => 0 [ACTIVE_FROM_TITLE] => 06.05.2023 13:15:08 ) )
Николай Эсауленко: «Работа…
Николай Эсауленко: «Работа ветслужбы помогает развитию экономики региона»
Array ( [ID] => 172881 [TIMESTAMP_X] => Bitrix\Main\Type\DateTime Object ( [value:protected] => DateTime Object ( [date] => 2023-05-08 14:06:05.000000 [timezone_type] => 3 [timezone] => UTC ) ) [MODULE_ID] => iblock [HEIGHT] => 1358 [WIDTH] => 2048 [FILE_SIZE] => 2647728 [CONTENT_TYPE] => image/jpeg [SUBDIR] => iblock/271 [FILE_NAME] => В центре ветеран фотограф Александр Хабаров фото вязового_01.jpg [ORIGINAL_NAME] => В центре ветеран фотограф Александр Хабаров фото вязового_01.jpg [DESCRIPTION] => [HANDLER_ID] => [EXTERNAL_ID] => 859398866938e4bba9b86c08db2f9f0d [~src] => [SRC] => /upload/resize_cache/iblock/271/285_285_0/В центре ветеран фотограф Александр Хабаров фото вязового_01.jpg [UNSAFE_SRC] => /upload/iblock/271/В центре ветеран фотограф Александр Хабаров фото вязового_01.jpg [SAFE_SRC] => /upload/iblock/271/%D0%92%20%D1%86%D0%B5%D0%BD%D1%82%D1%80%D0%B5%20%D0%B2%D0%B5%D1%82%D0%B5%D1%80%D0%B0%D0%BD%20%D1%84%D0%BE%D1%82%D0%BE%D0%B3%D1%80%D0%B0%D1%84%20%D0%90%D0%BB%D0%B5%D0%BA%D1%81%D0%B0%D0%BD%D0%B4%D1%80%20%D0%A5%D0%B0%D0%B1%D0%B0%D1%80%D0%BE%D0%B2%20%D1%84%D0%BE%D1%82%D0%BE%20%D0%B2%D1%8F%D0%B7%D0%BE%D0%B2%D0%BE%D0%B3%D0%BE_01.jpg [ALT] => Парад, которого ждали 20 лет [TITLE] => Новости ) Array ( [DETAIL_PICTURE] => [~DETAIL_PICTURE] => [SHOW_COUNTER] => 999 [~SHOW_COUNTER] => 999 [ID] => 249497 [~ID] => 249497 [IBLOCK_ID] => 52 [~IBLOCK_ID] => 52 [IBLOCK_SECTION_ID] => 269 [~IBLOCK_SECTION_ID] => 269 [NAME] => Парад, которого ждали 20 лет [~NAME] => Парад, которого ждали 20 лет [ACTIVE_FROM] => 05.05.2023 13:03:11 [~ACTIVE_FROM] => 05.05.2023 13:03:11 [TIMESTAMP_X] => 08.05.2023 20:06:05 [~TIMESTAMP_X] => 08.05.2023 20:06:05 [DETAIL_PAGE_URL] => /obshchestvo/parad-kotorogo-zhdali-20-let/ [~DETAIL_PAGE_URL] => /obshchestvo/parad-kotorogo-zhdali-20-let/ [LIST_PAGE_URL] => /novosti/ [~LIST_PAGE_URL] => /novosti/ [DETAIL_TEXT] => Впервые День Победы широко и с размахом отмечался в СССР только спустя 20 лет после окончания Великой Отечественной войны – 9 мая 1965 года. В этот день в Москве на Красной площади состоялся второй послевоенный парад – первый был в июне 1945-го. О том, как проходили торжества в разных уголках страны, в том числе и в Воронеже, вспоминает фотокорреспондент «Коммуны» Михаил ВЯЗОВОЙ.

До 1965 года День Победы праздновали только три года – в 1945-м, 1946-м и 1947-м. А затем Иосиф Сталин якобы «по просьбе трудящихся» сделал праздник рабочим днём. Заодно был ликвидирован музей Ленинградской блокады, а фронтовиков лишили денежных выплат за ордена и медали. Ни о каких военных парадах, разумеется, не могло быть и речи.
И вот в тот памятный день 9 мая 1965 года благодаря советскому телевидению и радио всю страну потрясли легендарная поэма «Реквием» Роберта Рождественского, голоса дикторов Юрия Левитана и Веры Енютиной, пронзила Минута молчания. На «Голубом огоньке» Марк Бернес впервые исполнил ранее запрещённую песню Матвея Блантера на стихи Михаила Исаковского «Враги сожгли родную хату». Подлинное Знамя Победы на грандиозном параде в столице нашей Родины несли Герои Советского Союза Константин Самсонов, Михаил Егоров и Мелитон Кантария. По количеству участвовавших войск торжество не уступало знаменитому Параду 1945 года, а по количеству техники даже превосходило его. Праздничные мероприятия проходили во многих городах и уголках Советского Союза.

Чечено-Ингушетия. Моя родина – город Гудермес. 1965-й. Мне 18 лет, кругом – цветущий май. Я беспечно ожидал призыва на военную службу. Из армии вернулся старший брат. В его документах я обнаружил юбилейную медаль «20 лет Победы». Отец-фронтовик, переживший за четыре года войны несколько ранений, контузию, побег из плена и штрафбат, по случаю возвращения старшего сына впервые надел пиджак, на котором выделялась медаль «За отвагу». Весной того же года я стал обладателем новенького, приятно пахнувшего кожей фотоаппарата «Смена». В мае я уже снимал им районный митинг, посвящённый 20-летию Победы. Народу собралось много, в основном – скромно одетые гражданские лица. Выделялись солдатские вдовы – они были в чёрном. Военных немного – военком, несколько ветеранов... Запомнились их скромные медали на гражданских костюмах и пионеры с цветами. Жалею, что не сохранил те почти историческими кадры, сделанные начинающим фотолюбителем.

Снимки, ставшие историей


В тот же день за тысячу километров от Гудермеса в Воронеже фотосъёмку вёл мой будущий коллега и наставник Анатолий Костин. В то время он только перешёл из «Коммуны» в редакцию «Молодого коммунара», где ещё сравнительно недавно трудился его друг и будущий мэтр фотожурналистики Василий Песков. Фотокорреспондент Анатолий Костин снимал ветеранов войны, прибывших из районов на праздник в областной центр. Непрезентабельные групповые снимки Героев Советского Союза и кавалеров ордена Славы подкупали своей естественной простотой. Фронтовики были сняты в фас и в полный рост в полувоенной форме, часто в брюках галифе – позднее именно такими их стали ваять скульпторы. Спустя десятилетия смотрю на те, ставшие уже историей снимки – как много было у нас Героев…

В Воронеже праздник, посвящённый 20-летию Победы, начался с демонстрации трудящихся. Впереди них двигались открытые автомобили с ветеранами и эскортом мотоциклистов. Колона проследовала от площади Ленина до стадиона «Труд», где и состоялось основное торжество. Военной техники на параде было мало, а воздушные парады в стране возобновились лишь с 1995 года. Одна такая фотография безымянного автора, на которой по площади Ленина в открытом автомобиле едут командиры Воронежского военного округа, сохранилась в фотоархиве «Коммуны».

Лица войны


В те годы было много инвалидов войны. Безногие, однорукие, они двигались на самодельных колясках-табуретках. В Воронеже их можно было видеть и в 70-е годы. В селе Архангельское таких инвалидов было несколько. Один из них, почти полностью слепой, виртуозно играл на гармошке, а другой – Александр Чуйко – умудрился устроиться фотокором в газету. Так он и колесил по району – одной рукой вращая колесо, другой – отталкиваясь от земли штативом. А на груди висел фотоаппарат...

Ещё один ветеран трёх войн – Дмитрий Стефанович Хромых – родился в последнем году XIX века в селе Новая Ольшанка Землянского уезда. Его отец был сельским священником. Во время Гражданской войны юноша добровольно вступил в Красную Армию. Служить начал с тёплой должности писаря в штабе кавалерийской дивизии, но вскоре попросился на передовую, где за храбрость и отвагу получил от комдива Будённого именной кортик. Затем была скоротечная финская кампания и четыре долгих года Великой Отечественной войны. Здесь ему пришлось хлебнуть лиха сполна: ранения, контузии, плен, побег, выход из окружения. В тяжёлые послевоенные годы Дмитрий Стефанович восстанавливал разрушенный Воронеж, работал прорабом. Пиджак от костюма с орденом Красной Звезды и солдатскую медаль «За доблесть» он впервые надел в мае 1965 года, когда страна широко отмечала День Победы. Двадцать лет спустя его вместе с племянником Владимиром Битюцким сфотографировал внештатный фотокор «Коммуны» Михаил Волков.

Как тут не вспомнить участников войны из села Гремячье: казака-разведчика Фёдора Емельяновича Телкова и сына полка Валентина Фёдоровича Кукуева, с которыми я познакомился и подружился в относительно недавнее время. Эти живые лица с фотографий и сегодня смотрят на нас сквозь время.

Конфуз на Прохоровском поле


Вспоминается жаркое лето 1983 года. Большая группа воронежских ветеранов войны посетила место последнего боя генерала Александра Лизюкова в селе Лебяжье Рамонского района, а затем отправилась на Прохоровское поле на торжества, посвящённые 40-летию Курской битвы. На заключительном ужине в адрес наших славных воинов было сказано много хороших и правильных слов. Мне запомнились два эпизода. Так, один генерал очень эмоционально вспоминал, как в селе под Старым Осколом его, молодого лейтенанта, «хорошенькая дивчина угощала квашеной капустой с яблоками». «Ничего вкуснее я в жизни не ел», – закончил он свой тост. После этих слов оживился председатель колхоза села Семёновка. «Не Кузьминична ли тебя угощала? – воскликнул он. – Крайняя хата у леса. Так она и нынче жива». Тут же отправились в Семёновку. Вернулись нескоро. «Не та уже капуста. Да и её хозяйка уже не та», – только и произнёс генерал. Оно и понятно: то был голодный молоденький лейтенант, а ныне солидный и сытый генерал.

Второй эпизод случился под занавес встречи. Один из ветеранов, некто Шумилов, размахивая руками и стараясь перекричать публику, пытался рассказать о своих подвигах во время фотографирования на передовой прямо под носом у фрицев. На что другой генерал, обращаясь к нему, заметил: «А вы, товарищ ефрейтор, кажется, были печатником дивизионной газеты, которая, как и политотдел, тогда находилась в Синих Липягах в 100 километрах от линии фронта». Этот маленький конфуз остался незамеченным. А всё потому, что легендарному Юрию Левитану, который был с нами на Прохоровском поле, неожиданно стало плохо. Все всполошились, забегали в поисках доктора. Вскоре Левитана срочно отправили на самолёте в Москву.
Профессия фоторепортёра, за что я ей благодарен, позволяет быть участником больших и малых событий, встречаться с интересными и незаурядными героями, впитывать в себя то, что есть в наших лучших людях.


Фото: Михаил ВЯЗОВОЙ


[~DETAIL_TEXT] => Впервые День Победы широко и с размахом отмечался в СССР только спустя 20 лет после окончания Великой Отечественной войны – 9 мая 1965 года. В этот день в Москве на Красной площади состоялся второй послевоенный парад – первый был в июне 1945-го. О том, как проходили торжества в разных уголках страны, в том числе и в Воронеже, вспоминает фотокорреспондент «Коммуны» Михаил ВЯЗОВОЙ.

До 1965 года День Победы праздновали только три года – в 1945-м, 1946-м и 1947-м. А затем Иосиф Сталин якобы «по просьбе трудящихся» сделал праздник рабочим днём. Заодно был ликвидирован музей Ленинградской блокады, а фронтовиков лишили денежных выплат за ордена и медали. Ни о каких военных парадах, разумеется, не могло быть и речи.
И вот в тот памятный день 9 мая 1965 года благодаря советскому телевидению и радио всю страну потрясли легендарная поэма «Реквием» Роберта Рождественского, голоса дикторов Юрия Левитана и Веры Енютиной, пронзила Минута молчания. На «Голубом огоньке» Марк Бернес впервые исполнил ранее запрещённую песню Матвея Блантера на стихи Михаила Исаковского «Враги сожгли родную хату». Подлинное Знамя Победы на грандиозном параде в столице нашей Родины несли Герои Советского Союза Константин Самсонов, Михаил Егоров и Мелитон Кантария. По количеству участвовавших войск торжество не уступало знаменитому Параду 1945 года, а по количеству техники даже превосходило его. Праздничные мероприятия проходили во многих городах и уголках Советского Союза.

Чечено-Ингушетия. Моя родина – город Гудермес. 1965-й. Мне 18 лет, кругом – цветущий май. Я беспечно ожидал призыва на военную службу. Из армии вернулся старший брат. В его документах я обнаружил юбилейную медаль «20 лет Победы». Отец-фронтовик, переживший за четыре года войны несколько ранений, контузию, побег из плена и штрафбат, по случаю возвращения старшего сына впервые надел пиджак, на котором выделялась медаль «За отвагу». Весной того же года я стал обладателем новенького, приятно пахнувшего кожей фотоаппарата «Смена». В мае я уже снимал им районный митинг, посвящённый 20-летию Победы. Народу собралось много, в основном – скромно одетые гражданские лица. Выделялись солдатские вдовы – они были в чёрном. Военных немного – военком, несколько ветеранов... Запомнились их скромные медали на гражданских костюмах и пионеры с цветами. Жалею, что не сохранил те почти историческими кадры, сделанные начинающим фотолюбителем.

Снимки, ставшие историей


В тот же день за тысячу километров от Гудермеса в Воронеже фотосъёмку вёл мой будущий коллега и наставник Анатолий Костин. В то время он только перешёл из «Коммуны» в редакцию «Молодого коммунара», где ещё сравнительно недавно трудился его друг и будущий мэтр фотожурналистики Василий Песков. Фотокорреспондент Анатолий Костин снимал ветеранов войны, прибывших из районов на праздник в областной центр. Непрезентабельные групповые снимки Героев Советского Союза и кавалеров ордена Славы подкупали своей естественной простотой. Фронтовики были сняты в фас и в полный рост в полувоенной форме, часто в брюках галифе – позднее именно такими их стали ваять скульпторы. Спустя десятилетия смотрю на те, ставшие уже историей снимки – как много было у нас Героев…

В Воронеже праздник, посвящённый 20-летию Победы, начался с демонстрации трудящихся. Впереди них двигались открытые автомобили с ветеранами и эскортом мотоциклистов. Колона проследовала от площади Ленина до стадиона «Труд», где и состоялось основное торжество. Военной техники на параде было мало, а воздушные парады в стране возобновились лишь с 1995 года. Одна такая фотография безымянного автора, на которой по площади Ленина в открытом автомобиле едут командиры Воронежского военного округа, сохранилась в фотоархиве «Коммуны».

Лица войны


В те годы было много инвалидов войны. Безногие, однорукие, они двигались на самодельных колясках-табуретках. В Воронеже их можно было видеть и в 70-е годы. В селе Архангельское таких инвалидов было несколько. Один из них, почти полностью слепой, виртуозно играл на гармошке, а другой – Александр Чуйко – умудрился устроиться фотокором в газету. Так он и колесил по району – одной рукой вращая колесо, другой – отталкиваясь от земли штативом. А на груди висел фотоаппарат...

Ещё один ветеран трёх войн – Дмитрий Стефанович Хромых – родился в последнем году XIX века в селе Новая Ольшанка Землянского уезда. Его отец был сельским священником. Во время Гражданской войны юноша добровольно вступил в Красную Армию. Служить начал с тёплой должности писаря в штабе кавалерийской дивизии, но вскоре попросился на передовую, где за храбрость и отвагу получил от комдива Будённого именной кортик. Затем была скоротечная финская кампания и четыре долгих года Великой Отечественной войны. Здесь ему пришлось хлебнуть лиха сполна: ранения, контузии, плен, побег, выход из окружения. В тяжёлые послевоенные годы Дмитрий Стефанович восстанавливал разрушенный Воронеж, работал прорабом. Пиджак от костюма с орденом Красной Звезды и солдатскую медаль «За доблесть» он впервые надел в мае 1965 года, когда страна широко отмечала День Победы. Двадцать лет спустя его вместе с племянником Владимиром Битюцким сфотографировал внештатный фотокор «Коммуны» Михаил Волков.

Как тут не вспомнить участников войны из села Гремячье: казака-разведчика Фёдора Емельяновича Телкова и сына полка Валентина Фёдоровича Кукуева, с которыми я познакомился и подружился в относительно недавнее время. Эти живые лица с фотографий и сегодня смотрят на нас сквозь время.

Конфуз на Прохоровском поле


Вспоминается жаркое лето 1983 года. Большая группа воронежских ветеранов войны посетила место последнего боя генерала Александра Лизюкова в селе Лебяжье Рамонского района, а затем отправилась на Прохоровское поле на торжества, посвящённые 40-летию Курской битвы. На заключительном ужине в адрес наших славных воинов было сказано много хороших и правильных слов. Мне запомнились два эпизода. Так, один генерал очень эмоционально вспоминал, как в селе под Старым Осколом его, молодого лейтенанта, «хорошенькая дивчина угощала квашеной капустой с яблоками». «Ничего вкуснее я в жизни не ел», – закончил он свой тост. После этих слов оживился председатель колхоза села Семёновка. «Не Кузьминична ли тебя угощала? – воскликнул он. – Крайняя хата у леса. Так она и нынче жива». Тут же отправились в Семёновку. Вернулись нескоро. «Не та уже капуста. Да и её хозяйка уже не та», – только и произнёс генерал. Оно и понятно: то был голодный молоденький лейтенант, а ныне солидный и сытый генерал.

Второй эпизод случился под занавес встречи. Один из ветеранов, некто Шумилов, размахивая руками и стараясь перекричать публику, пытался рассказать о своих подвигах во время фотографирования на передовой прямо под носом у фрицев. На что другой генерал, обращаясь к нему, заметил: «А вы, товарищ ефрейтор, кажется, были печатником дивизионной газеты, которая, как и политотдел, тогда находилась в Синих Липягах в 100 километрах от линии фронта». Этот маленький конфуз остался незамеченным. А всё потому, что легендарному Юрию Левитану, который был с нами на Прохоровском поле, неожиданно стало плохо. Все всполошились, забегали в поисках доктора. Вскоре Левитана срочно отправили на самолёте в Москву.
Профессия фоторепортёра, за что я ей благодарен, позволяет быть участником больших и малых событий, встречаться с интересными и незаурядными героями, впитывать в себя то, что есть в наших лучших людях.


Фото: Михаил ВЯЗОВОЙ


[DETAIL_TEXT_TYPE] => html [~DETAIL_TEXT_TYPE] => html [PREVIEW_TEXT] => [~PREVIEW_TEXT] => Как закладывались традиции празднования Дня Великой Победы [PREVIEW_TEXT_TYPE] => text [~PREVIEW_TEXT_TYPE] => text [PREVIEW_PICTURE] => Array ( [ID] => 172881 [TIMESTAMP_X] => Bitrix\Main\Type\DateTime Object ( [value:protected] => DateTime Object ( [date] => 2023-05-08 14:06:05.000000 [timezone_type] => 3 [timezone] => UTC ) ) [MODULE_ID] => iblock [HEIGHT] => 1358 [WIDTH] => 2048 [FILE_SIZE] => 2647728 [CONTENT_TYPE] => image/jpeg [SUBDIR] => iblock/271 [FILE_NAME] => В центре ветеран фотограф Александр Хабаров фото вязового_01.jpg [ORIGINAL_NAME] => В центре ветеран фотограф Александр Хабаров фото вязового_01.jpg [DESCRIPTION] => [HANDLER_ID] => [EXTERNAL_ID] => 859398866938e4bba9b86c08db2f9f0d [~src] => [SRC] => /upload/iblock/271/%D0%92%20%D1%86%D0%B5%D0%BD%D1%82%D1%80%D0%B5%20%D0%B2%D0%B5%D1%82%D0%B5%D1%80%D0%B0%D0%BD%20%D1%84%D0%BE%D1%82%D0%BE%D0%B3%D1%80%D0%B0%D1%84%20%D0%90%D0%BB%D0%B5%D0%BA%D1%81%D0%B0%D0%BD%D0%B4%D1%80%20%D0%A5%D0%B0%D0%B1%D0%B0%D1%80%D0%BE%D0%B2%20%D1%84%D0%BE%D1%82%D0%BE%20%D0%B2%D1%8F%D0%B7%D0%BE%D0%B2%D0%BE%D0%B3%D0%BE_01.jpg [UNSAFE_SRC] => /upload/iblock/271/В центре ветеран фотограф Александр Хабаров фото вязового_01.jpg [SAFE_SRC] => /upload/iblock/271/%D0%92%20%D1%86%D0%B5%D0%BD%D1%82%D1%80%D0%B5%20%D0%B2%D0%B5%D1%82%D0%B5%D1%80%D0%B0%D0%BD%20%D1%84%D0%BE%D1%82%D0%BE%D0%B3%D1%80%D0%B0%D1%84%20%D0%90%D0%BB%D0%B5%D0%BA%D1%81%D0%B0%D0%BD%D0%B4%D1%80%20%D0%A5%D0%B0%D0%B1%D0%B0%D1%80%D0%BE%D0%B2%20%D1%84%D0%BE%D1%82%D0%BE%20%D0%B2%D1%8F%D0%B7%D0%BE%D0%B2%D0%BE%D0%B3%D0%BE_01.jpg [ALT] => Парад, которого ждали 20 лет [TITLE] => Новости ) [~PREVIEW_PICTURE] => 172881 [LANG_DIR] => / [~LANG_DIR] => / [SORT] => 500 [~SORT] => 500 [CODE] => parad-kotorogo-zhdali-20-let [~CODE] => parad-kotorogo-zhdali-20-let [EXTERNAL_ID] => 249497 [~EXTERNAL_ID] => 249497 [IBLOCK_TYPE_ID] => news [~IBLOCK_TYPE_ID] => news [IBLOCK_CODE] => novosti [~IBLOCK_CODE] => novosti [IBLOCK_EXTERNAL_ID] => 29 [~IBLOCK_EXTERNAL_ID] => 29 [LID] => ru [~LID] => ru [EDIT_LINK] => [DELETE_LINK] => [DISPLAY_ACTIVE_FROM] => 05.05.2023 13:03 [FIELDS] => Array ( [DETAIL_PICTURE] => [SHOW_COUNTER] => 999 ) [PROPERTIES] => Array ( [REGION_ID] => Array ( [ID] => 279 [TIMESTAMP_X] => 2018-12-06 06:37:30 [IBLOCK_ID] => 52 [NAME] => Регион [ACTIVE] => Y [SORT] => 40 [CODE] => REGION_ID [DEFAULT_VALUE] => [PROPERTY_TYPE] => E [ROW_COUNT] => 1 [COL_COUNT] => 30 [LIST_TYPE] => L [MULTIPLE] => Y [XML_ID] => [FILE_TYPE] => [MULTIPLE_CNT] => 5 [TMP_ID] => [LINK_IBLOCK_ID] => 37 [WITH_DESCRIPTION] => N [SEARCHABLE] => N [FILTRABLE] => N [VERSION] => 1 [USER_TYPE] => [IS_REQUIRED] => N [USER_TYPE_SETTINGS] => [HINT] => [PROPERTY_VALUE_ID] => [VALUE] => [DESCRIPTION] => [VALUE_ENUM] => [VALUE_XML_ID] => [VALUE_SORT] => [~VALUE] => [~DESCRIPTION] => [~NAME] => Регион [~DEFAULT_VALUE] => ) [AUTHOR_ID] => Array ( [ID] => 280 [TIMESTAMP_X] => 2018-12-06 06:37:30 [IBLOCK_ID] => 52 [NAME] => Автор [ACTIVE] => Y [SORT] => 50 [CODE] => AUTHOR_ID [DEFAULT_VALUE] => [PROPERTY_TYPE] => E [ROW_COUNT] => 1 [COL_COUNT] => 30 [LIST_TYPE] => L [MULTIPLE] => Y [XML_ID] => [FILE_TYPE] => [MULTIPLE_CNT] => 5 [TMP_ID] => [LINK_IBLOCK_ID] => 36 [WITH_DESCRIPTION] => N [SEARCHABLE] => N [FILTRABLE] => N [VERSION] => 1 [USER_TYPE] => [IS_REQUIRED] => N [USER_TYPE_SETTINGS] => [HINT] => [PROPERTY_VALUE_ID] => [VALUE] => [DESCRIPTION] => [VALUE_ENUM] => [VALUE_XML_ID] => [VALUE_SORT] => [~VALUE] => [~DESCRIPTION] => [~NAME] => Автор [~DEFAULT_VALUE] => ) [SIGN] => Array ( [ID] => 281 [TIMESTAMP_X] => 2018-12-06 06:37:30 [IBLOCK_ID] => 52 [NAME] => Подпись [ACTIVE] => Y [SORT] => 55 [CODE] => SIGN [DEFAULT_VALUE] => [PROPERTY_TYPE] => S [ROW_COUNT] => 1 [COL_COUNT] => 30 [LIST_TYPE] => L [MULTIPLE] => N [XML_ID] => [FILE_TYPE] => [MULTIPLE_CNT] => 5 [TMP_ID] => [LINK_IBLOCK_ID] => 0 [WITH_DESCRIPTION] => N [SEARCHABLE] => N [FILTRABLE] => N [VERSION] => 1 [USER_TYPE] => [IS_REQUIRED] => N [USER_TYPE_SETTINGS] => [HINT] => [PROPERTY_VALUE_ID] => 167199 [VALUE] => Михаил ВЯЗОВОЙ [DESCRIPTION] => [VALUE_ENUM] => [VALUE_XML_ID] => [VALUE_SORT] => [~VALUE] => Михаил ВЯЗОВОЙ [~DESCRIPTION] => [~NAME] => Подпись [~DEFAULT_VALUE] => ) [FORYANDEX] => Array ( [ID] => 278 [TIMESTAMP_X] => 2018-12-06 06:37:30 [IBLOCK_ID] => 52 [NAME] => Экспорт для Яндекса [ACTIVE] => Y [SORT] => 90 [CODE] => FORYANDEX [DEFAULT_VALUE] => Нет [PROPERTY_TYPE] => L [ROW_COUNT] => 1 [COL_COUNT] => 30 [LIST_TYPE] => C [MULTIPLE] => N [XML_ID] => 220 [FILE_TYPE] => jpg, gif, bmp, png, jpeg [MULTIPLE_CNT] => 5 [TMP_ID] => [LINK_IBLOCK_ID] => 0 [WITH_DESCRIPTION] => N [SEARCHABLE] => N [FILTRABLE] => N [VERSION] => 1 [USER_TYPE] => [IS_REQUIRED] => N [USER_TYPE_SETTINGS] => [HINT] => [PROPERTY_VALUE_ID] => 167198 [VALUE] => Да [DESCRIPTION] => [VALUE_ENUM] => Да [VALUE_XML_ID] => Y [VALUE_SORT] => 500 [VALUE_ENUM_ID] => 85 [~VALUE] => Да [~DESCRIPTION] => [~NAME] => Экспорт для Яндекса [~DEFAULT_VALUE] => Нет ) [IS_MAIN] => Array ( [ID] => 282 [TIMESTAMP_X] => 2018-12-14 14:39:11 [IBLOCK_ID] => 52 [NAME] => Самая главная [ACTIVE] => Y [SORT] => 100 [CODE] => IS_MAIN [DEFAULT_VALUE] => [PROPERTY_TYPE] => L [ROW_COUNT] => 1 [COL_COUNT] => 30 [LIST_TYPE] => C [MULTIPLE] => N [XML_ID] => [FILE_TYPE] => [MULTIPLE_CNT] => 5 [TMP_ID] => [LINK_IBLOCK_ID] => 0 [WITH_DESCRIPTION] => N [SEARCHABLE] => N [FILTRABLE] => N [VERSION] => 1 [USER_TYPE] => [IS_REQUIRED] => N [USER_TYPE_SETTINGS] => [HINT] => [PROPERTY_VALUE_ID] => [VALUE] => [DESCRIPTION] => [VALUE_ENUM] => [VALUE_XML_ID] => [VALUE_SORT] => [VALUE_ENUM_ID] => [~VALUE] => [~DESCRIPTION] => [~NAME] => Самая главная [~DEFAULT_VALUE] => ) [IS_IMPORTANT] => Array ( [ID] => 283 [TIMESTAMP_X] => 2018-12-14 14:39:11 [IBLOCK_ID] => 52 [NAME] => Важная [ACTIVE] => Y [SORT] => 150 [CODE] => IS_IMPORTANT [DEFAULT_VALUE] => [PROPERTY_TYPE] => L [ROW_COUNT] => 1 [COL_COUNT] => 30 [LIST_TYPE] => C [MULTIPLE] => N [XML_ID] => [FILE_TYPE] => [MULTIPLE_CNT] => 5 [TMP_ID] => [LINK_IBLOCK_ID] => 0 [WITH_DESCRIPTION] => N [SEARCHABLE] => N [FILTRABLE] => N [VERSION] => 1 [USER_TYPE] => [IS_REQUIRED] => N [USER_TYPE_SETTINGS] => [HINT] => [PROPERTY_VALUE_ID] => 167200 [VALUE] => Y [DESCRIPTION] => [VALUE_ENUM] => Y [VALUE_XML_ID] => Y [VALUE_SORT] => 500 [VALUE_ENUM_ID] => 87 [~VALUE] => Y [~DESCRIPTION] => [~NAME] => Важная [~DEFAULT_VALUE] => ) [WITH_WATERMARK] => Array ( [ID] => 290 [TIMESTAMP_X] => 2018-12-18 09:33:44 [IBLOCK_ID] => 52 [NAME] => Все фото с водяным знаком [ACTIVE] => Y [SORT] => 200 [CODE] => WITH_WATERMARK [DEFAULT_VALUE] => [PROPERTY_TYPE] => L [ROW_COUNT] => 1 [COL_COUNT] => 30 [LIST_TYPE] => C [MULTIPLE] => N [XML_ID] => [FILE_TYPE] => [MULTIPLE_CNT] => 5 [TMP_ID] => [LINK_IBLOCK_ID] => 0 [WITH_DESCRIPTION] => N [SEARCHABLE] => N [FILTRABLE] => N [VERSION] => 1 [USER_TYPE] => [IS_REQUIRED] => N [USER_TYPE_SETTINGS] => [HINT] => [PROPERTY_VALUE_ID] => [VALUE] => [DESCRIPTION] => [VALUE_ENUM] => [VALUE_XML_ID] => [VALUE_SORT] => [VALUE_ENUM_ID] => [~VALUE] => [~DESCRIPTION] => [~NAME] => Все фото с водяным знаком [~DEFAULT_VALUE] => ) [MORE_PHOTO] => Array ( [ID] => 284 [TIMESTAMP_X] => 2018-12-06 06:38:44 [IBLOCK_ID] => 52 [NAME] => Фото [ACTIVE] => Y [SORT] => 250 [CODE] => MORE_PHOTO [DEFAULT_VALUE] => [PROPERTY_TYPE] => F [ROW_COUNT] => 1 [COL_COUNT] => 30 [LIST_TYPE] => L [MULTIPLE] => Y [XML_ID] => [FILE_TYPE] => jpg, gif, bmp, png, jpeg [MULTIPLE_CNT] => 5 [TMP_ID] => [LINK_IBLOCK_ID] => 0 [WITH_DESCRIPTION] => N [SEARCHABLE] => N [FILTRABLE] => N [VERSION] => 1 [USER_TYPE] => [IS_REQUIRED] => N [USER_TYPE_SETTINGS] => [HINT] => [PROPERTY_VALUE_ID] => [VALUE] => [DESCRIPTION] => [VALUE_ENUM] => [VALUE_XML_ID] => [VALUE_SORT] => [~VALUE] => [~DESCRIPTION] => [~NAME] => Фото [~DEFAULT_VALUE] => ) [TEXT] => Array ( [ID] => 285 [TIMESTAMP_X] => 2018-12-06 06:38:44 [IBLOCK_ID] => 52 [NAME] => Абзацы [ACTIVE] => Y [SORT] => 300 [CODE] => TEXT [DEFAULT_VALUE] => Array ( [TEXT] => [TYPE] => HTML ) [PROPERTY_TYPE] => S [ROW_COUNT] => 1 [COL_COUNT] => 30 [LIST_TYPE] => L [MULTIPLE] => Y [XML_ID] => [FILE_TYPE] => [MULTIPLE_CNT] => 5 [TMP_ID] => [LINK_IBLOCK_ID] => 0 [WITH_DESCRIPTION] => N [SEARCHABLE] => N [FILTRABLE] => N [VERSION] => 1 [USER_TYPE] => ISWIN_HTML [IS_REQUIRED] => N [USER_TYPE_SETTINGS] => Array ( [height] => 200 ) [HINT] => [PROPERTY_VALUE_ID] => [VALUE] => [DESCRIPTION] => [VALUE_ENUM] => [VALUE_XML_ID] => [VALUE_SORT] => [~VALUE] => [~DESCRIPTION] => [~NAME] => Абзацы [~DEFAULT_VALUE] => Array ( [TEXT] => [TYPE] => HTML ) ) [CNT_LIKES] => Array ( [ID] => 286 [TIMESTAMP_X] => 2018-12-06 06:38:44 [IBLOCK_ID] => 52 [NAME] => Кол-во "Нравится" [ACTIVE] => Y [SORT] => 1000 [CODE] => CNT_LIKES [DEFAULT_VALUE] => [PROPERTY_TYPE] => N [ROW_COUNT] => 1 [COL_COUNT] => 30 [LIST_TYPE] => L [MULTIPLE] => N [XML_ID] => [FILE_TYPE] => [MULTIPLE_CNT] => 5 [TMP_ID] => [LINK_IBLOCK_ID] => 0 [WITH_DESCRIPTION] => N [SEARCHABLE] => N [FILTRABLE] => N [VERSION] => 1 [USER_TYPE] => [IS_REQUIRED] => N [USER_TYPE_SETTINGS] => [HINT] => [PROPERTY_VALUE_ID] => [VALUE] => [DESCRIPTION] => [VALUE_ENUM] => [VALUE_XML_ID] => [VALUE_SORT] => [~VALUE] => [~DESCRIPTION] => [~NAME] => Кол-во "Нравится" [~DEFAULT_VALUE] => ) [CNT_DISLIKES] => Array ( [ID] => 287 [TIMESTAMP_X] => 2018-12-06 06:38:44 [IBLOCK_ID] => 52 [NAME] => Кол-во "Не нравится" [ACTIVE] => Y [SORT] => 1001 [CODE] => CNT_DISLIKES [DEFAULT_VALUE] => [PROPERTY_TYPE] => N [ROW_COUNT] => 1 [COL_COUNT] => 30 [LIST_TYPE] => L [MULTIPLE] => N [XML_ID] => [FILE_TYPE] => [MULTIPLE_CNT] => 5 [TMP_ID] => [LINK_IBLOCK_ID] => 0 [WITH_DESCRIPTION] => N [SEARCHABLE] => N [FILTRABLE] => N [VERSION] => 1 [USER_TYPE] => [IS_REQUIRED] => N [USER_TYPE_SETTINGS] => [HINT] => [PROPERTY_VALUE_ID] => [VALUE] => [DESCRIPTION] => [VALUE_ENUM] => [VALUE_XML_ID] => [VALUE_SORT] => [~VALUE] => [~DESCRIPTION] => [~NAME] => Кол-во "Не нравится" [~DEFAULT_VALUE] => ) ) [DISPLAY_PROPERTIES] => Array ( ) [IPROPERTY_VALUES] => Array ( [ELEMENT_META_TITLE] => Парад, которого ждали 20 лет [ELEMENT_META_DESCRIPTION] => Как закладывались традиции празднования Дня Великой Победы [ELEMENT_PREVIEW_PICTURE_FILE_ALT] => [ELEMENT_PREVIEW_PICTURE_FILE_TITLE] => Новости [SECTION_META_TITLE] => Парад, которого ждали 20 лет [SECTION_META_DESCRIPTION] => Парад, которого ждали 20 лет - Главные новости Воронежа и области ) [RES_MOD] => Array ( [TITLE] => Парад, которого ждали 20 лет [SECTIONS] => Array ( [269] => Array ( [ID] => 269 [~ID] => 269 [IBLOCK_ELEMENT_ID] => 249497 [~IBLOCK_ELEMENT_ID] => 249497 [NAME] => Общество [~NAME] => Общество [IBLOCK_ID] => 52 [~IBLOCK_ID] => 52 [SECTION_PAGE_URL] => /obshchestvo/ [~SECTION_PAGE_URL] => /obshchestvo/ [CODE] => obshchestvo [~CODE] => obshchestvo [EXTERNAL_ID] => 142 [~EXTERNAL_ID] => 142 [IBLOCK_TYPE_ID] => news [~IBLOCK_TYPE_ID] => news [IBLOCK_CODE] => novosti [~IBLOCK_CODE] => novosti [IBLOCK_EXTERNAL_ID] => 29 [~IBLOCK_EXTERNAL_ID] => 29 [GLOBAL_ACTIVE] => Y [~GLOBAL_ACTIVE] => Y ) ) [IS_ADV] => [CONTROL_ID] => bx_4182259225_249497 [CNT_LIKES] => 0 [ACTIVE_FROM_TITLE] => 05.05.2023 13:03:11 ) )
Парад, которого ждали 20 лет
Парад, которого ждали 20 лет
Array ( [ID] => 172879 [TIMESTAMP_X] => Bitrix\Main\Type\DateTime Object ( [value:protected] => DateTime Object ( [date] => 2023-05-08 14:21:25.000000 [timezone_type] => 3 [timezone] => UTC ) ) [MODULE_ID] => iblock [HEIGHT] => 1200 [WIDTH] => 1800 [FILE_SIZE] => 1177181 [CONTENT_TYPE] => image/jpeg [SUBDIR] => iblock/bab [FILE_NAME] => склероз_круглый стол.jpg [ORIGINAL_NAME] => склероз_круглый стол.jpg [DESCRIPTION] => [HANDLER_ID] => [EXTERNAL_ID] => daf46fa1b1de6dd585f0e8d4af35d0e0 [~src] => [SRC] => /upload/resize_cache/iblock/bab/285_285_0/склероз_круглый стол.jpg [UNSAFE_SRC] => /upload/iblock/bab/склероз_круглый стол.jpg [SAFE_SRC] => /upload/iblock/bab/%D1%81%D0%BA%D0%BB%D0%B5%D1%80%D0%BE%D0%B7_%D0%BA%D1%80%D1%83%D0%B3%D0%BB%D1%8B%D0%B9%20%D1%81%D1%82%D0%BE%D0%BB.jpg [ALT] => Болезненная тема [TITLE] => Новости ) Array ( [DETAIL_PICTURE] => [~DETAIL_PICTURE] => [SHOW_COUNTER] => 2248 [~SHOW_COUNTER] => 2248 [ID] => 249495 [~ID] => 249495 [IBLOCK_ID] => 52 [~IBLOCK_ID] => 52 [IBLOCK_SECTION_ID] => 269 [~IBLOCK_SECTION_ID] => 269 [NAME] => Болезненная тема [~NAME] => Болезненная тема [ACTIVE_FROM] => 04.05.2023 18:46:42 [~ACTIVE_FROM] => 04.05.2023 18:46:42 [TIMESTAMP_X] => 08.05.2023 20:21:25 [~TIMESTAMP_X] => 08.05.2023 20:21:25 [DETAIL_PAGE_URL] => /obshchestvo/boleznennaya-tema/ [~DETAIL_PAGE_URL] => /obshchestvo/boleznennaya-tema/ [LIST_PAGE_URL] => /novosti/ [~LIST_PAGE_URL] => /novosti/ [DETAIL_TEXT] => Вопреки названию, рассеянный склероз никак не связан с забывчивостью и возрастными изменениями. Это заболевание всё чаще встречается у молодых людей и может прогрессировать за короткое время. Тем не менее страшный диагноз — не приговор. Пациент может получать эффективную терапию и вести активный образ жизни. Как лучше организовать лечение таких людей и помочь их социализации, обсуждали на круглом столе, который прошёл 25 апреля в стенах Воронежской областной Думы. К разговору подключились врачи, представители власти и, конечно, сами пациенты.

Участников дискуссии встречала выставка фотографий людей, которые не первый год живут с рассеянным склерозом. Их истории можно найти в книге «Особый случай» (16+). Её автор — журналистка Наталья Радулова.

— Эту книгу врач должен вручать каждому пациенту, — подчеркнула первый вице-президент Общероссийской общественной организации инвалидов-больных рассеянным склерозом Наталья КИЧИГИНА. — Потому что первая реакция человека, узнавшего, что у него рассеянный склероз, — паника. Ещё страшнее ему становится от зачастую искажённой и недостоверной информации из интернета. Здесь же в простой форме, увлекательно и даже с юмором рассказывают о себе и своей болезни сами пациенты — реальные люди, которым можно даже позвонить.

Наталья Кичигина помнит, как она отреагировала на слова врачей о выявленном у неё рассеянном склерозе.

— Мне сказали: заболевание неизлечимое. За границей есть методы борьбы с болезнью, а у нас — нет, — поделилась наша собеседница. — Но через два года лечение было и в России. Начиналось всё с двух простеньких препаратов. Сейчас эффективных лекарств достаточно, и это огромный шаг вперёд.

Жительнице Воронежа Людмиле Сальниковой 36 лет. Пять лет назад её перестали слушаться пальцы рук, а спустя год — стали неметь ноги.

— Я забила тревогу и пошла к неврологам, которые обнаружили у меня рассеянный склероз, — рассказала Людмила. — Было страшно — всю жизнь занимаюсь спортом, преподаю физкультуру — а тут такое... Но невролог помог мне подобрать необходимые препараты, направил на реабилитацию (лечебная физкультура, бассейн). И я себе сказала: «Как жила, так и буду продолжать жить». Активно работаю, не меняю привычек, занимаюсь с детьми, общаюсь с друзьями.

Председатель комитета по охране здоровья Воронежской областной Думы Иван МОШУРОВ отметил, что сегодня в регионе более 2000 человек имеют диагноз рассеянный склероз. Половина из них получает терапию. Притормозить дальнейшее развитие заболевания и предупредить обострения помогают более 15-ти эффективных препаратов, которые пациенты получают бесплатно.

Врач-невролог Воронежской областной клинической больниц №1 Марина БАКАЛОВА напомнила о необходимости ранней диагностики:

— Рассеянный склероз не предполагает неизбежную инвалидность – терапия направлена на то, чтобы её отсрочить. Большинство препаратов сегодня в стране есть, несмотря на сложность внешнеполитической ситуации. И при своевременном лечении жизнь каждого пациента может быть полноценной и счастливой.

«КОММУНА» ОБЪЯСНЯЕТ


Что такое рассеянный склероз и кто им может заболеть?

Рассеянный склероз — заболевание, при котором в иммунной системе происходит сбой, и она начинает не бороться с вредными микробами и вирусами, а атаковать собственные клетки. В данном случае — клетки центральной нервной системы. Нервные волокна повреждаются или разрушаются, и мозг перестает посылать сигналы.

Стоит насторожиться и незамедлительно обратиться к врачу, если вы испытываете онемение в руке или ноге, причём на одной стороне тела. Другие симптомы: нарушение координации, внезапное ухудшение зрения, слабость в стопе, так называемая, «пришлепывающая походка», дрожание рук. Люди со стороны могут даже предположить, что человек пьян, а это первые проявления рассеянного склероза.

Назвать точную причину появления рассеянного склероза учёные и врачи пока не могут. Есть факторы риска — это генетическая предрасположенность, в том числе и расовая: например, жители северных и центральных регионов европейской части страны болеют чаще, чем на юге. У женщин рассеянный склероз встречается чаще, чем у мужчин. Также в списке катализаторов болезни: вирусные инфекции, недостаток витамина Д, психоэмоциональные стрессы и курение.

ФАКТ


Рассеянный склероз называют болезнью с тысячей лиц – в начале болезни симптоматика может быть разной и проявляться в различных комбинациях. А ещё, по наблюдениям медиков, такой диагноз часто ставят внешне привлекательным и талантливым людям. Ещё в прошлом веке некоторые учёные описывали симптом «красивости» при рассеянном склерозе. Врачи предполагают, это связано с генетической предрасположенностью к болезни.


Фото: vrnoblduma.ru

[~DETAIL_TEXT] => Вопреки названию, рассеянный склероз никак не связан с забывчивостью и возрастными изменениями. Это заболевание всё чаще встречается у молодых людей и может прогрессировать за короткое время. Тем не менее страшный диагноз — не приговор. Пациент может получать эффективную терапию и вести активный образ жизни. Как лучше организовать лечение таких людей и помочь их социализации, обсуждали на круглом столе, который прошёл 25 апреля в стенах Воронежской областной Думы. К разговору подключились врачи, представители власти и, конечно, сами пациенты.

Участников дискуссии встречала выставка фотографий людей, которые не первый год живут с рассеянным склерозом. Их истории можно найти в книге «Особый случай» (16+). Её автор — журналистка Наталья Радулова.

— Эту книгу врач должен вручать каждому пациенту, — подчеркнула первый вице-президент Общероссийской общественной организации инвалидов-больных рассеянным склерозом Наталья КИЧИГИНА. — Потому что первая реакция человека, узнавшего, что у него рассеянный склероз, — паника. Ещё страшнее ему становится от зачастую искажённой и недостоверной информации из интернета. Здесь же в простой форме, увлекательно и даже с юмором рассказывают о себе и своей болезни сами пациенты — реальные люди, которым можно даже позвонить.

Наталья Кичигина помнит, как она отреагировала на слова врачей о выявленном у неё рассеянном склерозе.

— Мне сказали: заболевание неизлечимое. За границей есть методы борьбы с болезнью, а у нас — нет, — поделилась наша собеседница. — Но через два года лечение было и в России. Начиналось всё с двух простеньких препаратов. Сейчас эффективных лекарств достаточно, и это огромный шаг вперёд.

Жительнице Воронежа Людмиле Сальниковой 36 лет. Пять лет назад её перестали слушаться пальцы рук, а спустя год — стали неметь ноги.

— Я забила тревогу и пошла к неврологам, которые обнаружили у меня рассеянный склероз, — рассказала Людмила. — Было страшно — всю жизнь занимаюсь спортом, преподаю физкультуру — а тут такое... Но невролог помог мне подобрать необходимые препараты, направил на реабилитацию (лечебная физкультура, бассейн). И я себе сказала: «Как жила, так и буду продолжать жить». Активно работаю, не меняю привычек, занимаюсь с детьми, общаюсь с друзьями.

Председатель комитета по охране здоровья Воронежской областной Думы Иван МОШУРОВ отметил, что сегодня в регионе более 2000 человек имеют диагноз рассеянный склероз. Половина из них получает терапию. Притормозить дальнейшее развитие заболевания и предупредить обострения помогают более 15-ти эффективных препаратов, которые пациенты получают бесплатно.

Врач-невролог Воронежской областной клинической больниц №1 Марина БАКАЛОВА напомнила о необходимости ранней диагностики:

— Рассеянный склероз не предполагает неизбежную инвалидность – терапия направлена на то, чтобы её отсрочить. Большинство препаратов сегодня в стране есть, несмотря на сложность внешнеполитической ситуации. И при своевременном лечении жизнь каждого пациента может быть полноценной и счастливой.

«КОММУНА» ОБЪЯСНЯЕТ


Что такое рассеянный склероз и кто им может заболеть?

Рассеянный склероз — заболевание, при котором в иммунной системе происходит сбой, и она начинает не бороться с вредными микробами и вирусами, а атаковать собственные клетки. В данном случае — клетки центральной нервной системы. Нервные волокна повреждаются или разрушаются, и мозг перестает посылать сигналы.

Стоит насторожиться и незамедлительно обратиться к врачу, если вы испытываете онемение в руке или ноге, причём на одной стороне тела. Другие симптомы: нарушение координации, внезапное ухудшение зрения, слабость в стопе, так называемая, «пришлепывающая походка», дрожание рук. Люди со стороны могут даже предположить, что человек пьян, а это первые проявления рассеянного склероза.

Назвать точную причину появления рассеянного склероза учёные и врачи пока не могут. Есть факторы риска — это генетическая предрасположенность, в том числе и расовая: например, жители северных и центральных регионов европейской части страны болеют чаще, чем на юге. У женщин рассеянный склероз встречается чаще, чем у мужчин. Также в списке катализаторов болезни: вирусные инфекции, недостаток витамина Д, психоэмоциональные стрессы и курение.

ФАКТ


Рассеянный склероз называют болезнью с тысячей лиц – в начале болезни симптоматика может быть разной и проявляться в различных комбинациях. А ещё, по наблюдениям медиков, такой диагноз часто ставят внешне привлекательным и талантливым людям. Ещё в прошлом веке некоторые учёные описывали симптом «красивости» при рассеянном склерозе. Врачи предполагают, это связано с генетической предрасположенностью к болезни.


Фото: vrnoblduma.ru

[DETAIL_TEXT_TYPE] => html [~DETAIL_TEXT_TYPE] => html [PREVIEW_TEXT] => [~PREVIEW_TEXT] => В Воронеже обсудили реабилитацию пациентов с рассеянным склерозом и рассказали, как жить полноценно даже при страшном диагнозе [PREVIEW_TEXT_TYPE] => text [~PREVIEW_TEXT_TYPE] => text [PREVIEW_PICTURE] => Array ( [ID] => 172879 [TIMESTAMP_X] => Bitrix\Main\Type\DateTime Object ( [value:protected] => DateTime Object ( [date] => 2023-05-08 14:21:25.000000 [timezone_type] => 3 [timezone] => UTC ) ) [MODULE_ID] => iblock [HEIGHT] => 1200 [WIDTH] => 1800 [FILE_SIZE] => 1177181 [CONTENT_TYPE] => image/jpeg [SUBDIR] => iblock/bab [FILE_NAME] => склероз_круглый стол.jpg [ORIGINAL_NAME] => склероз_круглый стол.jpg [DESCRIPTION] => [HANDLER_ID] => [EXTERNAL_ID] => daf46fa1b1de6dd585f0e8d4af35d0e0 [~src] => [SRC] => /upload/iblock/bab/%D1%81%D0%BA%D0%BB%D0%B5%D1%80%D0%BE%D0%B7_%D0%BA%D1%80%D1%83%D0%B3%D0%BB%D1%8B%D0%B9%20%D1%81%D1%82%D0%BE%D0%BB.jpg [UNSAFE_SRC] => /upload/iblock/bab/склероз_круглый стол.jpg [SAFE_SRC] => /upload/iblock/bab/%D1%81%D0%BA%D0%BB%D0%B5%D1%80%D0%BE%D0%B7_%D0%BA%D1%80%D1%83%D0%B3%D0%BB%D1%8B%D0%B9%20%D1%81%D1%82%D0%BE%D0%BB.jpg [ALT] => Болезненная тема [TITLE] => Новости ) [~PREVIEW_PICTURE] => 172879 [LANG_DIR] => / [~LANG_DIR] => / [SORT] => 500 [~SORT] => 500 [CODE] => boleznennaya-tema [~CODE] => boleznennaya-tema [EXTERNAL_ID] => 249495 [~EXTERNAL_ID] => 249495 [IBLOCK_TYPE_ID] => news [~IBLOCK_TYPE_ID] => news [IBLOCK_CODE] => novosti [~IBLOCK_CODE] => novosti [IBLOCK_EXTERNAL_ID] => 29 [~IBLOCK_EXTERNAL_ID] => 29 [LID] => ru [~LID] => ru [EDIT_LINK] => [DELETE_LINK] => [DISPLAY_ACTIVE_FROM] => 04.05.2023 18:46 [FIELDS] => Array ( [DETAIL_PICTURE] => [SHOW_COUNTER] => 2248 ) [PROPERTIES] => Array ( [REGION_ID] => Array ( [ID] => 279 [TIMESTAMP_X] => 2018-12-06 06:37:30 [IBLOCK_ID] => 52 [NAME] => Регион [ACTIVE] => Y [SORT] => 40 [CODE] => REGION_ID [DEFAULT_VALUE] => [PROPERTY_TYPE] => E [ROW_COUNT] => 1 [COL_COUNT] => 30 [LIST_TYPE] => L [MULTIPLE] => Y [XML_ID] => [FILE_TYPE] => [MULTIPLE_CNT] => 5 [TMP_ID] => [LINK_IBLOCK_ID] => 37 [WITH_DESCRIPTION] => N [SEARCHABLE] => N [FILTRABLE] => N [VERSION] => 1 [USER_TYPE] => [IS_REQUIRED] => N [USER_TYPE_SETTINGS] => [HINT] => [PROPERTY_VALUE_ID] => [VALUE] => [DESCRIPTION] => [VALUE_ENUM] => [VALUE_XML_ID] => [VALUE_SORT] => [~VALUE] => [~DESCRIPTION] => [~NAME] => Регион [~DEFAULT_VALUE] => ) [AUTHOR_ID] => Array ( [ID] => 280 [TIMESTAMP_X] => 2018-12-06 06:37:30 [IBLOCK_ID] => 52 [NAME] => Автор [ACTIVE] => Y [SORT] => 50 [CODE] => AUTHOR_ID [DEFAULT_VALUE] => [PROPERTY_TYPE] => E [ROW_COUNT] => 1 [COL_COUNT] => 30 [LIST_TYPE] => L [MULTIPLE] => Y [XML_ID] => [FILE_TYPE] => [MULTIPLE_CNT] => 5 [TMP_ID] => [LINK_IBLOCK_ID] => 36 [WITH_DESCRIPTION] => N [SEARCHABLE] => N [FILTRABLE] => N [VERSION] => 1 [USER_TYPE] => [IS_REQUIRED] => N [USER_TYPE_SETTINGS] => [HINT] => [PROPERTY_VALUE_ID] => [VALUE] => [DESCRIPTION] => [VALUE_ENUM] => [VALUE_XML_ID] => [VALUE_SORT] => [~VALUE] => [~DESCRIPTION] => [~NAME] => Автор [~DEFAULT_VALUE] => ) [SIGN] => Array ( [ID] => 281 [TIMESTAMP_X] => 2018-12-06 06:37:30 [IBLOCK_ID] => 52 [NAME] => Подпись [ACTIVE] => Y [SORT] => 55 [CODE] => SIGN [DEFAULT_VALUE] => [PROPERTY_TYPE] => S [ROW_COUNT] => 1 [COL_COUNT] => 30 [LIST_TYPE] => L [MULTIPLE] => N [XML_ID] => [FILE_TYPE] => [MULTIPLE_CNT] => 5 [TMP_ID] => [LINK_IBLOCK_ID] => 0 [WITH_DESCRIPTION] => N [SEARCHABLE] => N [FILTRABLE] => N [VERSION] => 1 [USER_TYPE] => [IS_REQUIRED] => N [USER_TYPE_SETTINGS] => [HINT] => [PROPERTY_VALUE_ID] => 167182 [VALUE] => Наталья СТОЛПОВСКАЯ [DESCRIPTION] => [VALUE_ENUM] => [VALUE_XML_ID] => [VALUE_SORT] => [~VALUE] => Наталья СТОЛПОВСКАЯ [~DESCRIPTION] => [~NAME] => Подпись [~DEFAULT_VALUE] => ) [FORYANDEX] => Array ( [ID] => 278 [TIMESTAMP_X] => 2018-12-06 06:37:30 [IBLOCK_ID] => 52 [NAME] => Экспорт для Яндекса [ACTIVE] => Y [SORT] => 90 [CODE] => FORYANDEX [DEFAULT_VALUE] => Нет [PROPERTY_TYPE] => L [ROW_COUNT] => 1 [COL_COUNT] => 30 [LIST_TYPE] => C [MULTIPLE] => N [XML_ID] => 220 [FILE_TYPE] => jpg, gif, bmp, png, jpeg [MULTIPLE_CNT] => 5 [TMP_ID] => [LINK_IBLOCK_ID] => 0 [WITH_DESCRIPTION] => N [SEARCHABLE] => N [FILTRABLE] => N [VERSION] => 1 [USER_TYPE] => [IS_REQUIRED] => N [USER_TYPE_SETTINGS] => [HINT] => [PROPERTY_VALUE_ID] => 167205 [VALUE] => Да [DESCRIPTION] => [VALUE_ENUM] => Да [VALUE_XML_ID] => Y [VALUE_SORT] => 500 [VALUE_ENUM_ID] => 85 [~VALUE] => Да [~DESCRIPTION] => [~NAME] => Экспорт для Яндекса [~DEFAULT_VALUE] => Нет ) [IS_MAIN] => Array ( [ID] => 282 [TIMESTAMP_X] => 2018-12-14 14:39:11 [IBLOCK_ID] => 52 [NAME] => Самая главная [ACTIVE] => Y [SORT] => 100 [CODE] => IS_MAIN [DEFAULT_VALUE] => [PROPERTY_TYPE] => L [ROW_COUNT] => 1 [COL_COUNT] => 30 [LIST_TYPE] => C [MULTIPLE] => N [XML_ID] => [FILE_TYPE] => [MULTIPLE_CNT] => 5 [TMP_ID] => [LINK_IBLOCK_ID] => 0 [WITH_DESCRIPTION] => N [SEARCHABLE] => N [FILTRABLE] => N [VERSION] => 1 [USER_TYPE] => [IS_REQUIRED] => N [USER_TYPE_SETTINGS] => [HINT] => [PROPERTY_VALUE_ID] => [VALUE] => [DESCRIPTION] => [VALUE_ENUM] => [VALUE_XML_ID] => [VALUE_SORT] => [VALUE_ENUM_ID] => [~VALUE] => [~DESCRIPTION] => [~NAME] => Самая главная [~DEFAULT_VALUE] => ) [IS_IMPORTANT] => Array ( [ID] => 283 [TIMESTAMP_X] => 2018-12-14 14:39:11 [IBLOCK_ID] => 52 [NAME] => Важная [ACTIVE] => Y [SORT] => 150 [CODE] => IS_IMPORTANT [DEFAULT_VALUE] => [PROPERTY_TYPE] => L [ROW_COUNT] => 1 [COL_COUNT] => 30 [LIST_TYPE] => C [MULTIPLE] => N [XML_ID] => [FILE_TYPE] => [MULTIPLE_CNT] => 5 [TMP_ID] => [LINK_IBLOCK_ID] => 0 [WITH_DESCRIPTION] => N [SEARCHABLE] => N [FILTRABLE] => N [VERSION] => 1 [USER_TYPE] => [IS_REQUIRED] => N [USER_TYPE_SETTINGS] => [HINT] => [PROPERTY_VALUE_ID] => 167206 [VALUE] => Y [DESCRIPTION] => [VALUE_ENUM] => Y [VALUE_XML_ID] => Y [VALUE_SORT] => 500 [VALUE_ENUM_ID] => 87 [~VALUE] => Y [~DESCRIPTION] => [~NAME] => Важная [~DEFAULT_VALUE] => ) [WITH_WATERMARK] => Array ( [ID] => 290 [TIMESTAMP_X] => 2018-12-18 09:33:44 [IBLOCK_ID] => 52 [NAME] => Все фото с водяным знаком [ACTIVE] => Y [SORT] => 200 [CODE] => WITH_WATERMARK [DEFAULT_VALUE] => [PROPERTY_TYPE] => L [ROW_COUNT] => 1 [COL_COUNT] => 30 [LIST_TYPE] => C [MULTIPLE] => N [XML_ID] => [FILE_TYPE] => [MULTIPLE_CNT] => 5 [TMP_ID] => [LINK_IBLOCK_ID] => 0 [WITH_DESCRIPTION] => N [SEARCHABLE] => N [FILTRABLE] => N [VERSION] => 1 [USER_TYPE] => [IS_REQUIRED] => N [USER_TYPE_SETTINGS] => [HINT] => [PROPERTY_VALUE_ID] => [VALUE] => [DESCRIPTION] => [VALUE_ENUM] => [VALUE_XML_ID] => [VALUE_SORT] => [VALUE_ENUM_ID] => [~VALUE] => [~DESCRIPTION] => [~NAME] => Все фото с водяным знаком [~DEFAULT_VALUE] => ) [MORE_PHOTO] => Array ( [ID] => 284 [TIMESTAMP_X] => 2018-12-06 06:38:44 [IBLOCK_ID] => 52 [NAME] => Фото [ACTIVE] => Y [SORT] => 250 [CODE] => MORE_PHOTO [DEFAULT_VALUE] => [PROPERTY_TYPE] => F [ROW_COUNT] => 1 [COL_COUNT] => 30 [LIST_TYPE] => L [MULTIPLE] => Y [XML_ID] => [FILE_TYPE] => jpg, gif, bmp, png, jpeg [MULTIPLE_CNT] => 5 [TMP_ID] => [LINK_IBLOCK_ID] => 0 [WITH_DESCRIPTION] => N [SEARCHABLE] => N [FILTRABLE] => N [VERSION] => 1 [USER_TYPE] => [IS_REQUIRED] => N [USER_TYPE_SETTINGS] => [HINT] => [PROPERTY_VALUE_ID] => [VALUE] => [DESCRIPTION] => [VALUE_ENUM] => [VALUE_XML_ID] => [VALUE_SORT] => [~VALUE] => [~DESCRIPTION] => [~NAME] => Фото [~DEFAULT_VALUE] => ) [TEXT] => Array ( [ID] => 285 [TIMESTAMP_X] => 2018-12-06 06:38:44 [IBLOCK_ID] => 52 [NAME] => Абзацы [ACTIVE] => Y [SORT] => 300 [CODE] => TEXT [DEFAULT_VALUE] => Array ( [TEXT] => [TYPE] => HTML ) [PROPERTY_TYPE] => S [ROW_COUNT] => 1 [COL_COUNT] => 30 [LIST_TYPE] => L [MULTIPLE] => Y [XML_ID] => [FILE_TYPE] => [MULTIPLE_CNT] => 5 [TMP_ID] => [LINK_IBLOCK_ID] => 0 [WITH_DESCRIPTION] => N [SEARCHABLE] => N [FILTRABLE] => N [VERSION] => 1 [USER_TYPE] => ISWIN_HTML [IS_REQUIRED] => N [USER_TYPE_SETTINGS] => Array ( [height] => 200 ) [HINT] => [PROPERTY_VALUE_ID] => [VALUE] => [DESCRIPTION] => [VALUE_ENUM] => [VALUE_XML_ID] => [VALUE_SORT] => [~VALUE] => [~DESCRIPTION] => [~NAME] => Абзацы [~DEFAULT_VALUE] => Array ( [TEXT] => [TYPE] => HTML ) ) [CNT_LIKES] => Array ( [ID] => 286 [TIMESTAMP_X] => 2018-12-06 06:38:44 [IBLOCK_ID] => 52 [NAME] => Кол-во "Нравится" [ACTIVE] => Y [SORT] => 1000 [CODE] => CNT_LIKES [DEFAULT_VALUE] => [PROPERTY_TYPE] => N [ROW_COUNT] => 1 [COL_COUNT] => 30 [LIST_TYPE] => L [MULTIPLE] => N [XML_ID] => [FILE_TYPE] => [MULTIPLE_CNT] => 5 [TMP_ID] => [LINK_IBLOCK_ID] => 0 [WITH_DESCRIPTION] => N [SEARCHABLE] => N [FILTRABLE] => N [VERSION] => 1 [USER_TYPE] => [IS_REQUIRED] => N [USER_TYPE_SETTINGS] => [HINT] => [PROPERTY_VALUE_ID] => [VALUE] => [DESCRIPTION] => [VALUE_ENUM] => [VALUE_XML_ID] => [VALUE_SORT] => [~VALUE] => [~DESCRIPTION] => [~NAME] => Кол-во "Нравится" [~DEFAULT_VALUE] => ) [CNT_DISLIKES] => Array ( [ID] => 287 [TIMESTAMP_X] => 2018-12-06 06:38:44 [IBLOCK_ID] => 52 [NAME] => Кол-во "Не нравится" [ACTIVE] => Y [SORT] => 1001 [CODE] => CNT_DISLIKES [DEFAULT_VALUE] => [PROPERTY_TYPE] => N [ROW_COUNT] => 1 [COL_COUNT] => 30 [LIST_TYPE] => L [MULTIPLE] => N [XML_ID] => [FILE_TYPE] => [MULTIPLE_CNT] => 5 [TMP_ID] => [LINK_IBLOCK_ID] => 0 [WITH_DESCRIPTION] => N [SEARCHABLE] => N [FILTRABLE] => N [VERSION] => 1 [USER_TYPE] => [IS_REQUIRED] => N [USER_TYPE_SETTINGS] => [HINT] => [PROPERTY_VALUE_ID] => [VALUE] => [DESCRIPTION] => [VALUE_ENUM] => [VALUE_XML_ID] => [VALUE_SORT] => [~VALUE] => [~DESCRIPTION] => [~NAME] => Кол-во "Не нравится" [~DEFAULT_VALUE] => ) ) [DISPLAY_PROPERTIES] => Array ( ) [IPROPERTY_VALUES] => Array ( [ELEMENT_META_TITLE] => Болезненная тема [ELEMENT_META_DESCRIPTION] => В Воронеже обсудили реабилитацию пациентов с рассеянным склерозом и рассказали, как жить полноценно даже при страшном диагнозе [ELEMENT_PREVIEW_PICTURE_FILE_ALT] => [ELEMENT_PREVIEW_PICTURE_FILE_TITLE] => Новости [SECTION_META_TITLE] => Болезненная тема [SECTION_META_DESCRIPTION] => Болезненная тема - Главные новости Воронежа и области ) [RES_MOD] => Array ( [TITLE] => Болезненная тема [SECTIONS] => Array ( [269] => Array ( [ID] => 269 [~ID] => 269 [IBLOCK_ELEMENT_ID] => 249495 [~IBLOCK_ELEMENT_ID] => 249495 [NAME] => Общество [~NAME] => Общество [IBLOCK_ID] => 52 [~IBLOCK_ID] => 52 [SECTION_PAGE_URL] => /obshchestvo/ [~SECTION_PAGE_URL] => /obshchestvo/ [CODE] => obshchestvo [~CODE] => obshchestvo [EXTERNAL_ID] => 142 [~EXTERNAL_ID] => 142 [IBLOCK_TYPE_ID] => news [~IBLOCK_TYPE_ID] => news [IBLOCK_CODE] => novosti [~IBLOCK_CODE] => novosti [IBLOCK_EXTERNAL_ID] => 29 [~IBLOCK_EXTERNAL_ID] => 29 [GLOBAL_ACTIVE] => Y [~GLOBAL_ACTIVE] => Y ) ) [IS_ADV] => [CONTROL_ID] => bx_4182259225_249495 [CNT_LIKES] => 0 [ACTIVE_FROM_TITLE] => 04.05.2023 18:46:42 ) )
Болезненная тема
Болезненная тема